Sprawozdanie z ćwiczeń laboratoryjnych z przedmiotu PKIEM |
||
Mariusz Bryła |
Temat Ćwiczenia:
Połączenia klinowe, wpustowe i wielowypustowe. |
Data: 22.03.2005 |
Rok II ETI Grupa L1
|
|
Ocena: |
Podstawy teoretyczne
1. Połączenia klinowe należą do połączeń pośrednich rozłącznych, w którym łącznikiem jest klin. Powierzchnie robocze klina mogą być płaskie lub walcowe. Rozróżnia się kliny jednostronne lub dwustronne symetryczne i niesymetryczne. Połączenia klinowe dzieli się na poprzeczne oraz wzdłużne. Aby klin nie wypadł podczas pracy musi być spełniony warunek samohamowności. Dla uniknięcia luzowania stosuje się w połączenia klinowe poprzeczne z napięciem wstępnym. Połączenia klinowe poprzeczne wykazują dużo wad, wśród których należy podkreślić: Znaczne osłabienie części łączonych, nierównomierny rozkład naprężeń, niekorzystny montaż z powodu stosowania dużych sił przy wbijaniu klina. Do zalet zalicza się w zasadzie tylko łatwość demontażu. Połączenia klinowe wzdłużne są stosowane do łączenia wałów z osadzonymi na nich częściami. Moment obrotowy jest przenoszony z wału na oszydzoną na nim część wskutek występowania momentu tarcia, niezależnie od rodzaju klina. Kliny wklęsłe i płaskie są stosowane obecnie rzadko, ponieważ mogą przenosić tylko nieznaczne obciążenia w maszynach wolnobieżnych. Częściej stosuje się kliny wpuszczane. Kliny nastawcze służą do ustalenia położenia części maszynowych.
2. Połączenia wpustowe służą do osadzenia na wale różnych części maszyn (kół zębatych, pasowych). Na wale i w otworze części osadzonej są wykonane odpowiednie rowki, w które jest wprowadzony wpust.
Rodzaje wpustów:
pryzmatyczne - mogą być zaokrąglone lub ścięte, w tym: pełne jedno- lub dwuotworowe oraz wyciskowe. Najczęściej stosuje się wpusty pełne, przy czym wpusty zaokrąglone stosuje się przeważnie przy nie przelotnych rowkach w wale, natomiast wpusty ścięte przy rowkach przelotowych. Wpusty jedno- i dwuotworowe są przykręcane do wału.
czółenkowe - stosuje się gdy średnica czopa wału d≤58 mm .Są one łatwe do wykonania ( cięte z krążków) i montażu ze względu jednak na dość znaczne osłabienie wału są stosowane głównie do połączeń obciążonych niewielkimi momentami skręcającymi.
czopkowe - są stosowane w połączeniach ruchowych zamiast długich wpustów pryzmatycznych dwuotworowych. w praktyce spotyka się je dość rzadko.
Podczas pracy połączeń wpustowych występują naciski na boczne powierzchnie wpustów, dlatego dla uniknięcia niepożądanych luzów osadza się je ciasno, stosując pasowanie N9/h9 lub P9/h9. W połączeniach ruchowych należy zapewnić swobodne przesuwanie kół wzdłuż wału, dlatego pasowanie ciasne stosuje się tylko do osadzenia wpustu w czopie wału, natomiast rowek w piaście koła wykonuje się w tolerancji D10, otrzymując pasowanie luźne D10/h9. Dla ułatwienia montażu połączeń wpustowych suma wysokości obu rowków powinna być większa od wysokości wpustu o 0,2÷0,4 mm
3.Połączenia wielowypustowe są to połączenia bezpośrednie, na czopie wału są wykonane występy, współpracujące z odpowiednimi rowkami w piaście. Podstawowe rodzaje znormalizowanych połączeń wielowypustowych: ogólnego przeznaczenia(lekkie, średnie, do obrabiarek, zębate, wielokartowe). Połączenia wielowypustowe umożliwiają uzyskanie dokładnego osiowania, zmniejszenie nacisków jednostkowych ( lub stosowanie większych obciążeń ) w porównaniu z połączeniami wpustowymi oraz zmniejszenie oporów tarcia przy przesuwaniu elementów w połączeniach ruchowych.
Połączenia o wypustach prostokątnych. W ogólnej budowie maszyn są stosowane połączenia wielowypustowe równolegle. W zależności od rodzaju połączenia (spoczynkowe lub ruchowe) i wartości obciążenia stosuje się połączenia serii lekkiej lub średniej. W obu seriach liczba wypustów wynosi 6, 8 lub 10, zależnie od wewnętrznej średnicy. Przy bardzo ciężkich obciążeniach o zmiennym kierunku i dużej częstotliwości zmian jest stosowana seria ciężka o 10, 16 lub 20 wpustach. W obrabiarkach stosuje się połączenia wielowypustowe równoległe, w których liczba wypustów wynosi 4 lub 6.
Połączenia zębate. Połączenia zębate ewolwentowe są coraz częściej stosowane, zwłaszcza w produkcji seryjnej. Cechują się one znacznie większą wytrzymałością od połączeń wypustowych prostokątnych.
Połączenia wielokartowe mają kilkadziesiąt drobnych wypustów trójkątnych, zatem tylko nie znacznie osłabiają wytrzymałość czopa. Połączenia te umożliwiają regulację położenia piasty względem czopa wału o mały kąt.
Przebieg ćwiczenia
charakterystyka klinów
Klin dwuotworowy (Rys.1) F 12x8x50 PN-70/M 85005
Wałek; od 38 do 44mm
Rowek t1=4,5mm t2=2,6mm r2=max 0,6mm min 0,25mm
Klin wpuszczany (Rys.3) B 10x8x50 PN-73/M-85031
Wałek; od 30 do 38mm
Rowek t1-5,0mm t2=2,4mm r2 - max 0,4mm min 0,25mm
Klin wpuszczany (Rys.4) A 10x8x50 PN-73/M-86031
Wałek; od 30 do 38mm
Rowek t1-5,0mm t2=2,4mm r2 - max 0,4mm min 0,25mm
Klin styczny (Rys.6) Z 14x12x50 PN-73/M-85007
Wałek; od 100mm do 120mm
Rowek t1-12,4mm r2 - max 10,00mm min 0,70mm
Klin noskowy (Rys.7) N 12x6x40 PN-73/M - 85034
Wałek; od 38mm do 44mm
Rowek: t1= 1,8 t2= 3,7 r2- max0,25mm min 0,4mm
charakterystyka wpustów
Wpust pryzmatyczny ścięty pełny (Rys.2) 12x8x50 PN-70/M-85005
Wałek; od 38mm do 44mm
Rowek na wpust b=12mm
Wpust czółenkowy (Rys.5) 8x14x32 PN-73/M-85008
Wałek; szereg 1 od 22mm do 30mm; szereg 2 od 38mm do 44mm
Rowek na wpust b=8mm
Wpust ścięty jednootworowy (Rys.8) 8x7x50 PN-70/M85003
Wałek; od 38mm do 44mm
Rowek na wpust b=12mm
Zadanie 1:
Obliczyć wpustowe połączenia spoczynkowe wału napędowego z wpustem pryzmatycznym (sprawdzić czy do czopa wału o średnicy d=28mm został prawidłowy dobrany wpust). Przenoszony moment obrotowy M=0,1kN∙m. Wartość k0 przyjąć dla piasty stalowej. Wykonać rysunek połączenia.
Rozwiązanie:
Dane:
l=30mm, h=6mm, n=1, b=8mm, d=28mm, M=0,1kN∙m.
![]()
![]()
z=0.6 - dobrane z tabeli opisującej dopuszczalne naciski powierzchniowe w połączeniach kształtowych. Rodzaj połączenia - spoczynkowe, warunki pracy - średnie.
kc=80MPa - dla piasty stalowej (naciski dopuszczalne)
k0=z∙kc=0,6∙80MPa=48MPa
Wpust obliczamy z warunku na naciski powierzchniowe wg wzoru:
![]()
t1=0,5h - przybliżona wartość wysokości powierzchni wpustu narażonej na naciski
n - liczba wpustów
l0 - czynna długość wpustu
Przekształcając powyższy wzór wyliczamy l0
![]()
Ponieważ wymiary przekroju wpustów dobiera się z norm w zależności od średnicy czopa wału, zatem obliczenie wpustów polega tylko na ustaleniu ich długości. Całkowitą długość wpustu zaokrągla się do wartości podanych w normie l=l0+b, przy czym szerokość piasty koła współpracującego powinna być co najmniej równa czynnej długości dobranego wpustu.
l≥l0+b
l≥14,879mm+8mm
l≥22,879mm
Wniosek:
Z przeprowadzonych obliczeń wynika że wpust został prawidłowo dobrany. Dopuszczalna długość wpustu jaką może przenosić moment obrotowy M=0,1kN∙m wynosi l≥22,879mm. A długość wpustu zmierzona w czasie ćwiczeń wynosi l=30mm. Jest ona większa od dopuszczalnej długości
charakterystyka wielowypustów
Połączenie wielowypustowe o wpustach prostokątnych, równoległe (tzn. o prostokątnym zarysie wpustów wału i rowków w piaście), objęte normą
PN-63 M-85015. Liczba wypustów jest równa sześć czyli jest to połączenie ogólnego przeznaczenia do obrabiarek. Warunki pracy średnie.
Zadanie 2:
Obliczyć największą wartość przenoszonego momentu obrotowego dla zidentyfikowanego połączenia wielowypustowego o prostych zarysach boków. Przyjąć następujące warunki: połączenia przesuwne pod obciążeniem, warunki pracy średnie, powierzchnie robocze czopa - ulepszone.
Rozwiązanie:
Dane:
D=32mm, d=28mm, n=6, b=7, l0=12mm, k0=z∙kc
z=0,06 - wynika to z warunków podanych w zadaniu (połączenie przesuwne, pod obciążeniem, średnie warunki pracy)- wartość tabelaryczna.
kc=200MPa - wartość tabelaryczna
k0=0,06∙200MPa=12MPa
Naciski powierzchniowe oblicza się ze wzoru:
![]()
w którym:
l0 - czynna długość styku wpustu z piastą
n -liczna wpustów
k0 - naciski dopuszczalne
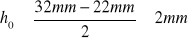
![]()
- wysokość powierzchni styku jednego wypustu z piasta ( w obliczeniach pomija się ścięcia i zaokrąglenia wynikające ze względów technologicznych)
![]()
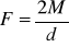
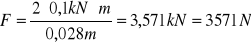
Przekształcając wzór na naciski powierzchniowe obliczamy siłę:
![]()
![]()
![]()
![]()
Teraz ze wzoru oblicze moment obrotowy:
![]()
![]()
Wniosek:
Największy moment obrotowy jaki może przynieś to połączenie wielowypustowe wynosi Mo=19,44N∙m
Rys. nr 7
Rys. nr 8








3