1. Do czego sprowadza się rozwiązanie równań Maxwell'a dla mikrofal ?
Rozwiązaniem rzeczywistych równań Maxwell'a są równania falowe Helmholtz'a.
Jego rozwiązaniem są funkcje ![]()
i ![]()
tworzące fale elektromagnetyczne.
![]()
![]()
gdzie:
![]()
- laplasjan funkcji wektorowej

- prędkość rozchodzenia się fal ![]()
i ![]()
w próżni: 
![]()
![]()
2. Równania telegrafistów.
Równania telegrafistów zwane też równaniami linii długiej są matematycznymi warunkami modelowania tychże urządzeń. Sformułowane zostały przez Olivera Heaviside'a w latach 70. XX w, przy badaniu linii telegraficznych. Wyznaczono według nich model zastępczy składający się z ogniw przedstawiających podstawowe zjawiska występujące w linii długiej.
Rozwiązania równań telegrafistów mają postać:

3.
współczynnik propagacji:
![]()
W linii TEM jest taki sam jak dla fali płaskiej w nieograniczonym ośrodku. O jego wartości decyduje pulsacja i parametry materiału wypełniającego prowadnice falową. ![]()
współczynnik tłumienia:
Część rzeczywista ![]()
stałej propagacji nazywana jest stałą tłumienia, decyduje o szybkości strat mocy fali biegnącej wzdłuż linii.
współczynnik fazowy:
Część urojona β stałej propagacji nazywana jest stałą fazową, decyduje o szybkości zmian fazy fali biegnącej wzdłuż linii, a tym samym o długości fali λ.
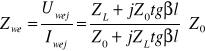
4. Impedancja wejściowa.
Impedancja wejściowa (Zwe), w modelu układu elektronicznego jako czwórnika, stosunek napięcia wejściowego do prądu wejściowego układu, liczony przy wyłączonych autonomicznych źródłach napięciowych i prądowych, wyrażony w omach.

dla linii bezstratnej: 
![]()
dla stratnej: ![]()
gdy ![]()
5. Kryteria optymalizacji.
Największa wytrzymałość na przebicie między przewodami wewnętrznym i zewnętrznym przy ustalonym U0
![]()
![]()
![]()
![]()
Największa odporność na przebicie przy ustalonej mocy.
![]()
![]()
![]()
Optymalizacja, ze względu na minimalne straty
![]()
![]()
- orientacyjna wartość impedancji najlepiej spełniająca warunek minimalnego tłumienia przy największej mocy.
6. Linia bezstratna.
Linię długą nazywamy linią długą bezstratną, jeżeli rezystancja przewodów
linii R oraz konduktacja między przewodami G są równe 0.
Linia bezstratna jest wyidealizowanym przypadkiem linii długiej, w którym
nie uwzględnia się parametrów rozpraszających energię R (rezystancja
jednostkowa) i G (kondunktancja jednostkowa izolacji), a jedynie
parametry zachowawcze L i C. W rzeczywistości linie długie bez strat
oczywiście nie istnieją, ale w wielu wypadkach można przyjąć założenie
R=G=0, które prowadzi do znacznych uproszczeń w obliczeniach.
Impedancja charakterystyczna opisująca taką linię:
![]()
![]()
7. Prądowy i napięciowy współczynnik odbicia.
Jest to stosunek fali zespolonej napięciowej/prądowej padającej ![]()
do fali napięciowej/prądowej odbitej ![]()
od obciążenia. Jest parametrem charakteryzującym jednowrotnik/obciążenie umieszczone na końcu linii.
![]()
gdzie: ![]()
8. Transformator ćwierćfalowy.
Transformator ćwierćfalowy to odcinek falowodu/prowadnicy o długości ![]()
służący do dopasowania dwóch linii transmisyjnych o impedancjach charakterystycznych ![]()
i ![]()
. Transformator ten opóźnia falę o ![]()
.
Stanowi inwerter impedancji - zamienia duże wartości impedancji na małe i odwrotnie.
![]()
9. Fala stojąca.
Dla linii zwartej na końcu ZK=0, rozwartej ![]()
lub przy obciążeniu czysto reaktancyjnym ZK=jX powstaje czysta fala stojąca określa się współczynnik fali stojącej WSF.

11.Macierz ABCD.
Stosuje się ją do obwodów o stałych skupionych. Może być stosowana do opisu obwodów dla małych i średnich częstotliwości.

Zaletą macierzy łańcuchowej jest to, że przy łańcuchowym (kaskadowym) połączeniu dwuwrotników o macierzach [A1B1C1D1], [A2B2C2D2], ...., macierz wypadkowa łańcucha wynosi:[ABCD]= [A1B1C1D1] x [A2B2C2D2] x ...
12. Macierz rozproszenia [S]
S11=b1/a1 przy a2=0 współczynnik odbicia na wejściu przy dopasowaniu na wyjściu
S22=b2/a2 przy a1=0 współczynnik odbicia na wyjściu przy dopasowaniu na wejściu
S21=b2/a1 przy a2=0 współczynnik transmisji przy dopasowaniu na wyjściu
S12=b1/a2 przy a1=0 współczynnik transmisji zwrotnej przy dopasowaniu na wejściu
b1= S11 a1+S12 a2.
b2= S21 a1+S22 a2.
a1,a2 Znormalizowane amplitudy fal padających;
b1,b2 Znormalizowane amplitudy fal odbitych, tzn. amplitudy zespolone napięcia podzielone przez pierwiastek z impedancji charakterystycznej.
Macierz rozproszenia dwuwrotnika bezstratnego jest macierzą jednostkową.
Macierz rozproszenia zwana w skrócie macierzą S jest złożona z wyrazów, którymi są właśnie współczynniki odbicia oraz transmisja między poszczególnymi wrotami układu wielowrotnikowego.
Sens fizyczny współczynników rozproszenia. Współczynniki rozproszenia, są bezwymiarowe [V/V]. Często wyraża się je w [dB] (tj. 20logSik). Aby wyznaczyć poszczególne wyrazy macierzy S jest konieczna znajomość zarówno wartości poszczególnych elementów układu i ich połączeń oraz znajomość impedancji charakterystycznej