Temat: Wyznaczanie promienia krzywizny soczewki za pomocą pierścieni Newtona
Wstęp teoretyczny
Kołowe pierścienie interferencyjne, zwane pierścieniami Newtona, powstają, gdy równoległa wiązka światła pada na układ złożony z dokładnie płaskiej płyty szklanej oraz leżącej na niej soczewki o promieniu krzywizny R (rys. obok). Między soczewką i płytą znajduje się warstwa powietrza o grubości d wzrastającej ze wzrostem odległości od osi układu. Obraz interferencyjny powstaje w wyniku nałożenia promieni odbitych od dolnej powierzchni soczewki i od górnej powierzchni płyty. Różnica dróg geometrycznych obu promieni wynosi 2d. Dla obliczenia dróg optycznych przyjmujemy, że współczynnik załamania powietrza jest równy jedności, a także uwzględniamy fakt, że odbiciu od ośrodka gęstszego towarzyszy zmiana fazy o ![]()
, czemu odpowiada dodatkowa różnica dróg ![]()
. Biorąc powyższe pod uwagę możemy napisać warunek powstania jasnego pierścienia interferencyjnego. ![]()
(1)
Na podstawie rysunku możemy grubość warstwy powietrznej przez promień pierścienia interferencyjnego

(2).
Jeżeli a/R<<1, to można powyższe wyrażenie przedstawić w postaci

(3).
Łącząc powyższe równanie z równaniem (1) otrzymamy

(4).
Otrzymane równanie określa promienie jasnych prążków interferencyjnych.
W miejscu zetknięcia się soczewki z płytą tworzy się bardzo cienka warstwa powietrza, o grubości wielokrotnie mniejszej od długości fali. Różnica dróg optycznych powstająca między promieniami w tym punkcie jest skutkiem jedynie straty połowy długości fali przy odbiciu od płyty. W rezultacie wynosi ona ![]()
- w środku obrazu interferencyjnego obserwujemy ciemne pole. Jeżeli układ oświetlamy światłem białym, powstają barwne pierścienie, które przy wyższych rzędach m zachodzą na siebie.
Pomiary i obliczenia
λ=5,89E-07
rząd prążka |
al [m] |
ap [m] |
am [m] |
R [m] |
1 |
0,03126 |
0,02995 |
0,000655 |
1,456791 ± 6,32E-16 |
2 |
0,03154 |
0,02963 |
0,000955 |
1,032286 ± 0 |
3 |
0,03177 |
0,02937 |
0,0012 |
0,977929 ± 7,07E-16 |
4 |
0,03197 |
0,02919 |
0,00139 |
0,93723 ± 1,42E-15 |
5 |
0,03215 |
0,02901 |
0,00157 |
0,929975 ± 2,18E-15 |
6 |
0,03231 |
0,02885 |
0,00173 |
0,923877 ± 2,94E-15 |
7 |
0,03245 |
0,02870 |
0,001875 |
0,918277 ± 3,7E-15 |
8 |
0,03259 |
0,02856 |
0,002015 |
0,919123 ± 4,48E-15 |
9 |
0,03269 |
0,02847 |
0,00211 |
0,889264 ± 5,1E-15 |
10 |
0,03282 |
0,02833 |
0,002245 |
0,900728 ± 5,94E-15 |
ar - współczynnik nachylenia (λR) otrzymany za pomocą regresji liniowej
ar = 5,96E-07
∆ ar = 1,478E-08
R = ar/λ
R = 5,96E-07 : 5,89E-07 = 1,0120607 m
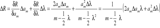
Błąd promienia pierścienia wynosi: 
=10![]()
,
gdzie ![]()
.
Błąd popełniany przy wyznaczaniu promienia obliczamy z wzoru:

Błąd promienia krzywizny soczewki:

Promień krzywizny soczewki:
R=(1,012±0,026)m
Wnioski:
Otrzymana wartość promienia krzywizny soczewki jest bliska wartości tablicowej 0,9m. Po dokonaniu obliczeń okazało się, że nie musimy odrzucać żadnego z pomiarów jako błędu grubego.