POLITECHNIKA WROCŁAWSKA INSTYTUT FIZYKI FILIA w JELENIEJ GÓRZE |
Sprawozdanie z ćwiczenia nr: 40 Temat: Wyznaczanie temperaturowych współczynników oporności metali i półprzewodników. |
|||
Imię i nazwisko: Marcin Bukowski
|
Numer kolejny ćwiczenia: 5 |
Ocena: |
||
Grupa: V |
Wydział: Elektronika |
Rok: I |
Data wykonania ćwiczenia: 24. III . 2000 |
|
CEL ĆWICZENIA:
zaznajomienie się z pomiarami rezystancji,
pomiar zależności rezystancji półprzewodnika w określonym zakresie temperatur,
wyznaczenie współczynnika temperaturowego rezystancji oraz szerokości pasma wzbronionego w półprzewodniku.
WPROWADZENIE:
Ciała stałe ze względu na ich własności elektryczne można podzielić na trzy grupy :
przewodniki, półprzewodniki i dielektryki (izolatory). Do półprzewodników należą ciała, których konduktywność jest mniejsza od konduktywności dobrych przewodników, ale znacznie większa od konduktywności dielektryków.
Do półprzewodników zaliczamy 12 pierwiastków (bor B, węgiel C, krzem Si, fosfor P, siarkę S, german Ge, arsen As, selen Se, szarą cynę Sn, antymon Sb, tellur Te, jod J), wśród których największe znaczenie mają krzem i german. Półprzewodnikami są także liczne związki podwójne.
W półprzewodnikach część elektronów pasma walencyjnego może przejść do pustego pasma przewodnictwa i stać się elektronami zdolnymi do przewodzenia prądu. Aby jednak to nastąpiło, należy elektronom walencyjnym dostarczyć energii równej szerokości pasma wzbronionego. Energią potrzebną do wzbudzenia nośników prądu, zwaną też często energią aktywacji, może być np. energia drgań cieplnych siatki krystalicznej, proporcjonalna do temperatury ciała, lub np. energia fotonu padającego światła.
Dzięki małej szerokości pasma wzbronionego w półprzewodniku, już w temperaturze pokojowej cześć elektronów walencyjnych jest przeniesiona do pasma przewodnictwa i umożliwia przepływ prądu, gdy tymczasem w dielektryku pasmo przewodnictwa w tej temperaturze jest całkowicie puste.
Przejście elektronu walencyjnego w półprzewodniku do pasma przewodnictwa oznacza w modelu energetycznym pojawienie się w pasmie podstawowym wolnego poziomu, zwanego dziurą. To samo w modelu sieci krystalicznej półprzewodnika oznacza zerwanie jednego międzyatomowego wiązania walencyjnego i jonizację jednego atomu. Każdy atom germanu, mając cztery elektrony walencyjne, ma jednocześnie czterech sąsiadów, z którymi jest powiązany za pomocą par elektronów wspólnych dla sąsiadujących atomów.
W obecności przyłożonego do półprzewodnika pola elektrycznego, dziura w pasmie podstawowym zostaje zajęta przez elektron z niżej położonego poziomu energii, w wyniku czego dziura przesunie się w dół. W modelu krystalicznym oznacza to zajęcie dziury przez inny elektron idący naprzeciw pola i w rezultacie przesunięcie się nieskompensowanego w atomie dodatniego ładunku elementarnego w kierunku pola. Ruch dziur jest zatem równoważny ruchowi ładunków dodatnich. W rezultacie w półprzewodniku obserwujemy zarówno elektronowy, jak i dziurowy mechanizm przewodnictwa elektrycznego.
W dowolnym typie półprzewodnika w wyniku działania siły przyłożonego pola elektrycznego, zwiększającej prędkość nośników prądu, oraz hamującego działania zjawiska rozpraszania nośników na drganiach cieplnych sieci i zjonizowanych atomach domieszek, ustala się pewna średnia wartość prędkości nośników w kierunku pola (prędkość unoszenia).
Gęstość prądu w półprzewodnikach, jak wynika z definicji tej wielkości, wyniesie w ogólnym przypadku
j = e ( n vn + vp )
przy czym
j - gęstość prądu
e - ładunek elektronu (ładunek elementarny)
vn , vp - odpowiednio prędkość unoszenia elektronów i prędkość unoszenia dziur
Wprowadzając pojęcie ruchliwości nośników zdefiniowanej wzorem
vn vp
un = up =
E E
otrzymamy
j = e ( n un + p up ) E
przy czym
E - natężenie przyłożonego pola elektrycznego.
Porównując ostatni wzór z prawem Ohma
j = σ E
otrzymamy wyrażenie określające konduktywność półprzewodników
σ = e ( n un + p up )
Ruchliwość elektronów un i dziur up zmienia się z temperaturą półprzewodnika według funkcji potęgowej AT - α gdzie stałe A i α zależą od rodzaju materiału i mechanizmu rozpraszania.
Zależnie od zakresu temperatur w półprzewodnikach przeważa bądź przewodnictwo domieszkowe, bądź przewodnictwo samoistne. W niskich temperaturach energia ruchu cieplnego (rzędu kT) jest za mała dla efektywnego wzbudzenia elektronów z pasma walencyjnego do pasma przewodnictwa i już przy nieznacznej koncentracji domieszek nośniki samoistne są zmajoryzowane przez nośniki domieszkowe. I tak na przykład trzeba dysponować próbką bardzo czystego germanu, w której jeden atom domieszki przypada na więcej niż miliard atomów germanu, aby przewodnictwo próbki w temperaturze pokojowej było samoistne.
Dla półprzewodnika, w zakresie temperatur przewodnictwa samoistnego, mierząc zależność rezystancji od temperatury, można wyznaczyć szerokość pasma wzbronionego Eg (tzw. przerwę energetyczną). Podstawą obliczeń jest wzór, określający konduktywność półprzewodnika w zakresie przewodnictwa samoistnego. Ze wzoru tego wprost wynika wyrażenie określające rezystancję w zakresie samoistnym
R = R0 exp ( Eg/2kT)
gdzie R0 z dobrym przybliżeniem jest stałą zależną od rodzaju półprzewodnika i jego wymiarów geometrycznych. Stała R0 oznacza rezystancję, jaką miałby półprzewodnik w nieskończenie dużej temperaturze, gdyby zależność w/w była słuszna w całym zakresie temperatur.
Logarytmując stronami otrzymamy
ln R = ln R0 + Eg/2kT
Na wykresie zależności ln R = f(1000/T) w zakresie przewodnictwa samoistnego przedstawia zatem linię prostą, której tangens kąta nachylenia
tg ϕ = 10 -3 Eg/2k
stąd
![]()
=
gdzie
ln R1, 1000/T1 oraz ln R2, 1000/T2 oznaczają współrzędne punktów na początku i końcu prostoliniowego odcinka wykresu zależności ln R = f(1000/T).
TABELA POMIARÓW:
Ogrzewanie elementu półprzewodnikowego:
pomiar |
t[oC] |
T[K] |
R[ |
lnR |
1000/T |
1 |
15 |
288 |
1800 |
7,49554194 |
3,47222222 |
2 |
17 |
290 |
1120 |
7,02108396 |
3,44827586 |
3 |
19 |
292 |
1030 |
6,93731408 |
3,42465753 |
4 |
21 |
294 |
960 |
6,86693328 |
3,40136054 |
5 |
23 |
296 |
909 |
6,81234509 |
3,37837838 |
6 |
25 |
298 |
849 |
6,74405919 |
3,3557047 |
7 |
27 |
300 |
790 |
6,67203295 |
3,33333333 |
8 |
29 |
302 |
749 |
6,61873898 |
3,31125828 |
9 |
31 |
304 |
699 |
6,54965074 |
3,28947368 |
10 |
33 |
306 |
659 |
6,49072353 |
3,26797386 |
11 |
35 |
308 |
619 |
6,42810527 |
3,24675325 |
12 |
37 |
310 |
570 |
6,34563636 |
3,22580645 |
13 |
39 |
312 |
529 |
6,27098843 |
3,20512821 |
14 |
41 |
314 |
499 |
6,2126061 |
3,18471338 |
15 |
43 |
316 |
469 |
6,15060277 |
3,16455696 |
16 |
45 |
318 |
429 |
6,06145692 |
3,14465409 |
17 |
47 |
320 |
399 |
5,98896142 |
3,125 |
18 |
49 |
322 |
366 |
5,90263333 |
3,10559006 |
19 |
51 |
324 |
349 |
5,85507192 |
3,08641975 |
20 |
53 |
326 |
319 |
5,7651911 |
3,06748466 |
21 |
55 |
328 |
296 |
5,69035945 |
3,04878049 |
22 |
57 |
330 |
279 |
5,63121178 |
3,03030303 |
23 |
59 |
332 |
256 |
5,54517744 |
3,01204819 |
24 |
61 |
334 |
249 |
5,5174529 |
2,99401198 |
Schładzanie elementu półprzewodnikowego:
pomiar |
t[oC] |
T[K] |
R[ |
1 |
61 |
334 |
280 |
2 |
59 |
332 |
319 |
3 |
57 |
330 |
359 |
4 |
55 |
328 |
399 |
5 |
53 |
326 |
429 |
6 |
51 |
324 |
459 |
7 |
49 |
322 |
499 |
8 |
47 |
320 |
539 |
9 |
45 |
318 |
589 |
10 |
43 |
316 |
639 |
11 |
41 |
314 |
676 |
12 |
39 |
312 |
729 |
13 |
37 |
310 |
799 |
14 |
35 |
308 |
869 |
15 |
33 |
306 |
949 |
16 |
31 |
304 |
1029 |
17 |
29 |
302 |
1119 |
18 |
27 |
300 |
1219 |
19 |
25 |
298 |
1339 |
20 |
23 |
296 |
1449 |
21 |
21 |
294 |
1569 |
22 |
19 |
292 |
1686 |
23 |
17 |
290 |
1849 |
24 |
15 |
288 |
1989 |
Wyniki obliczeń
T1 |
T2 |
T1, T2 |
R1 |
R2 |
R1 |
R2 |
Eg |
Eg |
Eg/Eg |
[K] |
[K] |
[K] |
[] |
[] |
[] |
[] |
[eV] |
[eV] |
[%] |
290 |
332 |
|
1120 |
249 |
|
|
0,58 |
±0,017 |
|
WZORY I OBLICZENIA:
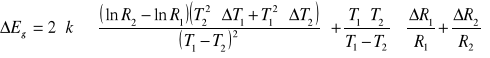
Szerokość pasma wzbronionego Eg:
![]()
=
![]()
=![]()
[ J ]
Eg = 9,34425 10 - 20 / 1,6 10 - 19 = 5,8402 10 - 1 [ eV ]


ΔEg = 0,27 10 - 20 / 1,6 10 - 19 = 0,16875 10 - 1 [ eV ]
WNIOSKI:
Dzięki doświadczeniu ustaliliśmy szerokość pasma wzbronionego. Wynik jest obarczony błędem. Spowodowane jest to niedokładnością urządzeń pomiarowych oraz trzeba też wziąć pod uwagę warunki jakie panowały w pomieszczeniu. Błąd można zmniejszyć poprzez zastosowanie bardziej dokładnych termometrów cyfrowych oraz urządzeń do pomiaru rezystancji.
[ J ]