Prezentacja2 seminarium M Wiewior

background image

Politechnika Warszawska

Wydział Transportu

Zakład Logistyki i Systemów Transportowych

Usprawnienie ruchu

regionalnego na wybranym

odcinku linii kolejowej

Wykonawca pracy:

Mateusz Wiewiór

Kierujący pracą dyplomową:

dr inż. Jacek Kukulski

Prezentacja nr 2

background image

Cel pracy:

Modernizacja linii kolejowej na odcinku Drzewica –

Tomaszów Mazowiecki w celu usprawnienia ruchu

regionalnego

background image

Zakres pracy:

1. Wstawki proste
2. Program DIMO
3. Parametry kinetyczne
4. Dopuszczalna wartość przyspieszenia dla pociągów

pasażerskich

5. Dopuszczalna wartość przyspieszenia dla pociągów

pasażerskich

6. Dopuszczalna wartość przyrostu przyspieszenia
7. Dopuszczalna prędkość podnoszenia koła na rampie

przechyłkowej

8. Promień łuku
9. Krzywe przejściowe
10.Przechyłka towaru

background image

Przy projektowaniu łuków:

w = 17,8 m

Przy projektowaniu dróg zwrotnicowych:

w = 7,5 m

gdzie:
w – długość wstawki prostej [m],
V – prędkość maksymalna [m/s] 160 km/h ≈ 44,5 m/s

 

m

2,5

Vmax

w 

[m]

6

Vmax

w 

Wstawki proste

background image

Projekt DIMO

Przy pomocy programu można
obliczyć:
1. parametry kinematyczne:

• dopuszczalna wartość

przyspieszenia dla pociągów
pasażerskich i towarowych,

• dopuszczalna wartość przyrostu

przyspieszenia,

• dopuszczalna prędkość

podnoszenia koła na rampie
przechyłowej.

2. promienie łuków,

3. wartość przechyłki,

4. wartości wstawek

prostych.

background image

Parametry kinetyczne

background image

Dopuszczalna wartość przyspieszenia

dla pociągów pasażerskich

background image

Dopuszczalna wartość przyspieszenia

dla pociągów towarowych

background image

Dopuszczalna prędkość podnoszenia się

koła na rampie przechyłowej

background image

Promień łuku

R = 900 m

gdzie:
Vp- maksymalna prędkość pociągu pasażerskiego [km/h] 160 km/h
Vt- maksymalna prędkość pociągu towarowego [km/h] 120 km/h
a

p dop

- wartość przyspieszenia niezrównoważonego przyjmowana ze

względu na pociągi pasażerskie [m/s

2

] 0,63 m/s

2

a

t

dop

- wartość przyspieszenia niezrównoważonego przyjmowana ze

względu na pociągi towarowe [m/s

2

] 0,33 m/s

2

 

m

)

a

(a

12,96

v

-

v

R

dop

t

dop

p

t

2

p

2

background image

Krzywe przejściowe

Łuki bez przechyłki: Łuki z przechyłką:

l

kp

= 251 m

gdzie:
l

kp

– długość krzywej przejściowej [m]

v

max

– największa prędkość pociągu [m/s]

R - promień łuku kołowego [m]

dop

– dopuszczalna wartość przyrostu przyspieszenia [m/s

3

]

h – przechyłka [m]
f

dop

– dopuszczalna prędkość pionowego podnoszenia koła na rampie

przechyłowej [m/s]

a

max

– dopuszczalne maksymalne przyspieszenie boczne [m/s

2

]

]

[

6

,

3

]

[

6

,

3

max

max

max

m

a

v

l

m

f

h

v

l

dop

kp

dop

kp

]

[

0215

,

0

3

max

m

R

v

l

dop

kp

background image

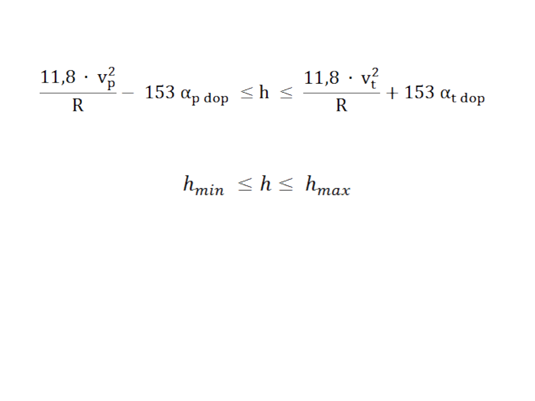
Przechyłka toru

239,25 ≤ h ≤ 239,29 h = 150 mm
gdzie:
h – wartość przechyłki przyjmowana dla danego łuku [mm],
V

p

- największa prędkość pociągów pasażerskich [m/s],

R – promień łuku [m],
a

p

dop

– przyspieszenie niezrównoważone dla pociągów

pasażerskich [m/s

2

],

V

t

– najmniejsza prędkość pociągu towarowego [m/s],

a

t

dop

- przyspieszenie niezrównoważone dla pociągów

towarowych [m/s

2

]

background image

Dziękuję za
uwagę


Document Outline


Wyszukiwarka

Podobne podstrony:
Prezentacja seminarium chłodnictwo
prezentacja seminarium 19pazdziernik
Wymagania prezentacji seminaryjnej
Prezentacja seminarium, Studia, Prawo
skt-n, Pomoce naukowe, Opracowania, II rok, Biochemia, Prezentacje z seminariów, IV koło
prezentacja seminarium mgr pw
TEMATY PREZENTACJI seminarium dyplomowe ZIP II st niestacj (1)
prezentacja seminarium (2)
prezentacja seminarium 1 2
Prezentacja seminarium 2
Prezentacja seminarium chłodnictwo
prezentacja seminarium 19pazdziernik
Prezentacja seminarium2
Prezentacja seminarium
Prezentacja na seminarium
SEMINARIUM IMMUNOLOGIA Prezentacja
seminarium prezentacja

więcej podobnych podstron