Oznaczanie składu ziarnowego kruszyw Metoda przesiewania, Budownictwo


Laboratorium

konstrukcji budowlanych

ziarnowego kruszyw

Metoda przesiewania

Badanie polegało na rozdzieleniu materiału, za pomocą zestawu sit zgodnych z ISO 3310-1 i ISO 3310-2, na kilka frakcji ziarnowych, klasyfikowanych według zmniejszających się wymiarów. Metoda polega na przesiewaniu na mokro lub sucho danego materiału. W naszym przypadku był on przesiewany na sucho. Materiał został już wcześniej przemyty i wysuszony w temperaturze 1105C.

Przesiewaliśmy 3 grupy frakcyjne kruszywa: 0/2; 2/8; 8/16.

Zestaw użytych sit składał się z sit o wymiarach 20; 16; 14; 12,5; 10; 8; 6,4; 4; 2; 1; 0,5; 0,25; 0,125; 0,063 oraz dna.

Sito 0,063 zostało zastosowane ponieważ doświadczenia wykazują, że przemywanie niedostatecznie usuwa wszystkie pyły.

Przesiewanie wykonywane było mechanicznie, następnie zdejmowane były i ważone poszczególne pozostałości na odpowiednich sitach.

OZNACZANIE SKŁADU ZIARNOWEGO METODĄ PRZESIEWANIA EN 933-1

Laboratorium materiałów budowlanych Górażdże Cement

Deklarowana frakcja próbki - 0/2

Data badania: 24.04.08

Użyta metoda: przesiewanie na sucho

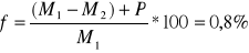
Całkowita sucha masa M1 = 0,2227 kg

Sucha masa próbki po przemyciu M2 = 0,2214 kg

Sucha masa pyłów usuniętych podczas przemywania M1 - M2 = 0,0013 kg

Wymiar otworów sita [mm]

Masa materiału pozostającego (Ri) [kg]

Procent materiału pozostającego Ri/Mi*100

Suma mas przechodzących w % 100-(Ri/Mi)*100

4,000

2,000

1,000

0,500

0,250

0,125

0,063

0,0004

0,0063

0,0377

0,0971

0,1755

0,2142

0,2206

0,18

2,82

16,93

43,6

78,8

96,18

99,05

99,82

97,18

63,07

56,4

21,2

3,82

0,95

Materiał na denku

P = 0,0005

0,2256

101,3

-1,3

Procent pyłów przechodzących przez sito 63 m

0x01 graphic

0x01 graphic

Wynik mieści się w 1% więc badanie zostało przeprowadzone poprawnie.

0x01 graphic

OZNACZANIE SKŁADU ZIARNOWEGO METODĄ PRZESIEWANIA EN 933-1

Laboratorium materiałów budowlanych Górażdże Cement

Deklarowana frakcja próbki - 2/8

Data badania: 24.04.08

Użyta metoda: przesiewanie na sucho

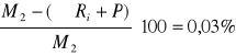
Całkowita sucha masa M1 = 0,6515 kg

Sucha masa próbki po przemyciu M2 = 0,6485 kg

Sucha masa pyłów usuniętych podczas przemywania M1 - M2 = 0,003 kg

Wymiar otworów sita [mm]

Masa materiału pozostającego (Ri) [kg]

Procent materiału pozostającego Ri/Mi*100

Suma mas przechodzących w % 100-(Ri/Mi)*100

10,000

8,000

6,300

4,000

2,000

1,000

0,500

0,250

0,125

0,063

0,0013

0,0247

0,1136

0,3322

0,5685

0,6206

0,6394

0,6463

0,6481

0,6486

0,19

3,79

17,44

50,99

87,26

95,26

98,14

98,28

99,48

99,55

99,81

96,21

82,56

49,01

12,74

4,74

1,86

1,72

0,52

0,45

Materiał na denku

P = 0,0001

0,6487

99,57

0,43

Procent pyłów przechodzących przez sito 63 m

0x01 graphic

0x01 graphic

Wynik mieści się w 1% więc badanie zostało przeprowadzone poprawnie.

0x01 graphic
<1%

0x01 graphic

0x01 graphic



Wyszukiwarka

Podobne podstrony:
Oznaczenie składu ziarnowego kruszyw mineralnych
Oznaczenie składu ziarnowego kruszyw, Studia - IŚ - materiały, Semestr 04, Konstrukcje budowlane
PN EN 933 1 2000 Badania geometrycznych wl kruszyw Oznaczanie skladu ziarnowego Metoda przesiewan
PN EN 933 1 2000 Badania geometrycznych wl kruszyw Oznaczanie skladu ziarnowego Metoda przesiewan
Oznaczenie składu ziarnowego
Oznaczanie składu uziarnienia metoda areometryczna, Budownictwo studia, materiały budowalane
Oznaczanie składu metodami chromatografii gazowej 1
1 5 PN EN 1097 2 2000 Badania mechanicznych i fizycznych wl kruszyw Metoda oznaczania odpornosci na
budownictwo, sciaga z pap , Oznaczenie temperatury mięknienia asfaltu metodą "PiK"
Oznaczanie składu metodami chromatografii gazowej, AKADEMIA GÓRNICZO - HUTNICZA
Cwiczenie 1 Oznaczanie skladu gazu metodami
mat bud - kruszywo metoda iteracji, Studia, II rok, Materiały Budowlane 2
Identyfikacja składu mineralnego surowców ilastych i składu fazowego tworzyw metodą XRD
modułu sztywności metodą dynamiczną, Budownictwo-studia, fizyka
Technologia?tonu Krzywa składu ziarnowego
Krzywa składu ziarnowego, AGH, Krzywa składu ziarnowego

więcej podobnych podstron