Wyznaczanie wspóczynnika zaamania wiata refraktometrem Abbego
I Tabela pomiarów :
Stenie roztworu c% |
Wspóczynnik zaamania n |
Wspóczynnik zaamania n |
H2O |
1.337 |
1.340 |
10% |
1.347 |
1.347 |
20% |
1.358 |
1.358 |
30% |
1.367 |
1.367 |
40% |
1.380 |
1.380 |
50% |
1.391 |
1.390 |
60% |
1.404 |
1.403 |
70% |
1.418 |
1.417 |
80% |
1.429 |
1.429 |
x |
1.364 |
1.365 |
y |
1.455 |
1.455 |
II Opis wiczenia:
W wiczeniu korzystalimy z refraktometru Abbego, czyli przyrzdu sucego do wyznaczania wspóczynnika zaamania wiata w danej cieczy.Dziaanie refraktometru oparte jest na wykorzystaniu zjawiska cakowitego wewntrznego odbicia.
wiczenie polegao na odczytaniu wspóczynników zaamania wiata dla roztworów o znanych steniach, a nastpnie na okreleniu stenia dwóch nieznanych roztworów x i y.
Dla wszystkich tych roztworów wykonalimy po dwa odczyty (dwie serie odczytów) aby oszacowa bd pomiaru.
II Obliczenia :
W wiczeniu naley wyznaczy stenie dwóch roztworów o znanych wspóczynnikach zaamania wiata na podstawie znanych i odczytanych wartoci ste i wspóczynników zaamania dziewiciu roztworów gliceryny.
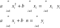
Do oblicze wykorzystam metod najmniejszych kwadratów, co daje mi nastpujcy ukad równa :

gdzie n to liczba pomiarów = 9. Do rozwizania tego ukadu wykorzystam wartoci x i y
wg tabelki:
x |
0 |
10 |
20 |
30 |
40 |
50 |
60 |
70 |
80 |
y |
1.337 |
1.347 |
1.358 |
1.367 |
1.380 |
1.391 |
1.404 |
1.418 |
1.429 |
xiyi |
0 |
13.47 |
27.17 |
41.01 |
55.2 |
69.55 |
84.24 |
99.26 |
114.32 |
Po podstawieniu i obliczeniu sum otrzymujemy :
![]()
Z równania drugiego obliczam b i podstawiam do równania pierwszego :

Po rozwizaniu ukadu równa otrzymuj ostatecznie warto a i b :
![]()
Czyli wykresem ilustrujcym wykonane wiczenie bdzie wykres funkcji :
y = 0.0012 x + 1.333
Tak wic wartoci wspóczynników dla poszczególnych ste przyjm wartoci:
x [%] |
0 |
10 |
20 |
30 |
40 |
50 |
60 |
70 |
80 |
90 |
100 |
y |
1.333 |
1.345 |
1.357 |
1.369 |
1.381 |
1.393 |
1.405 |
1.417 |
1.429 |
1.441 |
1.453 |
Z wykresu tej funkcji moemy odczyta warto stenia roztworów nieznanych,
dla x : c = 26 ± 5 %
dla y : c = 100 ± 5 %
IV Obliczenie i dyskusja bdów :
Bd stenia roztworu c = 5%
Dokadno pomiaru = 1 dziaka = 0.001 jednostki
Bd pomiaru n = 0.003 jednostki
Na warto pomiaru wpyny ewentualne niedokadnoci przy kadorazowym czyszczeniu przyrzdu po odczytaniu wartoci wspóczynnika zaamania badanego roztworu, bd ste roztworów przyjmowanych przez nas za wzorcowe, oraz mieszanie si roztworów o rónych steniach przy ich nakadaniu, co uwidocznio si podczas pierwszego pomiaru drugiej serii dla wody destylowanej, dla której odczytana warto wspóczynnika zaamania wiata bya o 3 jednostki wiksza od wartoci z pierwszego odczytu dla wody przy dokadnoci pomiaru 1 jednostka.
V Wnioski :
Celem wiczenia byo wyznaczenie stenia dwóch roztworów o odczytanych wartociach wspóczynnika zaamania wiata. Podstaw do wyznaczenia tych ste stanowiy pomiary wspóczynnika zaamania dla roztworów o znanych steniach, z których po przeksztaceniu ich w wykres odczytaem wartoci ste szukanych.
Wykres sporzdziem metod najmniejszych kwadratów, która pozwolia mi wyznaczy równanie prostej opisujcej zaleno wspóczynnika zaamania wiata od stenia roztworu dla badanych roztworów gliceryny.
Przyjty bd ste wynosi ± 5% , natomiast bd wspóczynnika zaamania wiata 3 jednostki - na podstawie rónicy wartoci odczytanych i obliczonych z równania opisujcego badan zaleno.