1.1 Операции над матрицами
Матрицей(числовой) размеров m×n будем называть совокупность m⋅n чисел расположенных в виде таблицы состоящей из m строк и n столбцов и записывать в виде:

.
Элементы матрицы - это числа aij (![]()
) составляющие её, где i - номер строки, j - номер столбца на пересечении которых находится элемент матрицы.
Матрицы называются равными, если они имеют одинаковый размер и все их соответствующие элементы равны. Матрица, все элементы которой равны нулю называется нулевой и обозначается О.
Матрица для которой число строк равно числу столбцов называется квадратной. В случае квадратной матрицы вводятся понятия главной диагонали (это числа —![]()
) и побочной диагонали (это числа —![]()
). Квадратная матрица называется диагональной, если все элементы расположенные вне главной диагонали равны нулю.
Диагональная матрица называется единичной и обозначается ![]()
, если все элементы стоящие на главной диагонали равны единице т.е. ![]()
, где 
- символ Кронекера.
Квадратная матрица называется симметричной, если ![]()
и кососимметрической, если . ![]()
.
1.Сложение матриц
Определяется для матриц одинакового размера. Суммой матриц A и B, обозначаемой A+B, называется матрица C, элементы которой определяются по формуле: cij=aij+bij, где aij и bij, cij - соответственно элементы матриц A , B и С.
2.Умножение матрицы на число
Произведением матрицы A и числа λ, обозначаемым λA, называется матрица B той же размерности, элементы которой bij=ၬaij, где aij элементы матрицы A, т.е. при умножении матрицы на число надо все элементы матрицы умножить на это число.
Свойства
Пусть A, B, C - матрицы одного размера, ၡ, β любые действительные числа, тогда:
A+ B= B+ A(коммутативность),
(A+ B)+ C= A+(B+ C)(ассоциативность)
![]()
(существование нейтрального элемента)
![]()
(существование противоположного)
ၡ(A+B)= ၡA+ၡB,
(ၡ+β)A=ၡA+βA,
(ၡβ)A=ၡ(βA),
1А=А.
(-1)A - противоположная к A и обозначается - A.
Степени квадратной матрицы. . Пусть ![]()
квадратная матрица,
![]()
Понятие матричного многочлена. Пусть ![]()
квадратная матрица и
![]()
- многочлен. Значение многочлена при ![]()
называется матрица ![]()
3.Транспонирование матриц
Матрица AT, полученная из данной матрицы A заменой её строк столбцами с теми же номерами называется транспонированной:

4.Умножение матриц
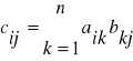
Произведением матриц Am× n и Bn× p называется матрица Cm× p= A B (или AB), элементы которой 
, где ![]()
, ![]()
- элементы матриц A и B. Произведение AB существует только в том случае, когда первый множитель матрица A имеет число столбцов, равное числу строк второго множителя матрицы B.
Свойства умножения
AB≠ BA даже если оба произведения определены.
если существуют матрицы A,B, такие что AB= BA, тогда они называются перестановочными.
E - перестановочная с любой квадратной матрицей того же размера, т.е. AE=EA=A.
Умножение матриц ассоциативно, т.е. если определены произведения AB и (AB)C, то определены BC и A(BC) и выполняется равенство:
(AB)C=A(BC).
Умножение матриц дистрибутивно по отношению к сложению, т.е.:
A(B+C)=AB+AC
(A+B)C=AC+BC.
Для любого числа λ:
λ(AB)=(ၬA)B=A(ၬB).
5. Если существует AB, то существует BТAТ и выполняется равенство: (AB)Т= BТAТ.
Пример. 1.1. Даны матрицы: 
, 
, 
. Указать матрицы которые можно складывать? Найти их сумму.
Р е ш е н и е. Матрицу ![]()
можно сложить с матрицей ![]()
, так как они имеют одинаковый порядок — ![]()
, и нельзя их сложить с матрицей ![]()
, так как она имеет порядок ![]()
.
Так как при сложении матриц складываются соответствующие
элементы, то

.
Пример. 1.2. Дана матрица: 
, Найти ![]()
.
Р е ш е н и е. Для того, чтобы умножить матрицу на число надо все коэффициенты матрицы умножить на этот число. Имеем

Пример. 1.3. Даны матрицы: 
, 
.Указать порядок в котором матрицы можно перемножить? Найти произведение матриц .
Р е ш е н и е. Так как матрица ![]()
имеет порядок ![]()
, а матрицей ![]()
имеет порядок ![]()
, то число столбцов матрицы ![]()
равно числу строк матрицы ![]()
, следовательно ![]()
, существует. Число столбцов матрицы ![]()
не равно числу строк матрицы ![]()
, следовательно ![]()
, не существует.
Произведение ![]()
имеет порядок ![]()
. Найдем его

.
Пример. 1.4 Известно, что ![]()
. Найти порядок матрицы ![]()
.
Р е ш е н и е. По правилу умножения матриц число столбцов матрицы ![]()
равно числу строк матрицы ![]()
, следовательно так как матрица ![]()
имеет порядок ![]()
, то есть число ее столбцов равно 5, то и число строк матрицы ![]()
равно 5. Порядок матрицы ![]()
равен порядку матрицы ![]()
, то есть ![]()
следовательно ![]()
. Матрица ![]()
имеет порядок ![]()
.
Пример. 1.5. Даны матрицы: 
, 
.Найти элемент
![]()
если ![]()
и элемент![]()
если ![]()
.
Р е ш е н и е. Элемент ![]()
расположен на пересечении 2-ой строки и 3-го столбца , следовательно он получается перемножением 2-ой строки матрицы ![]()
и 3-го столбца матрицы ![]()
:
![]()
.
Элемент ![]()
расположен на пересечении 2-ой строки и 3-го столбца , следовательно он получается перемножением 2-ой строки матрицы ![]()
и 3-го столбца матрицы ![]()
:
![]()
.
Очевидно ![]()
, следовательно ![]()
, то есть произведение матриц не коммутативно.
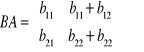
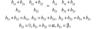
Пример. 1.6 Матрицы ![]()
и ![]()
называются перестановочными если![]()
.
Найти все матрицы перестановочные с матрицей ![]()
если 
.
Р е ш е н и е. Очевидно перестановочными могут быть только квадратные матрицы одинаковых порядков. Обозначим 
искомую матрицу.
Посчитаем 
, затем 

где ![]()
— любые числа. Все перестановочные матрицы с исходной имеют вид: 
.
Пример.1.7 Дана матрица 
, найти А3.
А2 = АА =

= 
; A3 = 

=
отметим, что матрицы 
и 
являются перестановочными.
Пример. 1.8 Найти ![]()
, если: ![]()
, 
.
Р е ш е н и е. Согласно определению многочлена от матрицы

Пример. 1.9 Найти 
.
Р е ш е н и е. Возведем в квадрат

Пусть при возведении в ![]()
-ую степень имеем 
.
Докажем, что при возведению ![]()
-ую степень имеем

.
Используя известные формулы :
![]()
,
имеем 
При возведении в ![]()
-ую степень имеем 
.
Пример. 1.10 Найти ![]()
, если 
, 
Р е ш е н и е. 
. По свойствам транспонирования 
, по условию 
, равно 
, поэтому 
. 
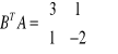
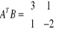
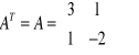
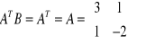
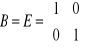
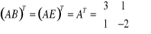
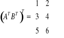
Пример. 1.11 Найти ![]()
, если 
Р е ш е н и е. По свойствам транспонирования
![]()
, 
.
Задачи для самостоятельной работы
1.1. Какие элементы в матрице 
составляют главную диагональ, а какие побочную .
1. 2. Укажите какие из матриц являются диагональными:

, 
, 
, 
.
1.3. Написать единичную матрицу пятого порядка.
1. 4. Даны матрицы 
и 
. Найти ![]()
.
1. 5. Доказать, что сумма двух симметричных матриц является симметричной.
1. 7 Найти матрицу ![]()
, если 
.
1. 8 Известно, что ![]()
. Найти ![]()
.
1. 9 Даны матрицы 
и 
. Найти ![]()
.
1.10 Даны матрицы ![]()
. Укажите все возможные произведения матриц.
1.11. Вычислить произведение ![]()
, где

.
1.12. Посчитать количество операций умножения и сложения при перемножении ![]()
матрицы![]()
и ![]()
матрицы ![]()
.
1.13Показать, что матрица 
является корнем многочлена
![]()
.
1.14 Найти все матрицы перестановочные с матрицей ![]()
если

.
1.15 Найти 
.
1.16 Найти матрицу ![]()
если 
.
1.17 Найти матрицу ![]()
если 

.
1.18. Можно ли умножить строку длины ![]()
на столбец высоты ![]()
?
1.20. Можно ли умножить строку длины ![]()
на столбец высоты ![]()
?
1.21. транспонировать матрицу 
.