Wyznaczanie współczynnika tarcia kinetycznego
Obliczenia i analiza wyników
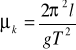
Współczynniki tarcia kinetycznego obliczamy ze wzoru :

l - odległość między osiami rolek [m]
g - przyspieszenie ziemskie [m/s2]
T- czas jednego wahnięcia [s]
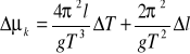
Błąd wyznaczenia współczynnika tarcia kinetycznego wyznaczony metodą różniczki zupełnej:

Błąd ΔT wynika z pomiaru czasu (zatrzymania stopera) i zakładamy,
że wynosi ΔT= 0,05 s .
Błąd Δl wynika z pomiar odległości między osiami rolek - pomiar dokonany linijką o podziałce co 1 mm. Wyrażając w metrach wynosi on Δl=0,001 m.
Otrzymane wyniki:
1. Materiał pręta: stal μk = 0.15 ± 0.01
2. Materiał pręta: mosiądz μk = 0.16 ± 0.01
3. Materiał pręta: aluminium μk = 0.27 ± 0.02
Wnioski i analiza wyników
Siła tarcia jest niezależna od wielkości stykających się ze sobą powierzchni i zależy jedynie od ich rodzaju.
Otrzymane wyniki, w szczególności współczynnik tarcia kinetycznego stali o stal są bardzo dokładne w porównaniu z wartościami tablicowymi.