TECHNKUM NR 2 W WYSZKOWIE |
||
Temat ćwiczenia |
Ocena
|
|
Imię i nazwisko |
Klasa |
Data wykonania ćwiczenia |
Nr grupy
2 |
Skład grupy
Łukasz Mróz, Mariusz Nowakowski, Mateusz Owsiany, Pamrowski Grzegorz, Rosiński Rafał. |
|
1) Pomiary mocy watomierzem.
I) Urządzenia używane podczas wykonywania ćwiczenia:
-autotransformator laboratoryjny AL-2500;
- multimetr cyfrowy (YF 3509) - użyty jako amperomierz;
-multimetr cyfrowy (YF 3509) - użyty jako woltomierz;
-rezystor potencjometryczny;
-przewody łączeniowe
II) Schemat układu połączeń.
III) Wyniki pomiarów.
Odbiornik rezystor |
U = 10 V |
U =35 V |
U = 56 V |
U = 73 V |
U = 83,5 V |
||||||||||
|
Cw |
α |
P |
Cw |
α |
P |
Cw |
α |
P |
Cw |
α |
P |
Cw |
α |
P |
|
W/dz |
dz |
W |
W/dz |
dz |
W |
W/dz |
dz |
W |
W/dz |
dz |
W |
W/dz |
dz |
W |
|
1 |
1 |
1 |
1 |
6 |
6 |
1 |
13,5 |
13,5 |
1 |
22,5 |
22,5 |
1 |
29,5 |
29,5 |
Cw-stała watomierza
α - wychylenie watomierza
P= Cw * α = 1W/dz*29,5dz= 29,5W
2) Pomiary mocy trzema woltomierzami.
I) Urządzenia używane podczas wykonywania ćwiczenia:
- autotransformator laboratoryjny AL.-2500
- multimetr cyfrowy (YF 3509) - użyty jako woltomierz;
-multimetr cyfrowy (UT 51 MULTIMETER) - użyty jako woltomierz;
-multimetr cyfrowy (YF UNI-T M890F) - użyty jako woltomierz;
-rezystor dekadowy (TYP DR4a-16)
-przewody łączeniowe
II) Schemat układu połączeń.
III) Wyniki pomiarów.
Uzas |
V |
11 |
20 |
32 |
URw |
V |
0,89 |
1,65 |
2,62 |
Uobc |
V |
10,1 |
18,6 |
29,2 |
cosφ |
- |
1,00 |
0,84 |
1,08 |
φ |
( ˚ ) |
0 |
32 |
- |
P |
W |
0,1 |
0,29 |
0,91 |
Rw = 90 Ω
IV)Obliczenia:
Uzas, URw, Uobc - wartości odczytywane z przyrządów.
1)
cosφ = ![]()
P = ![]()
2)
Cosφ ![]()
P ![]()
W
3)
cosφ ![]()
P ![]()
3) Pomiary mocy trzema amperomierzami.
I) Urządzenia używane podczas wykonywania ćwiczenia:
- autotransformator laboratoryjny AL.-2500
- 3 multimetry cyfrowe (YF 3509) - użyte jako amperomierze;
-rezystor potencjometryczny
-przewody łączeniowe
II) Schemat układu połączeń.
III) Wyniki pomiarów.
Rw = 90Ω |
||||
I |
A |
0,5 |
1 |
0,7 |
IRw |
A |
0,28 |
0,55 |
0,39 |
Iobc |
A |
0,23 |
0,47 |
0,33 |
cosφ |
- |
0,92 |
0,92 |
0,88 |
φ |
( ˚ ) |
22 |
22 |
28 |
P |
W |
0,94 |
0,24 |
0,11 |
IV) Obliczenia.
I, IRw, Iobc - wartości odczytane bezpośrednia z przyrządów
cosφ ![]()
P ![]()
W
2)
cosφ ![]()
P ![]()
W
3)
cosφ ![]()
P ![]()
4) Pomiary mocy czynnej, biernej i pozornej.
I) Urządzenia używane podczas wykonywania ćwiczenia:
- autotransformator laboratoryjny AL.-2500
- multimetr cyfrowy (YF 3509) - użyty jako woltomierz;
- multimetr cyfrowy (YF 3509) - użyty jako amperomierz;
-opornik suwakowy typ OD5;
-watomierz
-przewody łączeniowe
II) Schemat układu połączeń.
III) Wyniki pomiarów.
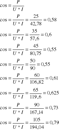
Rodzaj odbiornika |
U |
I |
P |
S |
Q |
cosφ |
|||
Opornik suwakowy Typ OD5
|
dz |
V |
dz |
A |
dz |
W |
VA |
Var |
- |
|
- |
62 |
- |
0,69 |
5 |
25 |
42,78 |
28,23 |
0,58 |
|
- |
72 |
- |
0,8 |
7 |
35 |
57,6 |
46,08 |
0,6 |
|
- |
85 |
- |
0,95 |
9 |
45 |
80,75 |
67,02 |
0,55 |
|
- |
90 |
- |
1 |
10 |
50 |
90 |
74,7 |
0,55 |
|
- |
98 |
- |
1,09 |
12 |
60 |
106,82 |
83,61 |
0,61 |
|
- |
104 |
- |
1,15 |
13 |
65 |
119,6 |
94,48 |
0,625 |
|
- |
122 |
- |
1,37 |
18 |
90 |
167,14 |
115,33 |
0,73 |
|
- |
132 |
- |
1,47 |
21 |
105 |
194,04 |
116,42 |
0,79 |
|
|
||||||||
IV) Obliczenia.
a) S = U*I [VA]
S = 62V * 0,69 = 42,78 VA
S = 72V * 0,8 = 57,6 VA
S = 85V * 0,95 = 80,75 VA
S = 90V * 10 = 90 VA
S = 98V * 1,08 = 106,82 VA
S = 104V * 1,15 = 119,6 VA
S = 122V * 1,37 = 167,14 VA
S = 132V * 1,47 = 194,04 VA
b)

c)

d) Q = U* I * sinφ

V) Charakterystyki.
a)
b)
c)
Wnioski.
Dla obwodów prądu przemiennego należy rozpatrzyć trzy rodzaje mocy: moc czynną P, moc bierną Q i moc pozorną. Moce te są określane następującymi wzorami:
P=U*I
Q=U*I*cosφ
S=U*I*sinφ
W których:
U-wartość skuteczna napięcia;
I- wartość prądu
Φ-kąt przesunięcia fazowego (między wektorami U i I)
W watomierzu można nastawić zakres napięciowy i prądowy niezależnie od siebie. Zakres pomiarów watomierza jest równy iloczynowi tych zakresów. Stała watomierza oblicza sięnastępująco:
![]()
W obwodach prądu przemiennego do pomiaru mocy czynnej stosuje się niekiedy metodę trzech amperomierzy lub metodę trzech woltomierzy. Przy pomiarach małej mocy, gdy zakres prądowy watomierza jest zbyt duży, korzystne jest zastosowanie metody trzech woltomierzy. Na podstawie wykresu wektorowego tego układu można, stosując twierdzenie cosinusów napisać:

Moc czynna:
Moc czynna P w układach prądu przemiennego jest to część mocy, którą odbiornik pobiera ze źródła i zamienia na pracę lub ciepło.
Moc bierna:
Moc bierna w obwodach prądu zmiennego jest wielkością konwencjonalną i w sposób umowny opisująca zjawisko pulsowania energii elektrycznej między elementem indukcyjnym lub pojemnościowym odbiornika, a źródłem energii elektrycznej lub między różnymi odbiornikami. Ta oscylująca energia nie jest zamieniana na użyteczną pracę, niemniej jest ona konieczna do funkcjonowania urządzeń elektrycznych (np. transformatorów silnikowych). Nieużyteczna energia jest pobierana ze źródła w części okresu przebiegu zmiennego, magazynowana przez odbiornik (w postaci energii pola el. lub magnetycznego) i oddawana do źródła w innej części okresu, kiedy pole elektryczne lub magnetyczne w odbiorniku zanika.
Moc pozorna:
Moc pozorna jest wielkością fizyczną, która jest określana dla obwodów prądu przemiennego. Wyraża się ją jako iloczyn wartości skutecznych napięcia i natężenia prądu. Moc pozorna jest geometryczną sumą mocy czynnej i biernej prądu elektrycznego pobieranego przez odbiornik:
![]()
Moc pozorna podawana jest jako moc znamionowa generatorów, transformatorów i innych urząd wytwarzających i przetwarzających energię elektryczną prądu przemiennego. W elektroenergetyce najczęściej operuje się jednostką (MVA)(megawoltoamper) równą ![]()
VA.