SPRZĘŻENIE ZWROTNE
Podstawy teorii sprzężenia zwrotnego.
ujemne sprzężenie zwrotne,
Jeśli sygnał zwrotny (z wyjścia czwórnika β) odejmuje się do sygnału na wejściu czwórnika k. Przy sprzężeniu równoległym, sygnał na wejściu czwórnika β powinien być w przeciwfazie (180 deg) z sygnałem na wejściu całego układu.
Jeśli sprzężenie jest szeregowe, zwykle jest to w sytuacji gdy sygnał zwrotny podawany jest na emiter tranzystora pierwszego stopnia pracującego w konfiguracji WE, wówczas sygnał zwrotny musi dodawać się do sygnału na emiterze. Większy sygnał na emiterze dla WE powoduje zmniejszenie się sygnału na kolektorze tego tranzystora. Stwierdzenie to dotyczy tranzystora pierwszego stopnia wzmacniacza (objętego pętlą sprzężenia zwrotnego) pracującego w konfiguracji WE.
Ujemne sprzężenie zwrotne kompensuje charakterystykę częstotliwościową. Rozszerza pasmo przenoszenia i zmniejsza wzmocnienie napięciowe, prądowe i mocy. Ponadto, zwykle wpływa stabilizująco na działanie układu.
dodatnie sprzężenie zwrotne,
Odwrotnie niż dla sprzężenia zwrotnego ujemnego. Powoduje, że układ działa niestabilnie i może się wzbudzać. Ten rodzaj sprzężenia wykorzystuje się w generatorach.
Sprzężenie zwrotne napięciowe - szeregowe (N - S),
Blok β opisywany jest macierzą hybrydową [hβ]
Rys. 1. Schemat blokowy idealnego układu ze sprzężeniem N - S.
Dla analizy układów ze sprzężeniem zwrotnym, celowe staje się precyzyjne określenie elementów należących do bloku k i bloku β. Jeśli układ zawiera elementy wspólne dla bloku k i β, można po wykonaniu pewnych przekształceń elementy bloku β przenieść do bloku k.
Sposób przekształcenia czwórnika sprzężenia β do postaci idealnej pokazano poniżej.
Rys. 2. Przekształcenie czwórnika sprzężenia β do postaci idealnej.
Dla sprzężenia N - S, blok β opisywany jest macierzą hybrydową [hβ]. Parametry h wyznacza się w stosunkowo prosty sposób, korzystając z równań hybrydowych opisujących dowolny czwórnik.
![]()
(1)
![]()
Zakładając unilateralność czwórnika β, czyli przepływ sygnału występuje tylko od wyjścia (czwórnika na rys. 2) do jego wejścia, wówczas można przyjąć parametr h21 = 0.
Jeśli blok β jest reprezentowany układem przedstawionym jak na rys. 2, wówczas parametry h są następujące:


![]()
(2)
Po przekształceniu uzyskuje się idealny czwórnik β i odpowiednie rezystory (impedancje) R1 oraz R2 podłączone odpowiednio, szeregowo do wejścia oraz równolegle do wyjścia tego czwórnika. Przedstawiono to na rys. 2. Wartości tych elementów wynoszą:

![]()
(3)
Wzmocnienie napięciowe βu wynosi:

(4)
Ze względu na to, że rezystory R1 i R2 występują już poza czwórnikiem β można je przenieść do bloku k.
Sprzężenie zwrotne napięciowe - równoległe (N - R),
Blok β opisywany jest macierzą admitancyjną [yβ]
Rys.3. Schemat blokowy idealnego układu ze sprzężeniem N - R.
Sposób przekształcenia czwórnika sprzężenia β do postaci idealnej pokazano poniżej.
Rys. 4. Przekształcenie czwórnika sprzężenia β do postaci idealnej.
Dla sprzężenia N - R, blok β opisywany jest macierzą admitancyjną [yβ]. Parametry y wyznacza się podobnie jak parametry h dla sprzężenia N - S, korzystając z równań macierzy admitancji opisujących dowolny czwórnik.
![]()
(5)
![]()
Zakładając unilateralność czwórnika β, czyli przepływ sygnału występuje tylko od wyjścia (czwórnika na rys. 2) do jego wejścia, wówczas można przyjąć parametr y21 = 0.
Jeśli blok β jest reprezentowany układem przedstawionym jak na rys. 4, wówczas parametry y są następujące:
![]()
![]()
![]()
(6)
Podobnie jak dla sprzężenia N - S, po wykonaniu odpowiednich przekształceń uzyskuje się idealny czwórnik β i odpowiednie rezystory (impedancje) R1 oraz R2 podłączone odpowiednio, równolegle do wejścia oraz równolegle do wyjścia tego czwórnika.
Wartości tych elementów wynoszą:
![]()
![]()
(7)
Wzmocnienie βiu wynosi:
![]()
(8)
Ze względu na to, że rezystory R1 i R2 występują już poza czwórnikiem β można je przenieść do bloku k.
Sprzężenie zwrotne prądowo - szeregowe (P - S),
Blok β opisywany jest macierzą impedancji [zβ]
Rys.5. Schemat blokowy idealnego układu ze sprzężeniem P - S.
Czwórnik β zwykle reprezentowany jest strukturą przedstawioną na rys. 6b.
(b)
Rys. 6. Przykładowe struktury czwórników β dla sprzężeń:
prądowo - równoległych,
prądowo - szeregowych.
Dla sprzężenia P - S, blok β opisywany jest macierzą impedancji [zβ]. Parametry tej macierzy wyznacza się podobnie jak powyżej przedstawione parametry h i y. Równania czwórnika opisanego macierzą [z] są następujące:
![]()
(9)
![]()
Parametry z dla czwórnika przedstawionego na rys. 6b wyznacza się następująco:
Niech: Ra = Rf + Rs
Rb = Rf + Re
![]()
![]()
![]()
(10)
Po wykonaniu odpowiednich przekształceń uzyskuje się idealny czwórnik β i odpowiednie rezystory (impedancje) R1 oraz R2 podłączone odpowiednio, szeregowo do wejścia oraz szeregowo do wyjścia tego czwórnika.
Wartości tych elementów wynoszą:
![]()
![]()
(11)
Wzmocnienie βui wynosi:
![]()
(12)
Ze względu na to, że rezystory R1 i R2 występują już poza czwórnikiem β można je przenieść do bloku k.
Sprzężenie zwrotne prądowo - równoległe (P - R),
Blok β opisywany jest macierzą „inverse - hybrid” [gβ].
Rys.7. Schemat blokowy idealnego układu ze sprzężeniem P - R.
Równania czwórnika opisanego macierzą [g] są następujące:
![]()
(13)
![]()
![]()
Czwórnik β zwykle reprezentowany jest strukturą przedstawioną na rys. 6a.
Parametry g dla czwórnika przedstawionego na rys. 6a są następujące:
![]()


(14)
Po wykonaniu odpowiednich przekształceń uzyskuje się idealny czwórnik β i odpowiednie rezystory (impedancje) R1 oraz R2 podłączone odpowiednio, równolegle do wejścia oraz szeregowo do wyjścia tego czwórnika.
Wartości tych elementów wynoszą:
![]()

(15)
Wzmocnienie prądowe βi wynosi:

(16)
Ze względu na to, że rezystory R1 i R2 występują już poza czwórnikiem β można je przenieść do bloku k.
Przykłady realizacji sprzężeń zwrotnych w układach elektronicznych.
Rys. 8. Układ ze sprzężeniem ujemnym, napięciowo - równoległym.
Rys. 9. Układ ze sprzężeniem dodatnim, napięciowo - równoległym.
Rys. 10. Układ ze sprzężeniem dodatnim, prądowo - równoległym.
Rys. 11. Układ ze sprzężeniem dodatnim, prądowo - szeregowym.
Przykład analizy zmiennoprądowej układu ze sprzężeniem ujemnym napięciowo - szeregowym.
Należy wyznaczyć parametry roboczy poniższego wzmacniacza.
Rys. 12. Wzmacniacz dwustopniowy z ujemnym sprzężeniem zwrotnym napięciowo - szeregowym.
Dane:
Wartości elementów zaznaczone na schemacie.
h11e(Q1) = h11e(Q2) = 5 kΩ,
h21e(Q1) = h21e(Q2) = 200,
pozostałe parametry modelu hybryd - π równe w przybliżeniu zero.
Zgodnie z zasadą przedstawioną w pkt. 1.1 czwórnik β składający się z rezystorów RF i RE1 zastępujemy idealnym czwórnikiem macierzy h z rezystorami R1 i R2.
Uwaga: Rezystor RB nie jest objęty pętlą sprzężenia zwrotnego (nie należy ani do bloku k, ani do bloku β).
Schemat blokowy analizowanego układu pokazano poniżej.
Rys. 13. Model wzmacniacza i obwodu sprzężenia zwrotnego.
Do bloku wzmacniacza k włączono rezystancje R1 i R2, przy czym:
![]()
![]()
Wzmocnienie wzmacniacza k (z rozwartą pętlą sprzężenia zwrotnego) wynosi:
![]()
Model wzmacniacza k w zakresie średnich częstotliwości jest następujący:
Rys. 14. Model wzmacniacza k w zakresie średnich częstotliwości.
Przy wykorzystaniu twierdzenia Millera, rezystor R1, który znajdował się na zewnątrz modelu hybryd - π tranzystora Q1, został przeniesiony do wewnątrz tej struktury.
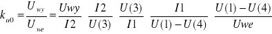
Niech:
Uwy = U(2),
I2 = - gm2 ⋅ Ube2, (prąd źródła)
U(3) = U(rbe2),
I1 = -gm1 ⋅ Ube1, (prąd źródła)
Ube1 = U(1) - U(4),
Uwe = U(1)

(17)
Poszczególne człony w powyższym wzorze można zapisać jako:
![]()
, gdzie : Rl2 = Rc2 | | rce2 | | R2 | | RL Rl2 = 2305 Ω

![]()
gdzie : Rl1 = Rc1 | | rce1 | | rwe2,
Rezystancję wejściową drugiego stopnia można określić jako:
rwe2 = h11e(Q1), stąd: Rl1 = 3.3333 kΩ
![]()

Z równania (17) można również w stosunkowo prosty sposób określić wzmocnienia napięciowe pierwszego jak i drugiego stopnia. Wystarczy zauważyć, że:

[V/V]

[V/V]
![]()
[V/V]
Wzmocnienie napięciowe bloku β wynosi:
![]()
Różnica zwrotna wynosi: ![]()
Wzmocnienie napięciowe po zamknięciu pętli sprzężenia zwrotnego wynosi:
![]()
[V/V]
Dla bloku k:
![]()
Rwyk = Rc2 | | rce2 | | R2 = 4277 Ω
Po zamknięciu pętli sprzężenia zwrotnego rezystancja wejściowa wynosi:
![]()
Po uwzględnieniu rezystancji RB, całkowita rezystancja wejściowa układu wynosi:
Rwec = RB | | Rwef = 296.3 kΩ
Współczynnik wykorzystania obwodu wejściowego wynosi:
![]()
Wzmocnienie napięciowe skuteczne wynosi:
![]()
[V/V]
Po zamknięciu pętli sprzężenia zwrotnego rezystancja wyjściowa wynosi:

, gdzie: ![]()
jest dla przypadku, gdy ![]()

[V/V]
Rezystancja wyjściowa całkowita analizowanego układu wynosi:
![]()
Ω
Uwaga:
Gdyby dany stopień pracował w konfiguracji WC, wówczas wzmocnienie napięciowe wyrażałoby się następująco:
![]()
,
gdzie: rezystancja Rl, podobnie jak dla WE, jest zastępczą rezystancją widzianą na zaciskach źródła prądowego czwórnika hybryd - π.
Rezystancja wyjściowa układu WC wynosi:

Stąd: ![]()
Uwaga:
Przykład analizy układu zawierającego ujemne sprzężenie zwrotne prądowo - równoległe przedstawiony jest w literaturze:
K. Antoszkiewicz, Z. Nosal, Zbiór zadań z układów elektronicznych liniowych, WNT, Warszawa, 1998,
1
12
