Gr.7 ZIP
ĆWICZENIE 13
1.WSTĘP
Ruch jednostajny jest to ruch, w którym droga S przebyta przez ciało jest proporcjonalna do czasu trwania tego ruchu. Prędkość w ruchu jednostajnym jest stała i równa się prędkości średniej.
![]()
Ruch przyśpieszony jest to ruch, w którym prędkość rośnie, a przyspieszenie ma zwrot zgodny ze zwrotem prędkości.
![]()
![]()
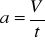
Przyspieszeniem chwilowym nazywamy stosunek zmiany prędkości ΔV do czasu Δt, w którym zmiana nastąpiła, jeżeli czas Δt dąży do zera. Jednostką przyspieszenia jest1m/s.. Przyspieszenie jest wielkością wektorową. Siła F=m⋅a. Jednostką siły jest 1N(Newton).Newton jest to siła, która masie 1 kg nadaje przyspieszenie 1m/s.., a więc 1N=1kg⋅1m/s.. Na kulę o promieniu r poruszającą się w cieczy współczynniku lepkości η z prędkością u, tak, że ruch cieczy względem kuli jest laminarny działa siła oporu(tarcia) wyrażona prawem Stokesa.
F=6⋅π⋅η⋅r⋅u
Oczywiście taka sama siła będzie działać na kulę nieruchomą umieszczoną w strumieniu cieczy poruszającej się z prędkością u, gdzie V jest prędkością cieczy w punkcie bardzo odległym od kuli (w pobliżu kuli prędkości są rozmaite).
Mała kulka o promieniu r spada swobodnie w cieczy lepkiej. Na kulę działa siła ciężkości w dół.
Q=![]()
ρ-gęstość materiału kulki
W kierunku pionowym do góry działa na kulkę siła oporu F oraz wybór.
![]()
ρ.-gęstość cieczy
początkowej fazie spadania ruch kulki jest przyspieszony. Ze wzrostem prędkości rośnie jednak siła oporu F i w pewnym momencie wszystkie trzy siły równoważą się.
![]()
Ruch kulki ustala się i kulka spada dalej ruchem jednostjnym. Dla ruchu ustalonego mamy zatem:
![]()
![]()
a stąd prędkość kulki:
![]()
Ze wzoru wynika, że dla małych wartości r prędkość spadania kulki jest bardzo mała. Dlatego też małe krople deszczu lub małe cząsteczki pyłu opadają bardzo powoli. Prawo Stokesa może być wykorzystane do wyznaczania współczynnika cieczy.
![]()
2.WYKONANIE ĆWICZENIA
a. Określamy promień R cylindra, mierząc średnicę suwmiarką.
b. Mierzymy gęstość cieczy ρ. Za pomocą areometru.
c. Mierzymy objętość kulki.
Do cylinderka wlewamy wodę i wrzucamy kilka kulek, badamy zmianę poziomu wody.
d. Obliczamy masę kulki.
Ważymy kilkanaście kulek i masę ich dzielimy przez liczbę kulek.
e. Wyliczamy promień kulki ze wzoru ![]()
f. Dokonujemy pomiaru prędkości u. Zaznaczamy w cylindrze dwie drogi s. i s.. Przez lejek wypuszczamy pojedynczo kulki do cieczy i mierzymy stoperem czas spadania kulek. Pomiary wykonujemy 9 razy dla każdej drogi.
3. OBLICZENIA.
R=0,0308m
![]()
=1244kg/![]()
![]()
=0,0365kg
![]()
=0,0006759kg
![]()
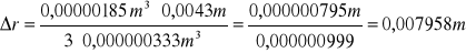
=0,000000333![]()
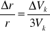
r= ![]()
= 
= 
= ![]()
. =0,0043m
![]()
=0,2 , ![]()
=0,5m
C Z A S
(S) |
S1
|
S2 |
||||
|
2,13 |
2,14 |
2,27 |
4,96 |
5,26 |
5,22 |
|
2,24 |
2,23 |
2,10 |
5,17 |
5,31 |
5,55 |
|
2,25 |
2,21 |
2,06 |
5,03 |
4,94 |
4,89 |
Czas średni : t1 , t2 dla s1 i s2
t1 =![]()
t1=2,18[s]
t2=![]()
t2=5,15[s]
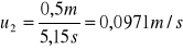
Obliczam średnią prędkość u:
u i = ![]()
i=1,2.
![]()
u1=![]()
![]()
![]()
Obliczam współczynnik lepkości cieczy η:
![]()
![]()
![]()
4. RACHUNEK BŁĘDÓW.
Δu = maxu-ui,i=1,2.
Δu=0,0944-0,0917=0,003[m/s]
Δu=0,0944-0,0917=0,0027[m/s]
![]()
![]()
![]()
![]()
![]()
![]()


![]()
![]()
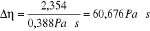
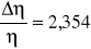
=0,03178+0,007268+1,250978⋅1,8507= =0,03178+0,007268+2,31518=2,354
![]()
![]()
Δη=60,676Pa⋅s
5.WNIOSKI
Ćwiczenie zostało wykonane błędnie , gdyż błąd rachunku wyszedł bardzo duży.
Przypuszczam , że żle odczytałam jednostki , co miało tak olbrzymi wpływ na wynik.
Współczynnik lepkości cieczy powinien wyjść 1,49Pa⋅s mój wynik odbiega od tej normy.