10. Detektory promieniowania jonizującego: liczniki gazowe - komora jonizacyjna, licznik proporcjonalny (wzmocnienie gazowe), licznik Geigera-Mullera. Licznik scyntylacyjny.
12a. Detektory promieniowania jonizującego: gazowe, półprzewodnikowe, scyntylacyjne.
Słowo wstępu
Metody detekcji cząstek i kwantów promieniowania elektromagnetycznego opierają się na ich wzajemnym oddziaływaniu z ośrodkiem. Oddziaływania te sprowadzają się najczęściej do jonizacji lub wzbudzania atomów ośrodka. Detektorem jest, więc substancja reagująca na pojawienie się cząstki lub promieniowania. Detektor współpracuje z urządzeniami elektronicznymi przetwarzającymi sygnały z detektora na sygnał elektryczny (tzw. przetworniki ADC). Detektory współpracujące z urządzeniami elektronicznymi nazywamy licznikami promieniowania.
Detektory charakteryzuje się przez podanie:
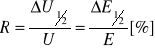
Wydajności detektora(ε), ε = ![]()
1 (lub 100%), n- liczba kwantów(cząstek), N- liczba zliczeń(impulsów). Wydajność 1 (100%) byłaby, gdyby każda cząstka była pochłonięta (wykryta) przez detektor. ε Około1 mają lekkie cząstki (![]()
) natomiast słabą wydajność mają![]()
Liniowości energetycznej (rys 1)- zakres liniowy prostej U=f(E), U-napięcie[V], E-energia cząstek[eV], można go przedstawić w postaci równania prostej : U = k.E, w którym stała k NIE może być funkcją energii, czasu itp.



Rys 1. Liniowość energ. Rys. 2 Rozdzielczość duża (a) i mała (b) Rys. 3 Szybkość
Rozdzielczości energetycznej (rys 2) -
zależy od rodzaju i konstrukcji detektora, 
, patrz temat nr. 12.
Szybkości (objaśnienia symboli rys 3), tn i timp mają być jak najkrótsze dla jak największej liczby cząstek (n) i liczby zliczeń(N) bez zniekształcenia informacji. Z reguły liczniki gazowe są szybsze.
Czas rozdzielczy licznika - tj. najmniejszy odstęp czasu, w którym mogą zostac zarejestrowane dwa oddzielne impulsy.

Liczniki gazowe mogą mieć różną budowę - cylindryczną lub kwadratową, z okienkiem (wejściem) bocznym czy „na górze” -przykład cylindrycznego z okienkiem bocznym rys 4.

Rys. 4 Gazowy det. cylindryczny
Rys 5 . Komora jonizacyjna
Komora jonizacyjna
Wykorzystuje zjawisko jonizacji gazu. Schemat komory - rys 5.
Przykłada się napięcie między elektrodami, powstaje pole elektryczne. Cząstka, która przechodzi przez komorę powoduje jonizację gazu, który znajduje się wewnątrz detektora (najczęściej jest nizm argon). Powstałe jony wędrują do katody i anody a gdy dotrą do elektrod, następuje przepływ prądu. Powstały prąd można mierzyć galwanometrem.
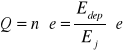
Na podstawie pomiaru natężenia prądu (wzór 4) lub spadku napięcia na określonym oporze (wzór 5) można obliczyć liczbę cząstek (kwantów) przechodzących przez komorę jonizacyjną:
Całkowity ładunek (Q) jest proporcjonalny do ilości cząstek (n) (1), oraz wiemy również że (2) i (3) :

(1) ![]()
(2) ![]()
(3)
Edep -energia cząstek zdeponowanych w detektorze ; Ej - energia pierwotna (potrzebna do utworzenia wszystkich par jonów, [zawiera n]) ; e - ładunek cząstek ; U- napięcie ; Cdet - pojemność detektora ; t-czas
Przez detektor przepływa strumień cząsteczek: Φ[![]()
] który jest proporcjonalny do natężenia płynącego prądu (i), zatem z tej proporcji oraz z (1),(2) i (3):

(4)
Sdet - tj powierzchnia detektora, jeśli det. Jest cylindryczny to wynosi : ![]()
, gdzie r-średnica cylindra, l - długość cylindra (długość drogi detekcji).
Wzór (4) jest ważny, bo może być z tego jakieś zadanie (było na wykładach).
Uwagi końcowe:
Nie zawsze cała energia cząstki jest deponowana w detektorze (wzór 4 obrazuje tylko największy możliwy do uzyskania prąd)
Dobrze, gdy energia tracona przez cząstki w czasie „drogi” jest mała, bo tym większy prąd (i) popłynie
Z powyższego punktu wynika, że wymagane są czułe układy rejestracji.
Procesy jonizacji są szybkie - napięcie U musi być dostatecznie duże.
Komora NIE pracuje impulsowo ale całkowo: kg=f(U)![]()
f(E)
Zastosowania: dozymetry promieniowania korpuskularnego X i γ (komory stałoprądowe), badanie preparatów emitujących promieniowanie np.α lub promieniowanie dobrze pochłaniane przez gaz (duże wartości ![]()
)
Wzór 5 (mało ważny) : 
; V-napięcie, 
-kwant energii przypadający na jednostkę drogi, x-długość drogi przebytej przez cząstkę, reszta oznaczeń jak wyżej.
Licznik proporcjonalny i wzmocnienie gazowe
Przykładając napięcie w komorze jonizacyjnej powstają jony docierające do elektrod. Gdy powstające napięcie będzie coraz to większe - powstający prąd będzie coraz to większy i powstanie tzw. stan nasycenia. Jeśli jednak napięcie będzie za duże, to uwolnione jony w polu elektrycznym dostaną tak dużej energii, że zjonizują dalsze atomy gazu czy pozostałe atomy. Po zwiększonej ilości jonów -zwiększa się natężenie powstałego prądu. Obrazuje to rysunek 8. Dla cząstek α krzywa jest „wyżej” gdyż cząstki te szybciej tracą energię podczas pokonywania drogi, zatem liczba powstałych jonów w układzie jest większa, zatem prąd też jest większy.
Przy przejściu z obszaru B do C zwiększa się liczba jonów (tzw generacja pokoleń) w stosunku do powstałych wcześniej jonów pierwotnych wytworzonych przez cząstki jonizujące a efekt ten nazywa się wzmocnieniem gazowym. Jeden elektron uwolniony przez cząstkę jonizującą może wytworzyć lawinę 102-105 elektronów dających określony impuls elektryczny, zawsze jednak wielkość tego impulsu jest proporcjonalna do liczby par jonów pierwotnych, w więc do energii padającej cząstki (lub promieniowania).

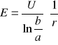
Liczniki pracujące w obszarze C noszą nazwę liczników proporcjonalnych, są to, więc komory jonizacyjne pracujące przy wyższych natężeniach prądu. Liczniki proporcjonalne mają najczęściej kształt cylindryczny z wmontowaną anodą (tj. cienki drut). Natężenie pola elektrycznego wokół drutu w odległości r wynosi (wzór 6): 
(6)
U-napięcie, b- średnica cylindra (detektora),
a- średnica anody (cienkiego drutu),
r- odległość cząstki (elektronu) od ściany detektora
Rys. 6 objaśniający symbole wzoru 6
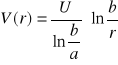
Potencjał : 
(7)
Energia kinetyczna elektronu przy przyspieszaniu od r1 do r2 : 
(ponieważ L=Q.U) (8)

Jeżeli L>Ej- , gdzie Ej- to pierwotna energia cząsteczki, generowane są 2 pokolenia, następnie 3 pokolenia itd. (rys 7).
Zatem wzmocnienie gazowe (9):
kg=![]()
(9).
Rys .7 Objaśniający generowanie pokoleń
Z (9) wynika iż wzmocnienie gazowe (![]()
) proporcjonalne jest do Un (n- ilość ładunków)
Mała uwaga:
Licznik proporcjonalny pracuje impulsowo (prądowo) , czyli inaczej niż komora gazowa, dla dużych U mamy kg![]()
f(U) ale proporcjonalne do energi cząstek (E).
Jony dodatnie, które mają masę około 4 rzędy wielkości większą od masy elektronu wędrują około 104 razy
wolniej do katody i dlatego ekranują anodę, obniżając w jej polu natężenie prądu (pola elektrycznego). Gdy spadek natężenia prądu jest za duży zjawisko wzmocnienia może nie wystąpić. Dopiero, gdy kationy oddalą się od anody i wzrośnie natężenie pola, wzrośnie efekt wzmocnienia.
Stosunek liczby n ładunków zebranych na elektrodzie do n0 ładunków utworzonych pierwotnie w liczniku nosi nazwę współczynnika wzmocnienia gazowego A (równanie 11).

(11)
α-liczba par jonów utworzonych przez 1 elektron na drodze 1cm, rx - odległość od anody
Współczynnik α jest zależny od natężenia pola elektrycznego, a natężenie pola zleży od rx.
Współczynnik A zależy od napięcia między elektrodami, ciśnienia gazu w liczniku oraz od tzw. potencjału jonizacji gazu, kształtu i wymiarów geometrycznych licznika.
Aby zjonizowany gaz szlachetny licznika (zjonizowany argon), nie fałszował wyników pomiarów (sam nie powodował jonizacji wtórnej, bo chodzi o to, aby wytworzone przez zjonizowany gaz szlachetny badane jony powodowały tenże efekt) wprowadza się do licznika gaz o mniejszym potencjale jonizacji: pary alkoholu, eteru czy inne. Następuje wtedy przeniesienie ładunku dodatniego Ar+ na gaz o mniejszym potencjale, a te docierając w postaci kationów do katody, nie powodują wybicia z niej elektronu, lecz zobojętniają się z powstaniem rodników lub atomów.

Rys. 8 Zależność wielkości impulsu (liczby jonów rozładowujących się na elektrodzie) od natężenia pola elektrycznego.
A-obszar rekombinacji przed zebraniem jonów,
B - obszar pracy komory jonizacyjnej,
C - obszar pracy licznika proporcjonalnego, D - obszar pracy licznika G-M ,
F - obszar wyładowania samoistnego
Właściwości licznika proporcjonalnego:
mały czas martwy
odporność na promieniowanie
dość szybki impuls (czas dryfu elektronów)
mała amplituda impulsu - potrzeba wzmacniacza
Licznik Geigera-Millera (G-M)
Mała uwaga wstępna (patrz też rys8) :
Licznik G-M pracuje przy jeszcze większych U niż licznik proporcjonalny, i wtedy dla jeszcze większych U mamy Udetektora= f(Upodanego na detektor) ![]()
f(E)
W tym aparacie, przyłożona różnica potencjałów jest tak duża, że elektrony uderzając w anodę powodują wybicie fotonu : e-(anoda)→ (foton) hυ. Fotony prawie natychmiast rozprzestrzeniają się w całej objętości licznika i jonizują gaz wypełniający licznik a także wybijają elektrony z katody :
Hυ (katoda)→ e-. Te elektrony przyspieszane są w polu elektrycznym i powodują dalsza jonizcję (powstaje lawina jonów w całym liczniku) a wielkość impulsu elektrycznego przestaje być proporcjonalna do energii cząstki pierwotnej wpadającej do licznika (jest rozproszona).
Po pewnym czasie lawinowa jonizacja ustaje, gdyż powstają w pobliżu anody mało ruchliwe kationy.Jony dodatnie ekranują anodę, obniżając w jej polu natężenie prądu (pola elektrycznego). Dopiero, gdy kationy oddalą się od anody i wzrośnie natężenie pola, licznik może zarejestrować wpadającą cząstkę.
Wyładowanie raz zapoczątkowane w takim liczniku trwało by bardzo długo, sygnał mógłby występować nawet przy braku cząsteczek a mógłby zostać uszkodzony („palenie” się licznika), dlatego stosowane są różne metody gaszenia tego wyładowania. W zależności od metody gaszenia (przerywania ciągłej pracy licznika) rozróżnia się liczniki G-M samo gasnące i nie samo gasnące.
Liczniki nie samo gasnące są to liczniki z zewnętrznym urządzeniem przerywającym wyładowanie (obniżającym napięcie licznika), np. w postaci bardzo wysokiego oporu włączonego w szereg z licznikiem. W licznikach samo gasnących wyładowanie (produkcja jonów) wygasa samorzutnie, dzięki domieszce gazu wieloatomowego, np. par alkoholu lub eteru. Cząsteczki gazu gaszącego stanowią "zaporę" dla fotonów oraz jonów dodatnich. Dzięki niskiemu potencjałowi jonizacji, wygaszają promieniowanie, nie dopuszczając do wybijania fotoelektronów z katody, a także neutralizują w zderzeniach jony dodatnie.
W licznikach samo gasnących mamy, zatem do czynienia z tym samym, co przy liczniku proporcjonalnym podczas gdy nie dopuszczano do „zafałszowywania wyników”.
Zamiast cząstek organicznych można wprowadzać gazów o prostej cząsteczce np. gazowy chlor.
Zaletami licznika chlorowego w porównaniu z licznikiem z gazem organicznym jest:
Możliwość pracy w zakresie niskich napięć
Krótszy czas martwy (czas, w którym nierejestrowane są cząstki)
Dłuższy czas eksploatacji

Charakterystykę licznika G-M przedstawia rys 9 a przykładowy schemat licznika rys 10.

Rys. 9 Charakterystyka licznika G-M Rys 10. Schemat licznika G-M
Właściwości licznika Geigera-Mullera:
Dobry licznik charakteryzuje się długim i płaskim plateau
A) ZALETY
prosta konstrukcja
duży impuls, ustalona amplituda - prosta elektronika odczytu
B) WADY
mała wydajność zliczania promieniowania gamma i niskoenergetycznych elektronów (ulegają one pochłonięciu w okienku licznika G-M z powodu małej gęstości ośrodka pochłaniającego)
utrata informacji o rodzaju, energii i pozycji cząstki
czas rozdzielczy jest długi (duży czas martwy), co ogranicza pomiary impulsy o dużej częstości - nie można mierzyć preparatów o dużej aktywności
Zastosowania licznika Geigera-Mullera: zanikające, głównie ochrona radiologiczna (stwierdzenie obecności promieniowania)
Licznik scyntylacyjny

Rys. 11 Schemat licznika scyntylacyjnego, ważne jest, że przyłożone napięcia do dynod są coraz większe:
Ukd1<Ud1d2<…<Ud4A
Działanie opiera się na zjawisku scyntylacji - świecenia substancji pod wpływem promieniowania jonizującego.
W scyntylatorze następuje przekształcenie energii promieniowania jonizującego na energię kwantów światła. Kwanty światła ze scyntylatora padają na fotokatodę i wybijają z niej elektrony. Wybity elektron daje początek kaskadzie elektronów wtórnych powstałych w fotopowielaczu.
Scyntylatory dzieli się na:
s. krystaliczne nieorganiczne np. NaI(Tl), ZnS(Ag), CsI(Tl) - promieniowanie jonizujące powoduje przeniesienie elektronu z pasma podstawowego (walencyjnego) do pasma przewodnictwa. Jeśli substancja zawiera tzw. centra luminescencyjne, to „dziury” w paśmie podstawowym zostają zapełnione przez elektrony z tych centrów. Podczas tego procesu następuje emisją kwantów światła. Wadami może być np., higroskopijność, brak tworzenia dużych ziaren i inne.
s. krystaliczne organiczne, np. WWA zawierające podstawniki np. antracen - powstanie błysku światła polega na wzbudzeniu cząsteczki przez promieniowanie jądrowe, po którym następuje przejście do stanu podstawowego i emisja kwantu promieniowania UV lub VIS. Czas trwania błysku zależy od czasu życia cząsteczki w stanie zbudzonym.
s. szklane - zawierają scyntylator nieorganiczny z dodatkiem aktywatora. Dzięki bierności chemicznej i odporności na wysokie temperatury zyskują na znaczeniu.
s. plastikowe - stałe roztwory scyntylator organicznych umieszczone są w masach plastikowych, np. polistyrenie
s. ciekłe - to roztwory fluoryzujących związków organicznych w odpowiednich rozpuszczalnikach
Zaleta :Czas rozdzielczy liczników scyntylacyjnych jest znacznie krótszy niż liczników gazowych , co umożliwia rejestrację dużej ilości zliczeń.
Zastosowanie:
badanie cząstek γ - licznik NaI,
badanie cząstek α - licznik ZnS
badanie cząstek β - licznik palstikowy
Detektory półprzewodnikowe - patrz głównie temat 12

Wykorzystają diody (zjawisko przewodzenia „dziurowego”). Detektory takie mają bardzo dobrą rozdzielczość, zatem można nimi badać bardzo małe energie. Należy jednak pamiętać, że takie układy są bardzo zależne od temperatury i mogą wystąpić szumy termiczne, dlatego najczęściej pracuje się w ciekłym azocie.
Rysunek układu przedstawia rys. obok.
Sposób mierzenia energii E:
Przyłożone U jest proporcjonalne do Q a to jest
Rys. układu z zastosowaniem detektora półprzewodnikowego proporcjonalne do Ei = (hυ)i
Porównanie detektorów
|
Rozdzielczość ΔE/E0 [%] |
ΔE [keV] |
Rejestrowana linia emisyjna Ej [keV] |
Licznik scyntylacyjny NaI |
Około 30 |
Około 20 |
60 |
Licznik proporcjonalny |
17 |
1 |
5,9 |
Półprzewodnikowy |
4 ( w ciekłym azocie) |
0,2 |
5,9 |
|
Mechanizm wyładowania |
Współczynnik wzmocnienia gazowego M |
Ładunek zebrany na elektrodach Q |
Komora jonizacyjna |
Jonizacja pierwotna |
1 |
Q=k0. ΔE |
Licznik proporcjonalny |
Jonizacja pierwotna, i zderzeniowa Townseda |
102-106 |
Q=kdM. ΔE |
Licznik G-M |
Jonizacja pierwotna, zderzeniowa, wzbudzenie atomów z reemisją fotonów, lawinowe wyładowywanie |
nieokreślony |
Niezależny od jon. Pierwotnej, deponowanej energii ΔE, rodzaju cząstki |
|
|
kd, k0 - współczynniki proporcjonalności |
|
Rodzaj promieniowania |
Komora jon. |
Licznik prop. |
Licznik G-M |
Licznik scyntylacyjny |
Licznik półprzewodnikowy |
α |
+ |
++ |
- |
+ |
+ |
β>1MeV |
- |
+ |
++ |
+ |
- |
β<0,5MeV |
- |
+ |
- |
++ (ciekły) |
- |
γ>0,1Mev |
- |
- |
- |
++(krystaliczny) |
++ |
γ<0,1MeV |
- |
- |
+(prom X) |
+(krystaliczny) |
++ |
Legenda: + dobry, ++ bardzo dobry, - detektor nieodpowiedni |
|||||
