POLITECHNIKA WROCŁAWSKA INSTYTUT FIZYKI FILIA w JELENIEJ GÓRZE |
SPRAWOZDANIE Z ĆWICZENIA NR 20
TEMAT: Wyznaczanie momentu bezwładności brył za pomocą wahadła torsyjnego
|
||||
Imię i nazwisko:
Paweł Wójcik |
Numer kolejny ćwiczenia
5 |
Zaliczenie |
|||
Grupa
4 |
Wydział
E-ka |
Rok
I |
Data wykonania ćwiczenia
26 marzec 1999 |
|
|
Wstęp teoretyczny
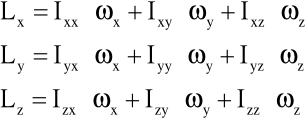
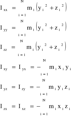
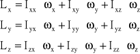
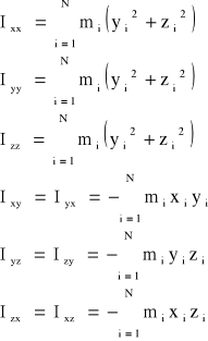
Bryłą sztywną nazywamy układ N punktów materialnych o masach mi (i=1...N), których wzajemne odległości nie zmieniają się w czasie. Składowe wektora momentu pędu L w układzie współrzędnych obracającym się wraz z bryłą dane są równaniami :

w których

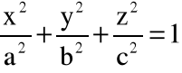
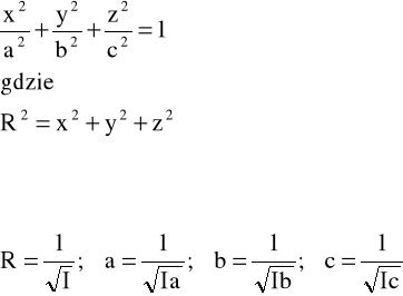
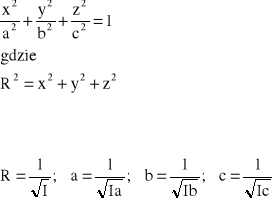
Dla orientacji osi x,y,z względem bryły, moment dewiacji (zboczeń) Ixy, Iyx, Izy, Izx, Ixz są równe zeru. Takie osie nazywamy osiami głównymi bryły, a momenty bezwładności bryły względem tych osi Ixx, Iyy, Izz głównymi momentami bezwładności. Jeżeli bryła ma osie symetrii, to osie główne pokrywają się z osiami symetrii bryły. Jeżeli wartość dwóch głównych momentów bezwładności są sobie równe, wówczas wszystkie trzy osie główne są osiami ekstremalnych momentów bezwładności . Osie ekstremalnych momentów bezwładności są tzw. swobodnymi osiami obrotu. Równanie konieczne elipsoidy bezwładności bryły sztywnej względem środka masy bryły ma postać :

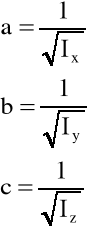
gdzie x,y,z to współrzędne punktów na powierzchni elipsoidy; a,b,c to długości półosi elipsoidy równe :

gdzie Ix,Iy,Iż są momenty bezwładności bryły względem osi głównych. Jeżeli znamy moment bezwładności względem osi środkowej, to można wyznaczyć moment bezwładności względem innej osi równoległej do osi środkowej. Korzystamy z twierdzenia Steinera :

Różnica momentów bezwładności względem dwóch różnych równoległych osi, z których jedna przechodzi przez środek masy ciała, równa jest iloczynowi masy ciała i kwadratowi odległości między tymi osiami. Okres drgań wahadła

gdzie d - odległość od osi obrotu.
2. Cel ćwiczenia
Celem ćwiczenia jest wyznaczenie wartości momentu bezwładności brył sztywnych względem różnych osi głównych, oraz zapoznanie się z zasadą działania wahadła torsyjnego.
3. Tabelaryczne zestawienie wyników pomiarów
BRYŁA WZORCOWA
wymiary : 0,05*0,05*0,05 [m]
α = 30o = 0,52359 [rad] |
|||||||
Lp
|
n |
t [s] |
T [s] |
[s] |
I [kgm2] |
ΔI [kgm2] |
F [N] |
|
20 |
37,524 |
1,87 |
|
|
|
|
2 |
20 |
38,955 |
1,94 |
|
|
|
|
3 |
20 |
39,82 |
1,99 |
|
|
|
|
4 |
20 |
42,185 |
2,1 |
|
|
|
|
5 |
20 |
45,7 |
2,28 |
0,05467 |
0,000408 |
4,3 * 10-5 |
0,024 |
6 |
20 |
38,842 |
1,94 |
|
|
|
|
7 |
20 |
38,848 |
1,94 |
|
|
|
|
8 |
20 |
45,549 |
2,27 |
|
|
|
|
9 |
20 |
54,703 |
2,28 |
|
|
|
|
10 |
20 |
45,729 |
2,28 |
|
|
|
|
|
|
|
|
|
|
|
|
|
|
średnie |
2,094 |
|
|
|
|
α = 60o = 1,047 [rad] |
|||||||
Lp
|
n |
t [s] |
T [s] |
[s] |
I [kgm2] |
ΔI [kgm2] |
F [N] |
1 |
20 |
45,726 |
2,2863 |
|
|
|
|
2 |
20 |
45,734 |
2,2867 |
|
|
|
|
3 |
20 |
45,74 |
2,287 |
|
|
|
|
|
20 |
45,74 |
2,287 |
|
|
|
|
5 |
20 |
45,731 |
2,2865 |
0,000307318 |
0,000408 |
4,3 * 10 -5 |
0,01686 |
6 |
20 |
45,738 |
2,2869 |
|
|
|
|
7 |
20 |
45,734 |
2,2867 |
|
|
|
|
8 |
20 |
45,753 |
2,2876 |
|
|
|
|
9 |
20 |
45,741 |
2,287 |
|
|
|
|
10 |
20 |
48,026 |
2,2869 |
|
|
|
|
|
|
|
|
|
|
|
|
|
|
średnie |
2,286 |
|
|
|
|
BRYŁA II
wymiary 0,1*0,06*0,04 [m]
α = 30o = 0,52359 [rad] |
|||||||
Lp
|
n |
t [s] |
T [s] |
[s] |
Ia [kgm2] |
ΔI [kgm2] |
F [N] |
1 |
10 |
36,511 |
3,65 |
|
|
|
|
2 |
10 |
36,512 |
3,65 |
|
|
|
|
|
10 |
36,494 |
3,64 |
|
|
|
|
4 |
10 |
35,691 |
3,56 |
|
|
|
|
5 |
10 |
36,042 |
3,60 |
0,0091378 |
0,001219 |
4,6 * 10-5 |
0,024 |
6 |
10 |
36,297 |
3,62 |
|
|
|
|
7 |
10 |
36,504 |
3,65 |
|
|
|
|
8 |
10 |
36,314 |
3,63 |
|
|
|
|
9 |
10 |
35,91 |
3,59 |
|
|
|
|
10 |
10 |
36,132 |
3,61 |
|
|
|
|
|
|
|
|
|
|
|
|
|
|
średnie |
3,624 |
|
|
|
|
α = 60o = 1,047 [rad] |
|||||||
Lp
|
n |
t [s] |
T [s] |
[s] |
Ia [kgm2] |
ΔI [kgm2] |
F [N] |
1 |
11 |
40,029 |
3,639 |
|
|
|
|
2 |
10 |
36,404 |
3,64 |
|
|
|
|
|
10 |
36,401 |
3,64 |
|
|
|
|
4 |
10 |
36,406 |
3,64 |
|
|
|
|
5 |
10 |
36,404 |
3,64 |
0,004214206 |
0,00041 |
1,558*10-5 |
0,016864232 |
6 |
10 |
36,400 |
3,64 |
|
|
|
|
7 |
10 |
36,397 |
3,639 |
|
|
|
|
8 |
10 |
36,395 |
3,639 |
|
|
|
|
9 |
10 |
36,406 |
3,64 |
|
|
|
|
10 |
10 |
36,391 |
3,639 |
|
|
|
|
|
|
|
|
|
|
|
|
|
|
średnie |
3,639 |
|
|
|
|
α = 30o = 0,52359 [rad] |
|||||||
Lp
|
n |
t [s] |
T [s] |
[s] |
Ic [kgm2] |
ΔI [kgm2] |
F [N] |
1 |
6 |
20,662 |
3,4436 |
|
|
|
|
2 |
5 |
17,22 |
3,444 |
|
|
|
|
|
5 |
17,217 |
3,443 |
|
|
|
|
4 |
5 |
16,286 |
3,377 |
|
|
|
|
5 |
5 |
17,237 |
3,447 |
0,011866063 |
0,00107 |
4,066*10-5 |
0,24 |
6 |
5 |
16,819 |
3,368 |
|
|
|
|
7 |
5 |
16,84 |
3,568 |
|
|
|
|
8 |
5 |
16,972 |
3,694 |
|
|
|
|
9 |
5 |
16,98 |
3,396 |
|
|
|
|
|
|
|
|
|
|
|
|
|
|
|
|
|
|
|
|
|
|
średnie |
3,4085 |
|
|
|
|
α = 60o = 1,047 [rad] |
|||||||
Lp
|
n |
t [s] |
T [s] |
[s] |
Ic [kgm2] |
ΔI [kgm2] |
F [N] |
1 |
6 |
20,536 |
3,4226 |
|
|
|
|
2 |
6 |
20,625 |
3,4375 |
|
|
|
|
3 |
5 |
17,17 |
3,434 |
|
|
|
|
|
5 |
17,168 |
3,4336 |
|
|
|
|
5 |
5 |
17,167 |
3,4337 |
0,0020615 |
0,0003643 |
1,384*10-5 |
0,016864232 |
6 |
6 |
20,545 |
3,4241 |
|
|
|
|
7 |
5 |
17,119 |
3,4238 |
|
|
|
|
8 |
5 |
17,168 |
3,4336 |
|
|
|
|
|
|
|
|
|
|
|
|
|
|
|
|
|
|
|
|
|
|
|
|
|
|
|
|
|
|
średnie |
3,4303 |
|
|
|
|
α = 30o = 0,52359 [rad] |
|||||||
Lp
|
n |
t [s] |
T [s] |
[s] |
Ib [kgm2] |
ΔI [kgm2] |
F [N] |
|
5 |
13,44 |
2,688 |
|
|
|
|
2 |
5 |
13,441 |
2,6882 |
|
|
|
|
3 |
5 |
13,412 |
2,6824 |
|
|
|
|
4 |
5 |
13,426 |
2,6852 |
0,000827647 |
0,00067 |
2,546*10-5 |
0,024 |
5 |
5 |
13,429 |
2,6858 |
|
|
|
|
6 |
6 |
16,124 |
2,6872 |
|
|
|
|
7 |
5 |
13,419 |
2,6838 |
|
|
|
|
|
|
|
|
|
|
|
|
|
|
średnie |
2,6858 |
|
|
|
|
α = 60o = 1,047 [rad] |
|||||||
Lp
|
n |
t [s] |
T [s] |
[s] |
Ib [kgm2] |
ΔI [kgm2] |
F [N] |
|
5 |
13,382 |
2,6764 |
|
|
|
|
2 |
5 |
13,384 |
2,6768 |
|
|
|
|
3 |
5 |
13,384 |
2,6768 |
0,000085634 |
0,0002218 |
8,428*10-6 |
0,16864232 |
4 |
5 |
13,384 |
2,6768 |
|
|
|
|
5 |
5 |
13,385 |
2,677 |
|
|
|
|
6 |
5 |
13,383 |
2,6766 |
|
|
|
|
|
|
|
|
|
|
|
|
|
|
średnie |
2,6767 |
|
|
|
|
BRYŁA III
wymiary : 0,1*0,05*0,05
α = 30o = 0,52359 [rad] |
|||||||
Lp
|
n |
t [s] |
T [s] |
[s] |
Ib [kgm2] |
ΔI [kgm2] |
F [N] |
1 |
5 |
13,458 |
2,6916 |
|
|
|
|
|
5 |
13,454 |
2,6908 |
|
|
|
|
3 |
5 |
13,457 |
2,6914 |
|
|
|
|
4 |
5 |
13,456 |
2,6912 |
0,000168325 |
0,0006727 |
2,556*10-5 |
0,024 |
5 |
5 |
13,459 |
2,6918 |
|
|
|
|
6 |
5 |
13,454 |
2,6908 |
|
|
|
|
|
|
|
|
|
|
|
|
|
|
średnie |
3,624 |
|
|
|
|
α = 60o = 1,047 [rad] |
|||||||
Lp
|
n |
t [s] |
T [s] |
[s] |
Ib [kgm2] |
ΔI [kgm2] |
F [N] |
1 |
5 |
13,412 |
2,6824 |
|
|
|
|
2 |
5 |
13,413 |
2,6826 |
|
|
|
|
|
5 |
13,415 |
2,683 |
|
|
|
|
4 |
5 |
13,414 |
2,6828 |
0,000159164 |
0,0002228 |
8,466*10-6 |
0,016864232 |
5 |
6 |
16,092 |
2,682 |
|
|
|
|
6 |
5 |
13,415 |
2,683 |
|
|
|
|
|
|
|
|
|
|
|
|
|
|
średnie |
2,6826 |
|
|
|
|
α = 30o = 0,52359 [rad] |
|||||||
Lp
|
n |
t [s] |
T [s] |
[s] |
Ia=Ic [kgm2] |
ΔI [kgm2] |
F [N] |
1 |
5 |
17,949 |
3,5898 |
|
|
|
|
2 |
5 |
17,583 |
3,5166 |
|
|
|
|
|
5 |
17,889 |
3,5777 |
|
|
|
|
4 |
5 |
17,87 |
3,574 |
0,010678701 |
0,001183 |
4,495*10-5 |
0,024 |
5 |
5 |
17,888 |
3,5776 |
|
|
|
|
6 |
5 |
17,886 |
3,5772 |
|
|
|
|
|
|
|
|
|
|
|
|
|
|
|
|
|
|
|
|
|
|
średnie |
3,5688 |
|
|
|
|
α = 60o = 1,047 [rad] |
|||||||
Lp
|
n |
t [s] |
T [s] |
[s] |
Ia=Ic [kgm2] |
ΔI [kgm2] |
F [N] |
1 |
5 |
17,886 |
3,5772 |
|
|
|
|
2 |
5 |
17,888 |
3,5776 |
|
|
|
|
|
5 |
17,883 |
3,5766 |
|
|
|
|
4 |
5 |
17,888 |
3,5776 |
0,0003783 |
0,000396 |
1,5*10-5 |
0,016864232 |
5 |
5 |
17,887 |
3,5774 |
|
|
|
|
6 |
5 |
17,886 |
3,5752 |
|
|
|
|
|
|
|
|
|
|
|
|
|
|
średnie |
3,57693 |
|
|
|
|
4.Wzory i przykładowe obliczenia

gdzie :
F - siła powodująca wychylenie z położenia równowagi
r - ramię siły
T - okres drgań
α - kąt wychylenia
M - masa bryły wzorcowej
n - ilość okresów
t - czas n okresów
I - moment bezwładności
Ms - moment siły
D - moment krętu
5. Tabelaryczne zestawienie wyników
|
α = 30o |
α = 60o |
|||||||||
|
F = 0,024 [N] |
F = 0,016864232 [N] |
|||||||||
|
Ia [kgm2] |
Ib [kgm2] |
Ic [kgm2] |
Ia [kgm2] |
Ib [kgm2] |
Ic [kgm2] |
|||||
bryła wzorcowa 0,05*0,05*0,05 [m] |
0,000408
|
||||||||||
bryła II 0,1*0,06*0,04 |
0,001219±4,6 *10-5 |
0,00067 ±4,066 *10-5 |
0,00107 ±4,066 *10-5 |
0,00041 ±1,558 *10-5 |
0,0002218 ±8,428 *10-6 |
0,0003643 ±1,384 *10-5 |
|||||
bryła III 0,1*0,05*0,05 |
0,001183 ±4,495 *10-5 |
0,0006727 ±2,556 *10-5 |
0,001183 ±4,4954 *10-5 |
0,000396 ±1,5 *10-5 |
0,0002228 ±8,466 *10-6 |
0,000396 ±1,504 *10-5 |
|||||
gdzie :
Ia - największy moment bezwładności względem jednej z głównych osi obrotu
Ib - najmniejszy moment bezwładności względem jednej z głównych osi obrotu
Ic - moment bezwładności względem osi prostopadłej do pozostałych osi
6. Wykresy elipsoid bezwładności

7. Wnioski / Dyskusja błędów
Podczas przeprowadzania pomiarów zauważyliśmy , a jednocześnie potwierdziliśmy teorie podręcznikowe na temat momentu bezwładności poszczególnych brył. Zależy on od wyboru osi obrotu i od kształtu ciała. W naszych bryłach masa rozmieszczona jest równomiernie , więc nie miała wpływu na wyniki. Badana przez nas wielkość to analogiczny odpowiednik masy, tyle że w ruchu obrotowym. Masa ciała nie zależy od jego położenia , natomiast moment bezwładności zależy ściśle od wyboru osi obrotu. Zauważyliśmy, że ustawiając bryłę tak by jej krawędzie były jak najbliżej osi obrotu otrzymaliśmy najmniejszą wartość bezwładności. Odwrotnie, gdy krawędzie były w większej odległości . Wiązało się to ze wzrostem bezwładności. Wartość siły wprowadzającej wahadło w drgania wyznaczyliśmy nie bezpośrednio doświadczalnie, lecz na podstawie wyliczeń dla bryły wzorcowej, a następnie użyliśmy jej do obliczeń przy pozostałych bryłach. Było to wygodne ze względu na to , że jest ona sześcianem foremnym, co znacznie ułatwia obliczenia. Wiadomo, że jeżeli ciało ustawione jest w pozycji w której ma największy moment bezwładności, potrzeba większej siły by nadać mu pewną prędkość kątową, przeciwnie niż w przypadku gdy bezwładność ta jest mniejsza.
Użyte przez nas figury możemy odpowiednio sklasyfikować. Bryła wzorcowa nazywana jest bąkiem kulistym, ze względu na to iż niezależnie od wyboru osi obrotu, ma ona taki sam moment bezwładności. Sześcian o podstawie kwadratu to bąk symetryczny, ponieważ przy obrocie wokół dwóch prostopadłych do siebie osi głównych ma również równe momenty bezwładności. Ostatnia badana przez nas figura to bąk niesymetryczny. Jego nazwa wskazuje , że posiada on różne momenty bezwładności wobec swoich wzajemnie prostopadłych osi obrotu . Zależności te doskonale widać na wyrysowanych elipsoidach. Środek układu współrzędnych oznacza środek masy bryły, a promień łączący ten środek z dowolnym punktem płaszczyzny wyznaczonej przez prostopadłe względem siebie elipsy jest miarą bezwładności względem dowolnej osi środkowej, czyli zawierającej środek masy bryły.
Dokładnie przyjrzeliśmy się zjawiskom towarzyszącym ruchowi wahadła torsyjnego. Pod działaniem momentu siły wahadło wprawiane było w ruch z pewną zmienną prędkością kątową. Jej zmniejszanie się podczas zbliżania się do maksymalnego wychylenia spowodowane było przeciwdziałającym momentem krętu o zwrocie przeciwnym do zwrotu momentu siły. Przy maksymalnym wychyleniu moment siły został zrównoważony momentowi krętu i ramię wahadła zmieniło kierunek obrotu. Zjawisko to ma charakter cykliczny więc mogliśmy dokonywać pomiarów po dużej ilości okresów drgań. Niesie to jednak pewne zagrożenie możliwością obarczenia pomiaru błędem, ze względu na to ,że ruch wahadła torsyjnego jest ruchem tłumionym. Oznacza to , że wraz z rosnącą liczbą okresów zmniejsza się amplituda wychylenia. Podczas naszych pomiarów jest to oczywiście pomijane gdyż wpływ na wiarygodność odczytów jest niewielki.
Zauważyliśmy też wpływ prędkości kątowej na wyniki obliczeń. Ma to ścisły związek z energią kinetyczną bryły sztywnej. Jeżeli ciało porusza się ze stałą prędkością kątową dookoła osi to każdy punkt tego ciała ma pewną energię kinetyczną . Energia ta zależy więc od momentu bezwładności oraz prędkości kątowej tłumaczy to rozbieżność wyników dla różnych wartości amplitudy wychylenia.
Do obliczenia błędów użyliśmy metody różniczki zupełnej oraz średniego błędu kwadratowego wartości średniej. Obliczenia ukazały zadowalającą wartość błędów co uwiarygodnia podane przez nas wyniki . Na błąd ten złożyły się pewne niedogodności jak np. ruchy poziome drutu utrzymującego wahadło , a także niedokładność wypoziomowania urządzenia.


![]()

![]()

![]()
![]()
![]()
![]()
![]()
![]()
![]()
![]()
![]()
![]()
![]()
![]()


I
I
Ia
Ia
Ic
Ic
Ib
Ib
Ib
Ib
Ia=Ic
Ia=Ic
x,y,z współrzędne końca odcinka R przy czym :