POLITECHNIKA ŚWIĘTOKRZYSKA |
||
LABORATORIUM URZĄDZEŃ ELEKTRYCZNYCH |
||
Numer ćwiczenia:
7 |
Temat ćwiczenia: Pomiary prądu zwarciowego przy pomocy analizatora systemu energetycznego. |
Zespół: Marcin Zuchowicz Krzysztof Derlaga Andrzej Nowak Paweł Capała Paweł Łoszek Grzegorz Gołębiowski
|
Data wykonania: 15.12.1998 |
Data oddania do sprawdzenia: 5.1.1999 |
Ocena: |
Schemat analizatorowy Schemat systemu energetycznego.
badanego systemu energetycznego.
10 MVA
12 %
6,3 kV
16 MVA
8 %
30 kV
29 km
0,4 Ω/km
30 kV
16 MVA
8 %
6,3 kV
16 MVA
12 %
110 kV
8 km
0,4 Ω/km
110 kV
SZ1 =2000 MVA
Kolejne etapy ”zwijania” obwodu :
XG XT1 XL1 XT2 XT3 XL2 XS
X1 X2 XZ
Wzory podstawowe :


![]()

Obliczenia :
XG1 = 145,2 Ω
XT1 = 60,5 Ω
XL1 = 156 Ω
XT2 = 60,5 Ω
XT3 = 90,75 Ω
XL2 = 3,2 Ω
XS = 6,65 Ω
X1 = XG1 + XT1 + XL1 + XT2 + XT3 X1 = 513 Ω
X2 = XL2 + XS X2 = 9,9 Ω
![]()
XZ = 9,7 Ω

Ip = 7,2 kA
Powyższy wynik otrzymaliśmy sprowadzając schemat systemu energetycznego do schematu uproszczonego zawierającego reaktancję zastępczą obwodu.
Ten sam wynik powinniśmy otrzymać modelując dany schemat systemu energetycznego na analizatorze.
Po dokonaniu odpowiednich połączeń otrzymaliśmy wynik Ia = 46 mA.
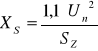
Aby obliczyć rzeczywisty prąd zwarciowy korzystamy z następujących zależności :
![]()
gdzie :
Ia - wynik pomiaru prądu zwarcia na analizatorze
Un - napięcie szyn zasilające zwarcie
Ua - napięcie szyn analizatora
Rzeczywisty prąd zwarcia dla napięcia szyn zasilających to zwarcie wynosi :
![]()
gdzie 
L = 10 Ua = 25 V Un = 110 kV
Po wykonaniu przeliczeń uzyskaliśmy wynik : Ip = 1227 A
Wnioski:
Jak widać wyniki pomiarów uzyskane z obliczeń metodą PN różnią się od wyników uzyskanych przy pomocy analizatora systemu elektroenergetycznego. W zasadzie trudno wytłumaczyć tę nieprawidłowość, ponieważ przy tradycyjnym obliczaniu parametrów z pewnością nie popełniliśmy błędu (wyniki sprawdzane były kilkakrotnie) a na analizatorze teoretycznie powinniśmy uzyskać wynik zbliżony. Po wnikliwym przeanalizowaniu problemu winą za różnicę w otrzymanych wynikach obarczyliśmy analizator. Poparciem naszych wniosków może być fakt, że wartości rezystancji na poszczególnych opornikach (potencjometrach) nie odpowiadały tym, które były przedstawione w instrukcji (np. wartość rezystancji opornika nr 9 ustaliliśmy na 603,6 Ω, natomiast wg instrukcji max. wartość powinna wynosić 470 Ω; podobną nieprawidłowość uzyskaliśmy przy opornikach nr 20, 25 oraz 54). Teoretycznie nie powinno to wpływać na uzyskany wynik, gdyż wartości każdej rezystancji mierzyliśmy omomierzem, ale budzi to w nas pewne wątpliwości, bo jeżeli tu powstają jakieś sprzeczności to może to oznaczać, że wynik pomiaru uzyskany za pomocą analizatora nie jest do końca pewny. Dlatego uznajemy, że wynikiem poprawnym jest wynik uzyskany przy pomocy obliczeń wg metody PN.