|
Wydział Elektroniki Politechniki Wrocławskiej
|
Laboratorium miernictwa elektronicznego
|
||
Wykonał Pirosz Paweł
|
Grupa 2 |
Ćw. nr 3 |
Prowadzący mgr . T. Guszkowski |
|
Pomiar napięć okresowo zmiennych metodą analogowego przetwarzania w przyrządach analogowych i cyfrowych |
Data wykonania 98.10.28 |
Data oddania 98.11.25 |
Ocena
|
|
CEL ĆWICZENIA:
Zwrócenie uwagi na błędy pomiaru wartości skutecznej napięć zniekształconych wynikające z zasady działania woltomierzy napięć zmiennych oraz analiza wartości błędów zależności od parametrów sygnału mierzonego.
WYKAZ PRZYRZĄDÓW :
Generator programowany GP-01
Oscyloskop OS-5020
Multimetr cyfrowy DM-4500
Błąd pomiaru: ± (0,5%Ux + 15dgt) dla Uz = 20V i f = 45Hz - 1kHz
Rozdzielczość: 1mV dla Uz = 20V
Multimetr cyfrowy DM-441B
Błąd pomiaru: ± (1,5%Ux + 20dgt) dla Uz = 20V i f = 1Hz - 10kHz
Rozdzielczość: 1mV dla Uz = 20V
Multimetr cyfrowy V543
Błąd pomiaru: ± (0,05%Ux + 0,05%Uz) dla Uz = 10V i f = 40Hz - 10kHz
Rozdzielczość: 1mV dla Uz = 10V
Multimetr analogowy V640
Błąd pomiaru: ± 1,5%Uz
Woltomierz analogowy elektromagnetyczny LE-3
Klasa 0,5
Pasmo przenoszenia: 15 - 500Hz
PRZEBIEG ĆWICZENIA :
1. Pomiar napięć okresowo zmiennych miernikami analogowymi i cyfrowymi
Do generatora programowalnego podłączono wszystkie mierniki jednocześnie. Na ich wejście podawany był sygnał zmienny o zadanym kształcie.
Wyniki pomiarów:
Przebieg sinusoidalny:
![]()
Miernik |
Uzak [V] |
f [Hz] |
Um [V] |
Zmierzone |
Obliczone |
||||
|
|
|
|
U [V] |
U [V] |
δU [%] |
Usk [V] |
Usk [V] |
δUsk [%] |
V543 |
10 |
50 |
4 |
2,805 |
0,006 |
0,21 |
2,828 |
-0,023 |
-0,81 |
DM-4500 |
20 |
50 |
4 |
2,791 |
0,029 |
1,04 |
2,828 |
-0,037 |
-1,31 |
V640 |
5 |
50 |
4 |
2,750 |
0,075 |
2,73 |
2,828 |
-0,078 |
-2,76 |
LE-3 |
7,5 |
50 |
4 |
2,800 |
0,038 |
1,36 |
2,828 |
-0,028 |
-1,00 |
DM441B |
20 |
50 |
4 |
2,802 |
0,062 |
2,21 |
2,828 |
-0,026 |
-0,92 |
V543 |
10 |
80 |
2 |
1,410 |
0,006 |
0,41 |
1,414 |
-0,004 |
-0,28 |
DM-4500 |
20 |
80 |
2 |
1,397 |
0,022 |
1,57 |
1,414 |
-0,017 |
-1,20 |
V640 |
5 |
80 |
2 |
1,410 |
0,075 |
5,32 |
1,414 |
-0,004 |
-0,28 |
LE-3 |
7,5 |
80 |
2 |
1,380 |
0,038 |
2,75 |
1,414 |
-0,034 |
-2,40 |
DM441B |
20 |
80 |
2 |
1,404 |
0,041 |
2,92 |
1,414 |
-0,010 |
-0,71 |
Wzory:
Błąd bezwzględny wynikający z klasy miernika:
dla V543: U = ± (0,05%U + 0,05%Uzak)
dla DM-4500: U = ± (0,5%U + 15dgt)
dla V640: U = ± 1,5%
dla LE-3: ![]()
dla DM441B: U = ± (1,5%U + 20dgt)
Błąd względny: ![]()
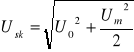
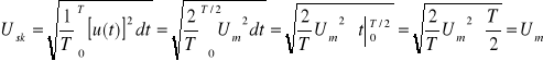
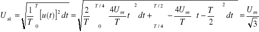
Obliczone napięcie skuteczne: ![]()
Błąd bezwzględny wartości skutecznej napięcia: ![]()
Błąd względny wartości skutecznej napięcia: ![]()
Przykładowe obliczenia:
U = ± (1,5%⋅2,802 + 0,020) = ± 0,062 [V] dla DM441B
δU = 0,062/2,802⋅100% = 2,21%
Usk = 4/1,414 = 2,828 [V]
Usk = 2,802 - 2,828 = - 0,026 [V]
δUsk = -0,026/2,828⋅100% = - 0,92%
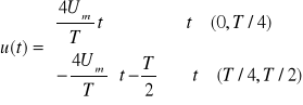
Przebieg sinusoidalny ze składową stałą:
![]()
Miernik |
Uzak [V] |
f [Hz] |
Um [V] |
Uo [ V ] |
Zmierzone |
Obliczone |
||||
|
|
|
|
|
U [V] |
U [V] |
δU [%] |
Usk [V] |
Usk [V] |
δUsk [%] |
V543 |
10 |
50 |
4 |
1 |
2,811 |
0,006 |
0,21 |
3,000 |
-0,189 |
-6,30 |
DM-4500 |
20 |
50 |
4 |
1 |
2,795 |
0,029 |
1,04 |
3,000 |
-0,205 |
-6,83 |
V640 |
5 |
50 |
4 |
1 |
2,750 |
0,075 |
2,73 |
3,000 |
-0,250 |
-8,33 |
LE-3 |
7,5 |
50 |
4 |
1 |
2,950 |
0,038 |
1,27 |
3,000 |
-0,050 |
-1,66 |
DM441B |
20 |
50 |
4 |
1 |
2,801 |
0,062 |
2,21 |
3,000 |
-0,199 |
-6,63 |
V543 |
10 |
80 |
2 |
2 |
1,407 |
0,006 |
0,41 |
2,449 |
-1,042 |
-42,55 |
DM-4500 |
20 |
80 |
2 |
2 |
2,425 |
0,027 |
1,18 |
2,449 |
-0,024 |
-0,98 |
V640 |
5 |
80 |
2 |
2 |
1,410 |
0,075 |
5,32 |
2,449 |
-1,039 |
-42,43 |
LE-3 |
7,5 |
80 |
2 |
2 |
2,400 |
0,038 |
1,58 |
2,449 |
-0,049 |
-2,00 |
DM441B |
20 |
80 |
2 |
2 |
1,400 |
0,021 |
1,50 |
2,449 |
-1,049 |
-42,83 |
Wzory:
Błąd bezwzględny wynikający z klasy miernika:
dla V543: U = ± (0,05%U + 0,05%Uzak)
dla DM-4500: U = ± (0,5%U + 15dgt)
dla V640: U = ± 1,5%
dla LE-3: ![]()
dla DM441B: U = ± (1,5%U + 20dgt)
Błąd względny: ![]()
Obliczone napięcie skuteczne: 
Błąd bezwzględny wartości skutecznej napięcia: ![]()
Błąd względny wartości skutecznej napięcia: ![]()
Przykładowe obliczenia:
U = ± (0,05%⋅2,811 + 0,05%⋅10) = ± 0,006 [V] dla V543
δU = 0,006/2,811⋅100% = 0,21%
![]()
[V]
Usk = 2,811 - 3,000 = - 0189 [V]
δUsk = -0,189/3⋅100% = - 6,30%
Dla przebiegu sinusoidalnego ze składową stałą można wyliczyć błąd metody spowodowany kształtem krzywej:
![]()
gdzie ks - współczynnik kształtu sinusoidy ![]()
, kx - współczynnik kształtu przebiegu sinusoidalnego ze składową stała.
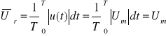
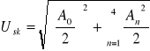
Współczynnik kształtu definiowany jest jako stosunek wartości skutecznej napięcia do jego wartości średniej po wyprostowaniu:
![]()
,
gdzie: 
, 
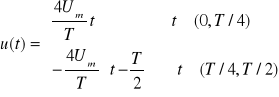
Aby wyznaczyć współczynnik kształtu dla przebiegu sinusoidalnego ze składową stałą, obliczymy najpierw wartość średnią napięcia po wyprostowaniu dla znanych parametrów przebiegu (ze względu na skomplikowane obliczenia korzystam z programu Mathcad):

Zatem współczynnik kształtu prostokąta wynosi:
![]()
Błąd metody spowodowany kształtem krzywej wynosi:
![]()
Taki sam błąd metody otrzymalibyśmy dla wyników z drugiego pomiaru.
Przebieg prostokątny:

Miernik |
Uzak [V] |
f [Hz] |
Um [V] |
Zmierzone |
Obliczone |
||||
|
|
|
|
U [V] |
U [V] |
δU [%] |
Usk [V] |
Usk [V] |
δUsk [%] |
V543 |
10 |
50 |
4 |
3,856 |
0,007 |
0,18 |
4,000 |
-0,144 |
-3,60 |
DM-4500 |
20 |
50 |
4 |
3,975 |
0,035 |
0,88 |
4,000 |
-0,025 |
-0,63 |
V640 |
5 |
50 |
4 |
4,300 |
0,075 |
1,74 |
4,000 |
0,300 |
7,50 |
LE-3 |
7,5 |
50 |
4 |
3,950 |
0,038 |
0,95 |
4,000 |
-0,050 |
-1,25 |
DM441B |
20 |
50 |
4 |
3,974 |
0,075 |
1,88 |
4,000 |
-0,026 |
-0,07 |
V543 |
10 |
80 |
2 |
1,931 |
0,006 |
0,31 |
2,000 |
-0,069 |
-3,45 |
DM-4500 |
20 |
80 |
2 |
1,978 |
0,025 |
1,26 |
2,000 |
-0,022 |
-1,10 |
V640 |
5 |
80 |
2 |
2,190 |
0,075 |
3,42 |
2,000 |
0,190 |
9,50 |
LE-3 |
7,5 |
80 |
2 |
1,950 |
0,038 |
1,95 |
2,000 |
-0,050 |
-2,50 |
DM441B |
20 |
80 |
2 |
1,989 |
0,050 |
2,50 |
2,000 |
-0,011 |
-0,55 |
Wzory:
Błąd bezwzględny wynikający z klasy miernika:
dla V543: U = ± (0,05%U + 0,05%Uzak)
dla DM-4500: U = ± (0,5%U + 15dgt)
dla V640: U = ± 1,5%
dla LE-3: ![]()
dla DM441B: U = ± (1,5%U + 20dgt)
Błąd względny: ![]()
Dla przebiegu prostokątnego mamy: 
. Zatem:

Obliczone napięcie skuteczne: Usk = Um
Błąd bezwzględny wartości skutecznej napięcia: ![]()
Błąd względny wartości skutecznej napięcia: ![]()
Przykładowe obliczenia:
U = ± (0,5%⋅3,975 + 0,015) = ± 0,035 [V] dla DM4500
δU = 0,035/3,975⋅100% = 0,88%
Usk = 4 [V]
Usk = 3,975 - 4,000 = - 0,025 [V]
δUsk = -0,025/4 = - 0,63%
Dla przebiegu prostokątnego można wyliczyć błąd metody spowodowany kształtem krzywej:
![]()
gdzie ks - współczynnik kształtu sinusoidy ![]()
, kx - współczynnik kształtu przebiegu prostokątnego.
Aby wyznaczyć współczynnik kształtu dla przebiegu prostokątnego, obliczymy najpierw wartość średnią napięcia po wyprostowaniu:

Zatem współczynnik kształtu prostokąta wynosi:
![]()
Błąd metody spowodowany kształtem krzywej wynosi:
![]()
Przebieg trójkątny:
do obliczeń wystarczy przyjąć, że: 
Miernik |
Uzak [V] |
f [Hz] |
Um [V] |
Zmierzone |
Obliczone |
||||
|
|
|
|
U [V] |
U [V] |
δU [%] |
Usk [V] |
Usk [V] |
δUsk [%] |
V543 |
10 |
50 |
4 |
2,286 |
0,006 |
0,27 |
2,309 |
-0,023 |
-1,00 |
DM-4500 |
20 |
50 |
4 |
2,282 |
0,026 |
1,16 |
2,309 |
-0,027 |
-1,17 |
V640 |
5 |
50 |
4 |
2,200 |
0,075 |
3,41 |
2,309 |
-0,109 |
-4,72 |
LE-3 |
7,5 |
50 |
4 |
2,300 |
0,038 |
1,65 |
2,309 |
-0,009 |
-0,39 |
DM441B |
20 |
50 |
4 |
2,291 |
0,054 |
2,37 |
2,309 |
-0,018 |
-0,72 |
V543 |
10 |
80 |
2 |
1,101 |
0,006 |
0,05 |
1,154 |
-0,053 |
-4,59 |
DM-4500 |
20 |
80 |
2 |
1,100 |
0,021 |
1,84 |
1,154 |
-0,054 |
-4,68 |
V640 |
5 |
80 |
2 |
1,080 |
0,075 |
6,94 |
1,154 |
-0,074 |
-6,41 |
LE-3 |
7,5 |
80 |
2 |
1,080 |
0,038 |
3,52 |
1,154 |
-0,074 |
-6,41 |
DM441B |
20 |
80 |
2 |
1,100 |
0,037 |
3,32 |
1,154 |
-0,054 |
-4,68 |
Wzory:
Błąd bezwzględny wynikający z klasy miernika:
dla V543: U = ± (0,05%U + 0,05%Uzak)
dla DM-4500: U = ± (0,5%U + 15dgt)
dla V640: U = ± 1,5%
dla LE-3: ![]()
dla DM441B: U = ± (1,5%U + 20dgt)
Błąd względny: ![]()
Dla przebiegu trójkątnego mamy: 
. Zatem:

Obliczone napięcie skuteczne: ![]()
Błąd bezwzględny wartości skutecznej napięcia: ![]()
Błąd względny wartości skutecznej napięcia: ![]()
Przykładowe obliczenia:
U = 1,5%⋅5 = 0,075 [V] dla V640
δU = 0,075/2,2⋅100% = 3,41%
Usk = 4/1,732 = 2,309 [V]
Usk = 2,200 - 2,309 = - 0,109 [V]
δUsk = -0,109/2,309 = - 4,72%
Aby wyznaczyć współczynnik kształtu dla przebiegu trójkątnego, obliczymy najpierw wartość średnią napięcia po wyprostowaniu:

Zatem współczynnik kształtu trójkąta wynosi:
![]()
Błąd metody spowodowany kształtem krzywej wynosi:
![]()
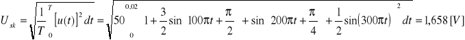
2. Pomiar napięć zniekształconych - suma przebiegów sinusoidalnych o różnych amplitudach i różnych fazach
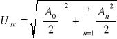
Napięcie na wejściu miernika było określone zależnością (szereg Fourier'a):
![]()
Wyniki pomiarów:
a) n = 3, f = 50Hz, A0 = 0
A1 = 1,5V ϕ1 = 90°
A2 = 1,0V ϕ2 = 45°
A3 = 0,5V ϕ3 = 0°
Zatem:
![]()
Miernik |
Zmierzone |
Obliczone |
||||
|
U [V] |
U [V] |
δU [%] |
Usk [V] |
Usk [V] |
δUsk [%] |
V543 |
1,327 |
0,006 |
4,52 |
1,323 |
0,004 |
0,30 |
DM-4500 |
1,315 |
0,022 |
1,67 |
1,323 |
-0,008 |
-0,60 |
V640 |
1,220 |
0,075 |
6,15 |
1,323 |
-0,103 |
-7,79 |
LE-3 |
1,280 |
0,038 |
2,97 |
1,323 |
-0,043 |
-3,25 |
DM441B |
1,311 |
0,040 |
3,03 |
1,323 |
-0,012 |
-0,91 |


lub 

Zatem współczynnik kształtu dla tego przebiegu wynosi:
![]()
Błąd metody spowodowany kształtem krzywej wynosi:
![]()
b) n = 3, f = 50Hz, A0 = 2
A1 = 1,5V ϕ1 = 90°
A2 = 1,0V ϕ2 = 45°
A3 = 0,5V ϕ3 = 0°
Zatem:
![]()
Miernik |
Zmierzone |
Obliczone |
||||
|
U [V] |
U [V] |
δU [%] |
Usk [V] |
Usk [V] |
δUsk [%] |
V543 |
1,325 |
0,006 |
0,45 |
1,658 |
-0,423 |
-25,51 |
DM-4500 |
1,650 |
0,023 |
1,41 |
1,658 |
-0,008 |
-0,48 |
V640 |
1,220 |
0,075 |
6,15 |
1,658 |
-0,438 |
-26,42 |
LE-3 |
1,600 |
0,038 |
2,38 |
1,658 |
-0,058 |
-3,95 |
DM441B |
1,304 |
0,040 |
3,03 |
1,658 |
-0,354 |
-21,35 |


lub 

Zatem współczynnik kształtu dla tego przebiegu wynosi:
![]()
Błąd metody spowodowany kształtem krzywej wynosi:
![]()
c) n = 4, f = 50Hz, A0 = 0
A1 = 1,5V ϕ1 = 90°
A2 = 1,2V ϕ2 = 60°
A3 = 1,1V ϕ3 = 45°
A4 = 1,0V ϕ4 = 30°
Zatem:
![]()
Miernik |
Zmierzone |
Obliczone |
||||
|
U [V] |
U [V] |
δU [%] |
Usk [V] |
Usk [V] |
δUsk [%] |
V543 |
1,624 |
0,006 |
0,37 |
1,717 |
-0,093 |
-5,42 |
DM-4500 |
1,695 |
0,023 |
1,38 |
1,717 |
-0,022 |
-1,28 |
V640 |
1,450 |
0,075 |
5,17 |
1,717 |
-0,267 |
-15,55 |
LE-3 |
1,680 |
0,038 |
2,26 |
1,717 |
-0,037 |
-2,15 |
DM441B |
1,304 |
0,040 |
3,03 |
1,717 |
-0,413 |
-24,05 |


lub 

Zatem współczynnik kształtu dla tego przebiegu wynosi:
![]()
Błąd metody spowodowany kształtem krzywej wynosi:
![]()
WNIOSKI I UWAGI:
W pkt. 1 ćwiczenia badaliśmy wpływ kształtu sygnału (sinusoidalny, sinusoidalny ze składową stałą, prostokątny i trójkątny) o częstotliwości 50Hz i 80kHz na wskazanie woltomierza. Z pomiarów widać, że przy stałej amplitudzie i pulsacji wszystkich kształtów największą wartość skuteczną napięcia mierniki wskazują dla sygnału prostokątnego, a najmniejszą dla napięcia trójkątnego. Dla przebiegu prostokątnego każdy miernik powinien wskazywać amplitudę napięcia, ponieważ zarówno wartość skuteczna jak i średnia po wyprostowaniu są jej równe. Pomiary są obarczone błędami wynikającymi z klasy mierników oraz błędami zależnymi od kształtu napięcia. Dla napięcia sinusoidalnego ze składową stałą, prostokątnego i trójkątnego można policzyć błąd metody (błąd od kształtu krzywej) znając współczynnik kształtu danego przebiegu oraz współczynnik kształtu sinusoidy. Błąd ten wynosi, co do wartości bezwzględnej, 2,7% dla sinusoidy nałożonej na napięcie stałe, 11,1% dla prostokąta, 3,8% dla trójkąta. Poprawną wartość napięcia uzyskamy dodając do zmierzonej wartości napięcia błąd metody z przeciwnym znakiem (poprawkę). Błędu od kształtu krzywej pozbawione są mierniki elektromagnetyczne reagujące wprost na wartość skuteczną. W naszym przypadku dotyczy to woltomierza LE-3, zaś błędy podane w tabeli jako δUsk można potraktować jako porównanie, o ile różni się wartość wskazana przez miernik od wartości rzeczywistej. Poza tym widać, że wartość rzeczywista zawiera się w przedziale błędu wynikającym z klasy tego miernika.
W pkt. 2 ćwiczenia obserwowaliśmy wskazania woltomierzy dla sygnałów zniekształconych będących sumą przebiegów sinusoidalnych o różnych amplitudach i różnych fazach. Na podstawie znajomości postaci funkcji sygnału (szereg Fouriera) określaliśmy błędy pomiaru podobnie jak w punkcie pierwszym. Ze względu na skomplikowane obliczenia, wartości skuteczne i średnie po wyprostowaniu wyznaczono za pomocą programu Mathcad dla konkretnych wartości liczbowych. Szacunkowo można stwierdzić, że błąd od kształtu krzywej jest większy dla większej ilości harmonicznych.
- 2 -