VIII WOJEWÓDZKI KONKURS MATEMATYCZNY UCZNIÓW GIMNAZJÓW
30 listopada 2007r.
etap szkolny
GRATULACJE - zakwalifikowałaś/zakwalifikowałeś się do etapu szkolnego
VIII Wojewódzkiego Konkursu Matematycznego. Do rozwiązania masz test składający się
z 25 zadań, za które możesz uzyskać 50 punktów. Obok zadania podana jest liczba punktów, którą za prawidłowe rozwiązanie możesz otrzymać. Przeczytaj uważnie zadania. Rozwiązania
i odpowiedzi zapisz czytelnie w odpowiednich miejscach. Do niektórych zadań podano kilka odpowiedzi ale tylko jedna jest poprawna. Wybierz ją i starannie zamaluj kratkę z literą, która odpowiada poprawnej odpowiedzi. Aby zakwalifikować się do etapu rejonowego musisz uzyskać co najmniej 42 punkty. Na rozwiązanie wszystkich zadań masz 90 minut.
POWODZENIA!
(2pkt.) Ile wynosi przybliżenie liczby ![]()
z dokładnością do 0,1 ? …………………………………………………………………………………………………………………………………………………………………………………………
Odp. …………………………………………………………………………………......
(1pkt.) Które wyrażenie ma najmniejszą wartość ?
A ![]()
B ![]()
C ![]()
D ![]()
(1pkt.) Masa Księżyca wynosi 72000000000000000000000 kg.
Zapisana w notacji wykładniczej ma postać:
A ![]()
B ![]()
C ![]()
D ![]()
(3pkt.) Jaką liczbę należy wpisać w miejsce k, aby prawdziwa była równość;

……………………………………………………………………………………………………………………………………………………………………………………………………………………………………………………………………………………...
Odp. …………………………………………………………………………………......
(1pkt.) Sumą liczb ![]()
jest ?
A ![]()
B ![]()
C ![]()
D nie można obliczyć
(3pkt.) Na mecz przyszło 320 kibiców. 70% z nich zapłaciło po 9zł za bilet. Pozostali kupili bilety ulgowe w cenie o połowę niższej. Jaki dochód z biletów uzyskał organizator ?
…………………………………………………………………………………………………………………………………………………………………………………………
Odp. …………………………………………………………………………………......
(1pkt.) Ogólna postać liczby całkowitej k, która po podzieleniu przez 5 daje resztę 1 to:
A 5k B 5k - 1 C ![]()
D 5k + 1
(1pkt.) Po przekształceniu wyrażenia ![]()
otrzymasz :
A 2(x + y) B ![]()
C 2x+y D ![]()
9. (4pkt.) 4 słonie i 2 konie ważą tyle samo co 2 takie słonie i 11 koni. Ile razy słoń jest
cięższy od konia?
………………………………………………………………………………………………………………………………………………………………………………................
Odp. ………………………………………………………………………………….......
(3pkt.) Podaj największą liczbę całkowitą, która nie spełnia poniższej nierówności:
![]()
………………………………………………………………………………………………………………………………………………………………………………………………………………………………………………………………………………………
Odp. …………………………………………………………………………………......
(1pkt.) Do jednego przeszczepu wątroby potrzeba ok. 23 l krwi. Jednorazowo dawca oddaje ok. 450 ml krwi. Ile dawców musi oddać krew potrzebną do jednego zabiegu przeszczepu wątroby ?
A 52 B 23 C 48 D 40
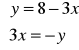
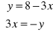
(1pkt.) Układ równań :

A jest nieoznaczony B ma dokładnie jedno rozwiązanie
C jest sprzeczny D jest spełniony przez parę liczb![]()
(1pkt.) Która z linii nie przedstawia wykresu funkcji:
A 1 B 2 C 2 i 3 D 3 i 4
(1pkt.) Oglądasz pod mikroskopem preparat zawierający ziarna skrobi ziemniaka. Twój mikroskop posiada okular powiększający 12,5 razy i obiektyw powiększający 20 razy. Ile wynosi powiększenie oglądanego obiektu ?
A 25 B 250 C 2,5 D 2500
(1pkt.) Podaj medianę zestawu danych : 1,2,1,7,3,3,4,6,7,7
A 3 B 4 C 3,5 D 7

(1pkt.) Jakie są miary kątów α, β, δ trójkąta ABC ?
A α = 40o, β = 60o, δ = 80o
B α = 40o, β = 80o, δ = 60o
C α = 48o, β = 72o, δ = 60o
D α = 48o, β = 72o, δ = 80o
(4pkt.)Jaka jest odległość środka okręgu o promieniu 4cm od cięciwy AB o długości 6cm?
…………………………………………………………………………………………….
…………………………………………………………………………………………….…………………………………………………………………………………………….
Odp. …………………………………………………………………………………........
(1pkt.) Która równość jest fałszywa ?
A TS2 = TW2 + WS2 
B TW2 = RT2 - RW2
C RT2 = RS2 - TS2
D RS2 = RW2 + WS2
(1pkt.) W kwadracie o boku długości ![]()
przekątna ma długość :
A ![]()
B ![]()
C 2 D ![]()
(1pkt.) Odległość między Krosnem a Sanokiem wynosi 38 km. Jaka będzie odległość między tymi miastami na mapie sporządzonej w skali 1 : 1000000
A 38cm B 3,8cm C 0,38cm D 380cm
(4pkt.) Marynarze mierzą kąty za pomocą jednostki zwanej rumbem. Rumb to kąt środkowy oparty na ![]()
okręgu. Ile stopni ma jeden rumb, a ile rumbów ma kąt prosty ?
…………………………………………………………………………………………….…………………………………………………………………………………………….…………………………………………………………………………………………….
Odp. …………………………………………………………………………………........
(3pkt.) Suma kątów wielokąta foremnego wynosi 1800o . Ile boków ma ten wielokąt?
…………………………………………………………………………………………………………………………………………………………………………………………
Odp. ……………………………………………………………………………………...
(5pkt.) Człowiek o wzroście 174 cm rzuca cień długości 2m i 32cm. W tym samym czasie cień drzewa obok którego stoi człowiek ma długość 4,2m. Jaka jest wysokość drzewa?
…………………………………………………………………………………………….…………………………………………………………………………………………….…………………………………………………………………………………………….
Odp. ……………………………………………………………………………………....

(4pkt.) Oblicz obwód trójkąta MNP
………………………………………………………………...
………………………………………………………………...
………………………………………………………………....
………………………………………………………………....
Odp. …………………………………………………………...
25. (1pkt.) Która z figur ma nieskończenie wiele osi symetrii:
A D B A C B D C
