r. akad. 1997/98
|
L A B O R A T O R I U M Z F I Z Y K I
|
|||
nr ćwicz. 7 |
Doświadczenie Stokesa |
|||
wydział: elektroniczny kierunek: elektronika i telekomunikacja grupa: I |
imię i nazwisko: Krzysztof Górski Krzysztof Granda |
|||
data wykonania: |
ocena |
data zaliczenia |
podpis |
|
24.11.1997 |
teoria |
|
|
|
|
Sprawozdanie |
|
|
|
1. Zasada pomiaru.
Celem ćwiczenia jest wyznaczenie współczynnika lepkości gliceryny za pomocą doświadczenia Stokesa. Z badań Stokesa wynika, że ciało o kształcie kulistym, spadające w ośrodku lepkim, podlega hamującemu działaniu siły F, skierowanej pionowo w górę i równej:
F = 6 π η r v
gdzie η- oznacza współczynnik lepkości danego ośrodka, r - promień spadającej kulki,
v-prędkość kulki. Siłę tę nazwano siłą Stokesa. Jest ona proporcjonalna do promienia kulki i do jej prędkości oraz do współczynnika lepkości ośrodka, w którym odbywa się spadanie.
Do wysokiego, dość szerokiego naczynia, zawierającego badaną ciecz, wrzuca się kulkę o promieniu r i o gęstości ρk tak dobranej do gęstości cieczy ρc, by spadanie nie odbywało się zbyt szybko.
Na spadającą kulkę działają trzy siły :
1. siła ciężkości:
P = 4/3 π r3 ρk g,
2. siła wyporu Archimedesa
W = 4/3 π r3 ρc g,
3. siła Stokesa
F = 6 π η r v.
W pierwszym stadium spadania kulki jej prędkość rośnie. Równocześnie zgodnie ze wzorem rośnie jej siła Stokesa. Przy pewnej wartości prędkości v następuje zrównoważenie się sił,
P = W + F,
i od tej chwili kulka odbywa juz ruch jednostajny. Prędkość v tego ruchu znajdujemy doświadczalnie mierząc pewien odcinek drogi l i odpowiadający mu czas przelotu kulki t.
Stąd wzór na obliczanie współczynnika lepkości, w przypadku gdy promień naczynia jest dużo większy niż promień kulki, przyjmuje postać:
![]()
2. Schemat układu pomiarowego.
3. Ocena dokładności pojedynczych pomiarów.
- błąd pomiaru drogi l wyznaczam z połowy działki linijki :
Δl = 0,5 mm = 0,0005 [m]
- błąd pomiaru czasu t :
Δt = 0,2 [s]
- błąd pomiaru średnicy kulki ołowianej wyznaczam z klasy mikrometru :
![]()
4. Tabele pomiarowe.
Lp. |
l [m] |
2r [10-3m] |
r [10-3m] |
t [s] |
|
|
1. 2. 3. 4. 5. 6. 7. 8. 9. 10. |
0,26 0,26 0,26 0,26 0,26 0,26 0,26 0,26 0,26 0,26 |
2,50 2,40 2,40 2,00 2,00 2,50 2,00 2,50 2,40 2,50 |
1,25 1,20 1,20 1,00 1,00 1,25 1,00 1,25 1,20 1,25 |
7,6 7,1 7,2 11,1 10,5 7,0 11,9 7,1 7,0 7,3 |
1,004 1,029 0,877 0,939 0,888 0,925 1,007 0,938 0,853 0,965 |
0,062 0,086 0,066 0,004 0,055 0,018 0,064 0,005 0,090 0,022 |
|
|
|
|
|
|
|
|
|
|
|
|
0,943 |
0,472 |
5. Przykładowe obliczenia wyników pomiarów wielkości złożonej.
- obliczenie średniej wartości współczynnika lepkości :

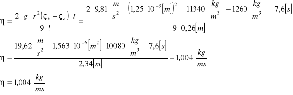
- obliczenie wartości współczynnika lepkości dla pomiaru nr 1.
ρk = 11,34![]()
=11340 ![]()
ρC = 1,260![]()
=1260 ![]()

6. Rachunek błędów.
- obliczenie błędu przeciętnego Δηp :

Błąd Δη obliczam ze wzoru podanego w instrukcji do ćwiczenia:

- obliczenie błędu maksymalnego dla pomiaru nr 1:

7. Zestawienie wyników pomiarów.
Temperatura pomiaru - 20OC
η = (![]()
± Δηp) ![]()
η = (0,943 ± 0,047) ![]()
Lp |
|
1. 2. 3. 4. 5. 6. 7. 8. 9. 10. |
1,004 ± 0,032 1,029 ± 0,034 0,877 ± 0,030 0,939 ± 0,023 0,888 ± 0,025 0,925 ± 0,032 1,007 ± 0,024 0,938 ± 0,032 0,853 ± 0,030 0,965 ± 0,032 |
8. Uwagi i wnioski.
Odczytana przeze mnie wartość lepkości gliceryny wynosiła 1,49 ![]()
dla 20OC. Myślę, że największy wpływ na błąd wyznaczenia współczynnika lepkości gliceryny miał pomiar średnicy kulki ołowianej. Mikrometr po skręceniu wskazywał 1,5 mm. Poza tym dokładność pomiaru czasu spadania kulki zależy głównie od refleksu osoby dokonującej pomiaru.
W trakcie wykonywania ćwiczenia zauważyliśmy, że w czasie spadania od ołowianych kulek odłączają się pęcherzyki powietrza. Pęcherzyki zmniejszają prędkość spadającej kulki co wpływa na błąd wyznaczania współczynnika lepkości.
2