Metrologia - laboratorium |
|||||
Imię i nazwisko: Juliusz ZASADZKI Łukasz WAŚKOWSKI |
Semestr: IV |
Wydział: BM i Z |
Kierunek: Mechanika i Budowa Maszyn |
Grupa: M2 |
|
Temat ćwiczenia: Pomiary współrzędnościowe, optyczne i optyczno - stykowe. |
|||||
Data wykonania ćwiczenia: |
Ocena: |
||||
1. Opis ćwiczenia.
Celem ćwiczenia było zapoznanie się z metodami pomiarów na mikroskopie warsztatowym. Podczas ćwiczenia dokonaliśmy pomiaru:
średnicy wewnętrznej (przy pomocy głowicy optyczno stykowej),
2 średnic małych otworów - d < 2 mm (przy pomocy głowicy goniometrycznej),
odległości osi dwóch otworów (przy pomocy głowicy podwójnego obrazu).
2. Pomiary.
2.1 Pomiar średnicy wewnętrznej otworu za pomocą głowicy optyczno - stykowej.
Średnica końcówki pomiarowej
dk = 2,9043 Ⴑ 0,0005 mm
x1 = 75 + 22,37 = 97,37 Ⴑ 0,01 mm
x2 = 23 + 22,06 = 45,06 Ⴑ 0,01 mm
Obliczenia:
do = x1 - x2 + dk
do = 97,37 - 45,06 + 2,9043 = 55,2143 mm
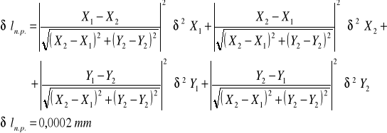
Błąd pomiaru: maksymalny i najbardziej prawdopodobny - liczyliśmy metodą różniczki zupełnej.

Wynik ostateczny pomiaru średnicy wewnętrznej: do = 55,214 Ⴑ 0,021 mm |
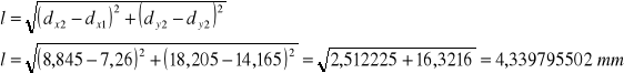
2.2 Pomiar głowicą goniometryczną (pionowo i poziomo) średnicy dwóch otworów. Błąd pomiaru - 0,01 mm.
Wyznaczam współrzędne środków otworów:
Pierwszy otwór |
Drugi otwór |
||
X1.1 = 6,48 mm |
dx1 = (X1.1 + X1.2)/2 dx1 = 7,26 mm |
X2.1 = 8,06 mm |
dx2 = (X2.1 + X2.2)/2 dx2 = 8,845 mm |
X1.2 = 8,04 mm |
|
X2.2 = 9,63 mm |
|
Y1.1 = 13,39 mm |
dy1 = (Y1.1 + Y1.2)/2 dy1 = 14,165 mm |
Y2.1 = 17,41 mm |
dy2 = (Y2.1 + Y2.2)/2 dy2 = 18,205 mm |
Y1.2 = 14,94 mm |
|
Y2.2 = 19,00 mm |
|
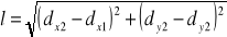
Obliczam odległość osi otworów:

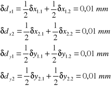
Błąd pomiaru: maksymalny i najbardziej prawdopodobny - liczyliśmy metodą różniczki zupełnej ze wzoru:
![]()
gdzie:

![]()
![]()
![]()

Obliczam średnice otworów z otrzymanych pomiarów:
Pierwszy otwór |
Drugi otwór |
X1.1 = 6,48 mm |
X2.1 = 8,06 mm |
X1.2 = 8,04 mm |
X2.2 = 9,63 mm |
Y1.1 = 13,39 mm |
Y2.1 = 17,41 mm |
Y1.2 = 14,94 mm |
Y2.2 = 19,00 mm |
Pierwszy otwór:
średnica wzdłuż osi OX
X = X1.2 - X1.1 = 1,56 mm
średnica wzdłuż osi OY
Y = Y1.2 - Y1.1 = 1,56 mm
Z wyników powyższych obliczeń można wywnioskować, że otwór jest okrągły, zatem średnica wynosi: (X+Y)/2 = 1,56 mm.
Drugi otwór:
średnica wzdłuż osi OX
X = X1.2 - X1.1 = 1,57 mm
średnica wzdłuż osi OY
Y = Y1.2 - Y1.1 = 1,59 mm
W tym przypadku z wyników widać, że otwór nie jest okrągły. Różnica średnicy otworu wzdłuż osi OX i OY została prawdopodobnie spowodowana zniekształceniem otworu podczas eksploatacji lub w skutek zanieczyszczenia otworu zostały błędnie dokonane pomiary (próbka przed dokonaniem pomiarów nie została dokładnie oczyszczona). Średnicę tego otworu mogę podać jako wartość mocno przybliżoną: (X+Y)/2 = 1,58 mm
Błąd pomiaru: maksymalny i najbardziej prawdopodobny - liczyliśmy metodą różniczki zupełnej ze wzoru:
![]()

Wynik ostateczny pomiaru średnic dwóch otworów głowicą goniometryczną: d1 = 1,56 Ⴑ 0,02 mm d2 = 1,58 Ⴑ 0,02 mm |
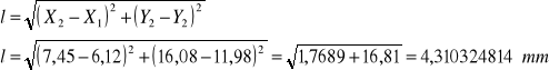
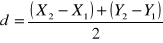
2.2 Pomiar głowicą podwójnego obrazu odległości osi dwóch otworów.
Błąd pomiaru - 0,01 mm.
Otwór: Współrzędne otworu na osi: |
Otwór pierwszy |
Otwór drugi |
Oś X |
X1 = 6,12 mm |
X2 = 7,45 mm |
Oś Y |
Y1 = 11,98 mm |
Y2 = 16,08 mm |
![]()
Obliczenia:

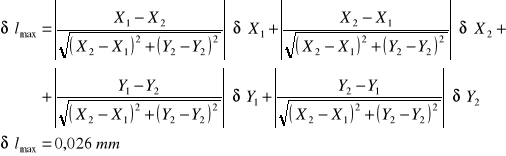
Błąd pomiaru: maksymalny i najbardziej prawdopodobny - liczyliśmy metodą różniczki zupełnej ze wzoru:


Wynik ostateczny pomiaru odległości dwóch otworów l = 4,310 Ⴑ 0,026 mm (głowicą podwójnego obrazu) l = 4,340 Ⴑ 0,026 mm (głowicą goniometryczną) |
3. Wnioski.
Podczas przeprowadzania ćwiczenia zauważyliśmy, że wartość odczytywanego pomiaru zależy (w nieznacznym stopniu) od osoby odczytującej. Największy problem z odczytem sprawiło nam odczytanie średnicy przy pomiarze dwóch otworów dlatego iż obraz tych otworów (o małej średnicy) w znacznym powiększeniu był postrzępiony i były problemy ze zlokalizowaniem właściwej krawędzi otworu. Podczas pomiaru otwory owe miały różną średnicę (1,56 mm i 1,58 mm). Prawdopodobnie otwory te zostały wykonane przez to samo wiertło. Różnica 0,02 mm pomiędzy tymi średnicami mieści się jednak w granicach błędu (±0,02).
Pomiar odległości pomiędzy osiami tych otworów dokonaliśmy dwiema metodami (głowicą goniometryczną oraz głowicą podwójnego obrazu). Otrzymane wyniki były zbliżone do siebie lecz różnica pomiędzy nimi wyniosła 0,030 mm, natomiast błąd pomiaru wynosił 0,026 mm. Ponieważ podczas pomiaru głowicą goniometryczną okazało się, że jeden z otworów jest owalny, nastąpiły trudności z dokładnym wyznaczeniem środka otworu owalnego więc wynik otrzymany za pomocą pomiaru głowicą podwójnego obrazu można uznać za ten który jest bardziej wiarygodny.
y2.2 otwór II
dy2
y2.1
y1.2
otwór I
dy1
l
y1.1
0 x1.1 dx1 x1.2 x2.1 dx2 x2.2