Wstęp:
Zgodnie z II Zasadą dynamiki ruch drgający wahadła torsyjnego jest opisany równaniem: M = Iε
gdzie: M - wypadkowy moment sił działających na wahadło (sił sprężystych i tarcia)
I - moment bezwładności układu
ε - chwilowe przyspieszenie kątowe układu
Jak wiadomo rozwiązanie tego równania ma postać:
ϕ = ϕ0 e-βt cos(ωt + α0)
Z graficznej interpretacji powyższego wzoru otrzymujemy wyrażenie na amplitudę drgań w chwili t:
ϕn = ϕ0 e-βt
gdzie ϕn - wspomniana wcześniej amplituda
ϕ0 - amplituda w chwili początkowej
β - współczynnik tłumienia
Logarytm naturalny stosunku dwóch kolejnych amplitud ϕn i ϕn+1 następujących po czasie Δt = T ( T - okres drgań) nazywamy dekrementem logarytmicznym λ drgań tłumionych.
Wyliczenie wartości dekrementu logarytmicznego tłumienia λ dla kilku wychyleń wahadła torsyjnego dla wody i cieczy wg. wzoru:
λ= ln eβT= βT
Opracowanie wyników:
Okres drgań:
Dla wody: T = t/n = 5,73 [s] dla oleju: T = 5,72 [s]
Błąd pomiaru okresu wynosi:
Dla wody ΔT = Δt/n = 0,38 dla oleju ΔT = 0,82
Przy czym: T - okres drgań
ΔT - Błąd pomiaru
t - czas trwania pomiaru
Δt - błąd pomiaru czasu równy 0,4s
n - liczba okresów
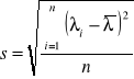
Dekrement logarytmiczny drgań:
Dekrement obliczony został przy pomocy wzoru: ![]()
Dekrement logarytmiczny drgań |
|||
Woda |
Olej |
||
wychylenie w lewo |
wychylenie w prawo |
wychylenie w lewo |
wychylenie w prawo |
0,0512933 |
0,026668 |
0,092373 |
0,125163 |
0,0822381 |
0,027399 |
0,13815 |
0,068993 |
0,0289875 |
0,057158 |
0,076961 |
0,113329 |
0,029853 |
0,060625 |
0,127833 |
0,083382 |
0,0625204 |
0,064539 |
0,09531 |
0,139762 |
0,0666914 |
0,068993 |
0,105361 |
0,105361 |
0,0350913 |
0,036368 |
|
|
0,074108 |
0,03774 |
|
|
0,0392207 |
0,039221 |
|
|
0,040822 |
0,083382 |
|
|
0,0425596 |
0,044452 |
|
|
0,0444518 |
0,04652 |
|
|
0,0953102 |
0,04879 |
|
|
0,0512933 |
0,051293 |
|
|
Wartości średnie dekrementu:
dla wody: dla oleju:
![]()
=0,051 ![]()
=0,105
Błąd pomiaru dekrementu policzony metodą Studenta Fishera. Przy pomocy obliczeń:
![]()
; 
gdzie:
Δλ - Błąd pomiaru dekrementu
![]()
- wartość średnia dekrementu
![]()
- wartość mierzona dekrementu
n - liczba pomiarów
α - poziom istotności α = 0,05
tα - Współczynnik Studenta odczytany z tablic dla r = n-1 stopni swobody.
Otrzymane wartości to:
dla wody: dla oleju:
Δλ = 0,003; s = 0,018 Δλ = 0,009; s = 0,023
Współczynnik tłumienia drgań ( β ):
Wartość tę obliczyliśmy ze wzoru:
![]()
otrzymane wartości to:
dla wody: Dla oleju:
β=0,008 β=0,018
Błąd względny obliczony przy pomocy wzoru: ![]()
wynosi:
dla wody: Dla oleju:
Δβ=0,001 Δβ=0,004
Częstość drgań nietłumionych:
Te wartości otrzymaliśmy ze wzoru:
otrzymane wartości to:
dla wody: Dla oleju:
![]()
= 1,097 ![]()
= 1,099
Błąd bezwzględny wynosi:
dla wody: Dla oleju:
Δ![]()
= 0,500 Δ![]()
= 0, 500
Wnioski:
Wyniki obliczeń:
Woda Olej
λ = 0,051 ± 0,003 λ = 0,105 ± 0,009
β = 0,008 ± 0,001 β = 0,018 ± 0,004
ω0 = 1,097 ± 0,500 ω0 = 1,099 ± 0,500
Przy wykonywaniu pomiarów, po wprowadzeniu w ruch obu wahadeł się zauważyć, iż amplituda wahadła zanurzonego w oleju maleje znacznie szybciej niż w przypadku, gdy zanurzyliśmy je w wodzie. Tę właśnie własność ośrodka, związaną bezpośrednio z jego gęstością, określa wielkość zwana współczynnikiem tłumienia drgań - ma on większą wartość dla oleju.
Również obliczona wartość logarytmicznego drgań prawidłowo scharakteryzowała badaną zależność.