4.5 Współrzędne izometryczne
Współrzędne krzywoliniowe u,v nazywane są izometrycznymi, jeżeli długość ds na powierzchni można wyrazić wzorem:
![]()
gdzie: μ2 - dowolna funkcja parametrów u i v.
Jeżeli zatem współrzędne u i v są izometrycznymi to zachodzą następujące związki:
F = 0, E = G = μ2
Twierdzenie:
Współrzędne u i v są izometryczne jeżeli:
siatka współrzędnych jest siatką ortogonalną,
przesunięcie ds wywołane zmiana współrzędnej u o wartość du = ε jest równe przesunięciu ds wywołanemu zmiana współrzędnej v o dv = ε
(gdzie ε to nieskończenie mała, dowolnie obrana liczba)
Współrzędne elipsoidalne B,L nie są izometryczne.
zamiast współrzędnej B wprowadzimy nową współrzędną q taką, że ![]()
otrzymamy zatem: ![]()
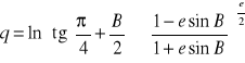
Współrzędna q będzie równa:

czyli po rozwiązaniu 
gdzie: q - współrzędna izometryczna (ważna w odwzorowaniach równokątnych)
e - mimośród elipsoidy
Warunki równokątności
(w przypadku stosowania współrzędnych izometrycznych)
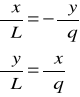
Warunki równokątności odwzorowania elipsoidy obrotowej na płaszczyznę:
![]()
oraz ![]()
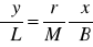
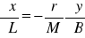
Po zastąpieniu B,L współrzędnymi izometrycznymi q,L otrzymamy:
ponieważ ![]()
zatem 
przedstawia warunki równokątności w zastosowaniu współrzędnych izometrycznych (Cauchy'ego - Riemana)
Warunki te musi spełniać funkcja analityczna zmiennej zespolonej z = q+iL
![]()
Kartografia matematyczna. Współrzędne izometryczne - skrót
1