Analiza struktury
1. Budowa szeregu przedziałowego
Liczba klas k
![]()
![]()
![]()
Rozpiętość przedziału klasowego h
![]()
Granice pierwszego przedziału (dolna d1 i górna g1)
![]()
![]()
2. Miary tendencji centralnej, przeciętnego poziomu, położenia, średnie
Szereg szczegółowy |
Szereg punktowy |
Szereg przedziałowy |
Średnia arytmetyczna |
||
|
|
|
Średnia harmoniczna |
||
|
|
|
Dominanta |
||
|
|
|
Mediana |
||
n - nieparzyste
n - parzyste
|
n - nieparzyste
n - parzyste
|
|
Kwartyl pierwszy |
||
n - podzielne przez 4
n+1 - podzielne przez 4
n+2 - podzielne przez 4
n+3 - podzielne przez 4
|
|
|
Kwartyl trzeci |
||
n - podzielne przez 4
n+1 - podzielne przez 4
n+2 - podzielne przez 4
n+3 - podzielne przez 4
|
|
|
Kwantyle |
||
|
|
|
3. Miary zróżnicowania, Zmienności, dyspersji, rozproszenia
Odchylenie standardowe |
||
|
||
|
|
|
Odchylenie przeciętne |
||
|
|
|
Odchylenie ćwiartkowe |
||
|
||
Obszary zmienności |
||
|
|
|
Współczynniki zmienności |
||
|
|
|
4. Miary asymetrii, skośności
Miary asymetrii |
||
|
|
|
5. Miary spłaszczenia
Miary spłaszczenia |
|
|
|
6. Miara koncentracji (Lorentza)
Koncentracja (Lorentza) |
||||
|
|
|
|
|
7. Wskaźnik podobieństwa struktur
Wskaźnik podobieństwa struktur |
|
Do wzorów na A1 i α
Moment centralny r-tego rzędu |
||
|
|
|
Moment zwykły r-tego rzędu |
||
|
|
|
Analiza dynamiki
I. Przyrosty i indeksy
1. Średnie
Szereg czasowy momentów |
Szereg czasowy okresów |
|
|
2. Przyrosty absolutne
Jednopodstawowe |
Łańcuchowe |
|
|
3. Przyrosty względne
Jednopodstawowe |
Łańcuchowe |
|
|
4. Indeksy indywidualne
Jednopodstawowe |
Łańcuchowe |
|
|
5. Zależność między indeksami indywidualnymi i przyrostami względnymi
Jednopodstawowe |
Łańcuchowe |
|
|
6. Zamiana indeksów indywidualnych
łańcuchowe na jednopodstawowe |
|
jednopodstawowe na łańcuchowe |
|
zmiana roku bazowego |
|||
- |
|
|
1,0 |
- |
|
1,0 |
|
|
|
|
|
|
|
|
|
|
1,0 |
|
|
|
|
|
1,0 |
|
|
|
|
|
|
|
|
|
|
|
|
|
|
|
|
|
|
|
|
|
|
|
|
7. Średni przyrost absolutny i średnie tempo zmian
|
8. Indeksy agregatowe dla wielkości absolutnych
|
II. TRENDY I SEZONOWOŚĆ
1. Średnie ruchome
Średnie ruchome zwykłe |
Średnie ruchome scentrowane |
|
Półrocza:
itd.
Kwartały:
itd. |
2. Równanie trendu liniowego
|
|
t=1,2,3,...,n
|
|
|
|
3. Analiza sezonowości
Składniki sezonowości |
Wskaźniki sezonowości |
||
Metoda mechaniczna |
Metoda analityczna |
Metoda mechaniczna |
Metoda analityczna |
|
|
|
|
|
|
||
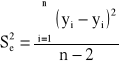
4. Miary dobroci dopasowania
Dane roczne |
Dane sezonowe |
|
|
Analiza korelacji i regresji
I. analiza korelacji
Współczynnik korelacji Pearsona
![]()
, gdzie ![]()
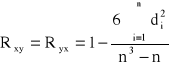
Współczynnik korelacji rang Spearmana

, gdzie di = ranga xi - ranga yi
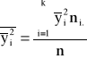
Stosunek korelacyjny

, gdzie ![]()
, 
, 
Współczynnik zbieżności Czuprowa

, gdzie 
, ![]()
Współczynnik Kendala
![]()
; a = n11; b = n12; c = n21; d = n22;
Korelacja wieloraka i cząstkowa




II. ANALIZA REGRESJI
1. Teoretyczna linia regresji
![]()
, gdzie ![]()
, ![]()

