Metody organizacji i zarządzania
Burza mózgów:
Podział na 2 zespoły:
pierwszy do realizacji sesji pomysłowości (ok. 12 osób), wśród nich przewodniczący i sekretarz sesji,
drugi do wartościowania pomysłów (ok. 3 osoby - specjaliści w temacie).
Określenie miejsca i czasu sesji pomysłowości.
Wcześniejsze powiadomienie grupy o terminie sesji pomysłowości.
Ośmielenie osób do publicznego wypowiadania swoich poglądów i opinii.
Przeprowadzenie sesji pomysłowości:
organizacja sesji pomysłowości, przewodniczący zapoznaje uczestników z zasadami sesji pomysłowości - 4 zasady:
zero krytyki, używać niczym nieskrępowaną wyobraźnię, dążyć do zgromadzenia jak największej liczby pomysłów (40-45 minut: 60-100 pomysłów), dążyć do udoskonalenia pomysłów zgłaszanych przez inne osoby,
przewodniczący zapisuje problem np. na tablicy,
przewodniczący rozpoczyna sesję pomysłowości (może on jako pierwszy zgłosić pomysł). Zasada - jedna osoba - jeden pomysł pod rząd,
sekretarz zapisuje wszystkie pomysły (notatka) i numeruje je,
jeśli tempo zgłaszania pomysłów, przewodniczący powinien pobudzić zgłaszanie pomysłów (np. sam zgłosić, zadać pytanie itp.),
jeśli zostało mało czasu lub jest mało pomysłów przewodniczący stosuje presję: np. „jeszcze 10 pomysłów”, „każdy jeszcze 1 pomysł” etc.,
Sesja wartościowania pomysłów:
pomysły gorące - od razu realizować (ich jest najmniej),
pomysły do realizacji w przyszłości po modyfikacji,
pomysły nieużyteczne (ok. 80%).
Cykl badania metod pracy.
Wybór celu i przedmiotu badania.
Rejestracja stanu faktycznego.
Krytyczna analiza i ocena stanu faktycznego.
Projektowanie stanu proponowanego.
Wprowadzenie w życie zaprojektowanego usprawnienia.
Ad. 2 Kartowanie jest jedną z technik w ramach ogólnej metody obserwacji, polega ono na rejestracji badanych procesów pracy przy pomocy umownych symboli graficznych na specjalnych kartach i wykresach.
KPM - Karta Przebiegu Materiału
О - operacja - czynności zmierzające do zmiany właściwości fizycznych, chemicznych lub kształtu przedmiotu pracy,
⇒ - przemieszczenie - ruch pracowników, materiałów lub narzędzi,
○ - manipulacja - przemieszczenie materiału na odległość nie większą niż 2 metry,
□ - kontrola - ustalenie ilościowych lub jakościowych cech przedmiotu pracy,
D - oczekiwanie - postój maszyny lub bezwładność materiału,
∇ - magazynowanie - stan, w którym do oficjalnego uwolnienia przedmiotu pracy wymagany jest odpowiedni dokument.
KOD - Karta Obiegu Dokumentu.
Nie ma tutaj manipulacji. Zamiast składowania jest przechowywanie dokumentu.
emisja dokumentu,
numerowanie,
parafowanie,
podpisanie (bierze za dokument odpowiedzialność),
przeczytanie, odczytanie,
likwidacja dokumentu.
Metoda obserwacji migawkowych.
U podstaw metody obserwacji migawkowych leży założenie, że przy odpowiednio dużej liczbie obserwacji wyrywkowych uzyskana struktura zużycia czasu jest bliska strukturze rzeczywistej, tzn., iż cechy charakterystyczne dla próby są cechami badanej zbiorowości.
Etapy w metodzie obserwacji migawkowych:
etap przygotowawczy,
przeprowadzenie właściwych obserwacji,
obliczenie i interpretacja wyników.
Ad.1
1. Ustalenie ilości obserwowanych obiektów:
do 50 100 %
100-90 %
90-80 %
80-65 %
65-50 %
50-35 %...
2. Wybór frakcji. Można przeprowadzić w układzie dwu lub wielofunkcyjnym.
Frakcja - czynność i czas jej trwania identyfikowalny w sposób wyraźny z całkowitego funduszu czasu pracy.
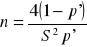
Wyznaczenie niezbędnej liczby obserwacji. Dwa wzory:
wzór Tippeta: ![]()
p - szacunek wielkości % udziału zdarzeń oczekiwanych,
S - założony względny błąd szacunku,
N - liczba obserwacji
wzór Steinhausa: 
E - błąd bezwzględny tego badania,
k - liczba frakcji.
Wyznaczenie tras dochodów stała trasa
Określenie momentów obserwacji
Obserwacje od 6 do 14.
Przygotowanie formularzy.
Obliczenie i interpretacja wyników.
Przeprowadza się:
podsumowanie ilości wystąpień poszczególnych frakcji na wszystkich stanowiskach,
obliczenie łącznej ilości dokonanych obserwacji,
wyliczenie procentowych wskaźników struktury przyjmując ilość wszystkich obserwacji za 100 %,
przedstawienie otrzymanych wyników na diagramie słupkowym lub kołowym,
interpretację otrzymanych wyników i podanie ewentualnych usprawnień na przyszłość.
Metoda badania i mierzenia pracy - MTM (Method Time Measurement).
MTM jest metodą polegającą na dzieleniu każdej operacji ręcznej od przebiegu jej wykonania na niezbędne ruchy elementarne i nawiązanie każdym z tych ruchów z góry wyznaczonego normatywu czasu.
Założenie metody MTM:
Każda praca rąk składa się z różnych poznawalnych ruchów elementarnych.
Każdy ruch elementarny ma stałą wartość i średnią wydajność.
Wartości czasowe dla wszystkich ruchów elementarnych zostały dokładnie pomierzone.
1 TMU = 0,00001 godz. = 0,036 sek.
Zalety metody MTM:
dokładność,
obiektywizm,
uniwersalizm.
Wady:
pracochłonność rejestracji i analizy,
stosuje się tylko do prac powtarzalnych i do 30 sekund.
Metoda Guerscheta.
Pc = Ps + Pgr + Pew
Metoda Blocha-Schmigalli
![]()
odległość pomiędzy obiektem i a j ( w jednostkach modułowych)
powiązania pomiędzy
obiektem i a j.
Kroki:
Wyznaczenie kolejności lokowania obiektów na siatce.
Rozmieszczenie obiektów w węzłach siatki trójkątnej według wcześniej wyznaczonej kolejności.
Sporządzenie macierzy odległości i obliczenie wartości funkcji kryterium.
Metoda CPM (Critical Path Method).
Służy do organizowania procesów pracy w czasie.
przedsięwzięcie - zorganizowane działanie ludzkie zmierzające do osiągnięcia określonego celu zawarte w skończonym przedziale czasu z wyróżnionym początkiem i końcem realizowane przez skończoną liczbę osób, środków technicznych, energii, materiałów, środków finansowych i informacji.
CDN...
jest ona potrzebna dla ruchu międzystanowiskowego pracowników, materiałów i narzędzi.
Pew = (Ps + Pg) * K [współczynnik zależny od branży]
powierzchnia niezbędna dla ruchu pracowników obsługujących dane stanowisko pracy i dla materiałów stanowiących niezbędny zapas bieżący na tym stanowisku. Pgr = Ps + N [ilość stron, z których jest obsługiwane urządzenie, główne stanowiska pracy]
powierzchnia podstawy maszyn i urządzeń (m2)