EKONOMETRIA - ĆWICZENIA.
Ćwiczenia z dnia 11.03.2012 r.
Praca domowa zad. 1.2
Lata |
Y |
X1 |
X2 |
X3 |
X4 |
|
|
|
|
1991 |
10 |
6 |
8 |
14 |
12 |
-4 |
16 |
-4 |
16 |
1992 |
10 |
6 |
8 |
14 |
12 |
-4 |
16 |
-4 |
16 |
1993 |
16 |
10 |
12 |
18 |
12 |
0 |
0 |
0 |
0 |
1994 |
16 |
10 |
12 |
18 |
14 |
0 |
0 |
0 |
0 |
1995 |
12 |
8 |
8 |
18 |
10 |
-2 |
4 |
-4 |
16 |
1996 |
14 |
10 |
8 |
18 |
12 |
0 |
0 |
-4 |
16 |
1997 |
20 |
12 |
14 |
24 |
14 |
2 |
4 |
2 |
4 |
1998 |
20 |
12 |
16 |
24 |
12 |
2 |
4 |
4 |
16 |
1999 |
20 |
12 |
16 |
26 |
12 |
2 |
4 |
4 |
16 |
2000 |
22 |
14 |
18 |
26 |
10 |
4 |
16 |
6 |
36 |
∑ |
160 |
100 |
120 |
200 |
120 |
X |
64 |
X |
136 |
|
16 |
10 |
12 |
20 |
12 |
|
|||
|
|
|
|
|
|
|
|
-6 |
36 |
0 |
0 |
-6 |
36 |
24 |
24 |
-6 |
36 |
0 |
0 |
-6 |
36 |
24 |
24 |
-2 |
4 |
0 |
0 |
0 |
0 |
0 |
0 |
-2 |
4 |
2 |
4 |
0 |
0 |
0 |
0 |
-2 |
4 |
-2 |
4 |
-4 |
16 |
8 |
16 |
-2 |
4 |
0 |
0 |
-2 |
4 |
0 |
8 |
4 |
16 |
2 |
4 |
4 |
16 |
8 |
8 |
4 |
16 |
0 |
0 |
4 |
16 |
8 |
16 |
6 |
36 |
0 |
0 |
4 |
16 |
8 |
16 |
6 |
36 |
-2 |
4 |
6 |
36 |
24 |
36 |
X |
192 |
X |
16 |
X |
176 |
104 |
148 |
|
|
|
|
|
|
|
|
36 |
0 |
16 |
24 |
0 |
24 |
0 |
0 |
36 |
0 |
16 |
24 |
0 |
24 |
0 |
0 |
0 |
0 |
0 |
0 |
0 |
0 |
0 |
0 |
0 |
0 |
0 |
0 |
0 |
0 |
0 |
-4 |
8 |
8 |
8 |
4 |
4 |
8 |
8 |
4 |
4 |
0 |
0 |
0 |
0 |
8 |
0 |
0 |
16 |
8 |
4 |
8 |
4 |
8 |
4 |
8 |
16 |
0 |
8 |
8 |
0 |
16 |
0 |
0 |
24 |
0 |
8 |
12 |
0 |
24 |
0 |
0 |
36 |
-12 |
24 |
24 |
-8 |
36 |
-12 |
-12 |
176 |
4 |
84 |
104 |
0 |
148 |
0 |
-4 |


Eliminujemy X4




r* - wartość krytyczna
Wszystkie zmienne których wartość będzie mniejsza od r*
I ri I < r* eliminujemy
Najsilniej skorelowana z Y
Xh max I ri I
Eliminujemy zmienne których zależność jest większa od r*
I rhi I > r*
Np. możemy wykorzystać dane z zad 1.1
Np. : r* = 0,58
Eliminujemy X2 , X4
Xh = X 3
Xh max (ri)
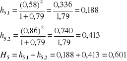
3) Do modelu wchodzi X3
![]()



r*= 0,44
Eliminujemy z macierz wszystkie zmienne których wartość jest najmniejsza od r*
W naszym przypadku z macierzy R0 - X3 ( 0,3) i trzeci wiersz i trzecią kolumnę z macierzy R.
Wybieramy zmienną najsilniej skorelowaną z Y w macierzy R0 .
W naszym przypadku najsilniej skorelowaną zmienną w macierzy R0 jest zmienna X1 (-0,8). I w związku z tym będziemy wybierać nasze zmienne do modelu w macierzy R ale tylko w pierwszym wierszu.
Xh = X1
Eliminujemy zmienne w macierzy R w wierszu pierwszym których zależność jest większa od r*.
W naszym przypadku w wierszu pierwszym w macierzy R eliminujemy 0,8 i 0,7 (X2 , X4).
Jedynki nie eliminujemy ponieważ jest to stała liczba która występuje w macierzy R symetrycznej.
Więc do naszego modelu z pierwszego wiersza z macierzy R wchodzi X1 , X5
![]()
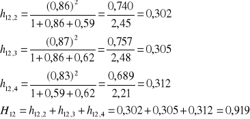
Zad 1.5
2m - 1
24 - 1 = 15
15 kombinacji
K1 = {X1}
K2 = {X2}
K3 = {X3}
K4 = {X4}
K5 = {X1 , X2 }
K6 = {X1 , X3 }
K7= {X1 , X4 }
K8 = {X2 , X3 }
K9 = {X2 , X4 }
K10 = {X3 , X4 }
K11 = {X1 , X2 , X3 }
K12 = {X2 , X3 , X4 }
K13 = { X1 , X2 , X4 }
K14 = { X1 , X3 , X4 }
K15 = {X1 , X2 , X3 , X4 }

![]()
![]()
![]()
![]()











![]()
-0,8
1 0,8 -0,3 0,7 0,2