OBLICZENIA DO ĆWICZENIA PROJEKTOWEGO Z PRZEDMIOTU:
„INŻYNIERIA RUCHU”- część 2 /skrzyżowanie z sygnalizacją/
1. Oznaczenie relacji:
2. Zaplanowanie organizacji ruchu i utworzenie grup pieszych
3. Utworzenie faz ruchu.
FAZA I
FAZA II
FAZA III
4. Wyznaczenie natężenia obliczeniowego.
![]()
![]()
5. Przeliczenie natężeń obliczeniowych wyrażonych w pojazdach rzeczywistych [P/h] na natężenia obliczeniowe wyrażone w pojazdach umownych [E/h].
Wlot A
![]()
![]()
![]()
Wlot B
![]()
![]()
![]()
Wlot D
![]()
![]()
![]()
6. Przeliczenie pojazdów umownych na pojazdy ekwiwalentne relacji ”na wprost” (współczynnik er odczytywany z tabl. 7.1)
![]()
Relacja AL
er=1,1 (relacja bezkolizyjna w lewo)
QeAL=138*1,1=152 E/h
Relacja AW
er=1,0 (relacja na wprost)
QeAW=319*1,0=319 E/h
Relacja BP
er=1,2 (bezkolizyjna w prawo)
QeBP=170*1,2=204 E/h
Relacja BW
er=1,0 (relacja na wprost)
QeBW=223*1,0=223 E/h
QeB=223+204=427 E/h
Relacja DL
![]()
(skręt w lewo na pasie
wydzielonym; n=1)
![]()
Relacja DP(relacja bezkolizyjna w prawo)
er=1,2
QeDP=172*1,2=206,4 E/h.
7. Wybór krytycznych grup faz, które mają max natężenie ruchu.
FAZA I
GK1 QeAW=319 E/h
GK5 QeB=427 E/h
FAZA II
GK2 QeAL=152 E/h
GK3 QeDP=206 E/h
FAZA III
GK4 QeDL=439 E/h
8. Sprawdzenie warunku przepustowości skrzyżowania.

nf- liczba faz ruchu
439+206+427 ≤ 1620-130*3
1072 ≤ 1230
Wniosek:
Wynik wstępnej analizy wskazuje, że przepustowość skrzyżowania będzie zapewniona.
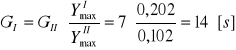
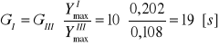
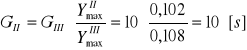
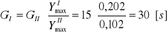
9. Wyznaczenie czasów międzyzielonych dla wszystkich par strumieni kolizyjnych na skrzyżowaniu.
![]()

![]()
![]()
i - strumień ewakuujący się
j - strumień dojeżdżający
tm(i,j) - czas międzyzielony dla pary strumieni (i,j) [s]
tmmin(i,j) - wartość minimalna czasu międzyzielonego dla pary strumieni (i,j) [s]
tz - czas trwania sygnału żółtego [s]
te(i,j) - czas ewakuacji strumienia i poza punkt kolizji ze strumieniem j [s]
td(i,j) - czas dojazdu strumienia j do punktu kolizji ze strumieniem i [s]
le(i,j) - długość drogi ewakuacji strumienia i od linii warunkowego zatrzymania do punktu kolizji ze strumieniem j [m]
ld(i,j) - długość drogi dojazdu strumienia j od linii warunkowego zatrzymania do punktu kolizji ze strumieniem i [m]
ve(i) - prędkość ewakuacji strumienia i [m/s]
vd(j) - prędkość dojazdu strumienia j [m/s]
lp - wydłużenie drogi ewakuacji strumienia i (dla pieszych = 0 [m], dla pojazdów - długość pojazdu miarodajnego = 10 [m])
Układ faz:
Sekwencja 1 FAZY I-II-III
FAZA I-II
|
Faza ewakuacji |
Faza dojazdu |
Czas międzyzielony |
Czas max |
|
|
|
s |
s |
|
BW |
DP |
3 |
3 |
|
BW |
AL |
2 |
|
FAZA II-III
|
Faza ewakuacji |
Faza dojazdu |
Czas międzyzielony |
Czas max |
|
|
|
s |
s |
|
AL |
DL |
5 |
5 |
FAZA III-I
|
Faza ewakuacji |
Faza dojazdu |
Czas międzyzielony |
Czas max |
|
|
|
s |
s |
|
DL |
BW |
5 |
6 |
|
DL |
AW |
6 |
|
Suma czasów międzyzielonych: 3+5+6=14 /12,427/
Skwencja 2 FAZY I-III-II
FAZA I-III
|
Faza ewakuacji |
Faza dojazdu |
Czas międzyzielony |
Czas max |
|
|
|
s |
s |
|
AW |
DL |
2 |
4 |
|
BW |
DL |
4 |
|
FAZA III-II
|
Faza ewakuacji |
Faza dojazdu |
Czas międzyzielony |
Czas max |
|
|
|
s |
s |
|
DL |
AL |
4 |
4 |
FAZA II-I
|
Faza ewakuacji |
Faza dojazdu |
Czas międzyzielony |
Czas max |
|
|
|
s |
s |
|
DP |
BW |
1 |
6 |
|
AL |
BW |
6 |
|
Suma czasów międzyzielonych: 4+4+6=14 /11,689/
Przyjęto ostatecznie sekwencję faz sygnalizacyjnych: I / III / II jako korzystniejszą z uwagi na mniejszą sumę czasów traconych w cyklu sygnalizacyjnym jako czasy międzyzielone.
Macierz grup kolizyjnych:
doj.
ewak. |
GK1 AW |
GK2 AL |
GK3 DP |
GK4 DL |
GK5 BP+BW |
GP6 PA |
GP7 PD |
|
|
|
|
X |
|
X |
|
|
|
|
|
X |
X |
X |
X |
|
|
|
|
|
X |
X |
X |
|
X |
X |
|
|
X |
|
X |
|
|
X |
X |
X |
|
X |
X |
|
X |
X |
X |
|
X |
|
|
|
|
X |
X |
X |
X |
|
|
10. Obliczenie natężeń nasycenia relacji.
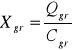
Ponieważ na wlotach/wylotach skrzyżowania nie występują przystanki autobusowe ani tramwajowe, więc ![]()
równy jest ![]()
10.1. Natężenie nasycenia relacji bezkolizyjnych.
Relacja na wprost
S0 - wyjściowe natężenie nasycenia [E/hz]
w - szerokość pasa ruchu [m]
i - średnie pochylenie wlotu na odcinku 30 m przed linią zatrzymań [%]
δi - wskaźnik kierunku pochylenia: δi = 1 (pod górę) δi = 0 (w dół)
uc - udział pojazdów ciężkich w ruchu
δk - wskaźnik położenia pasa: δk = 1 (dla pasów przy chodniku) δk = 0 (dla pasów nie sąsiadujących z chodnikiem)
δt - wskaźnik przejazdu przez torowisko tramwajowe: δk = 1 (gdy tor jazdy pojazdów przecina torowisko tramwajowe) δk = 0 gdy tor jazdy pojazdów nie przecina torowiska tramwajowego lub jego stan techniczny nie zmniejsza znacząco prędkości pojazdów.
R - promień skrętu z przedziału 6 - 35 [m]
fp - współczynnik uwzględniający wpływ ruchu pieszego fp ≤ 1
Ge - długość efektywnego sygnału zielonego [s]
T - długość cyklu sygnalizacji [s]
QP - natężenie ruchu pieszego [Ps/h], QP > 0
l - długość drogi dojazdu pojazdów skręcających w prawo mierzona od linii zatrzymań do przejścia dla pieszych [m]
Natężenie nasycenia wydzielonego pasa relacji na wprost z ![]()
![]()
Pas ruchu A1 AW-GK1
![]()
Natężenie nasycenia wydzielonego pasa relacji na wprost i w prawo z ![]()
Pas ruchu B5 BW+BP-GK5
![]()
Relacja skrętna bezkolizyjna
Natężenie nasycenia wydzielonego pasa ruchu dla bezkolizyjnej relacji skrętnej w lewo lub w prawo obliczam ze wzoru z ![]()
:

Pas ruchu A2 - skręt w lewo AL - GK2

Pas ruchu D4 - skręt w lewo DL-GK4

Pas ruchu D3 - skręt w prawo DP-GK3

NATĘŻENIA NASYCENIA RELACJI
WLOT |
RELACJA |
S0 |
w |
i |
δi |
δk |
δt |
R |
uc |
S |
|
|
[E.hz] |
[m] |
[%] |
|
|
|
[m] |
|
[P/hz] |
1 |
2 |
3 |
4 |
5 |
6 |
7 |
8 |
9 |
10 |
11 |
A |
AW1 |
1900 |
3,5 |
2 |
0 |
- |
- |
- |
0,07 |
1776 |
|
AL2 |
1900 |
3,5 |
2 |
0 |
0 |
0 |
15,00 |
0,07 |
1630 |
B |
BW+BP5 |
1700 |
3,5 |
2 |
1 |
- |
- |
- |
0,06 |
1547 |
D |
DL4 |
1900 |
3,5 |
1,5 |
0 |
0 |
0 |
15,00 |
0,08 |
1614 |
|
DP3 |
1900 |
3,5 |
1,5 |
0 |
1 |
0 |
12,00 |
0,08 |
1432 |
Obliczenie natężeń nasycenia pasów ruchu.
RELACJA |
PAS RUCHU |
GRUPA PASÓW |
1 |
2 |
3 |
AW1 |
A1 |
GK1 |
AL2 |
A2 |
GK2 |
DP3 |
D3 |
GK3 |
DL4 |
D4 |
GK4 |
BW+BP5 |
B5 |
GK5 |
Ponieważ każdą z obliczeniowych grup pasów tworzy odpowiednio jeden pas, to natężenie nasycenia poszczególnych grup pasów Sgr równe jest natężeniu nasycenia odpowiedniego dla grupy pasa ruchu Sj
11. Obliczenie wartości stopnia nasycenia w obliczeniowych grupach pasów:
![]()
- GK1 (AW)
![]()
- GK2 (AL.)
![]()
- GK3 (DP)
![]()
- GK4 (DL)
![]()
- GK5 (BW+BP)
![]()
12. Przepustowość obliczeniowych grup pasów:
RELACJA |
PAS RUCHU |
NATĘŻENIE NASYCENIA PASA RUCHU [P/hz] |
GRUPA PASÓW |
NATĘŻENIE NASYCENIA GRUPY PASÓW [P/hz] |
STOPIEŃ NASYCENIA GRUPY PASÓW |
1 |
2 |
3 |
4 |
5 |
6 |
AW1 |
A1 |
1776 |
GK1 |
1776 |
0,180 |
AL2 |
A2 |
1630 |
GK2 |
1630 |
0,085 |
BW+BP5 |
B5 |
1547 |
GK5 |
1547 |
0,255 |
DP3 |
D3 |
1432 |
GK3 |
1432 |
0,120 |
DL4 |
D4 |
1614 |
GK4 |
1614 |
0,133 |
Obliczenie długości cyklu sygnalizacyjnego oraz długości sygnałów zielonych.
Podział na grupy kołowe i maksymalne stopnie nasycenia w fazach:
FAZA I: GK1, GK5 ![]()
FAZA II: GK2, GK3 ![]()
FAZA III: GK4, ![]()
![]()
Przyjęto wstępnie:
Długość sygnału zielonego w fazie I:
G1 = 12 [s] - minimalny czas umożliwiający pieszym pokonanie całego przejścia o długości: l1 = 15,85 [m] na wlocie i wylocie D
Długość efektywnego sygnału zielonego w fazie I:
GeI = GI +Z-2 = 12 + 3 - 2 = 13 [s]
Długość cyklu sygnalizacyjnego:
Na podstawie sumy czasów międzyzielonych i minimalnych długości sygnałów zielonych z uwagi na możliwość pokonania przejść przez pieszych.
l1 = 15,85 [m] - przejście naraz GI = 12 [s]
l2max = 5,85 [m] - przejście etapowe GII = 5 [s]
l3max = 7,00 [m] - przejście etapowe GIII = 5 [s]
tmI = 4 [s]
tmII = 4 [s]
tmIII = 6 [s]
![]()
![]()
przyjęto wstępnie: T = 36 [s]
Obliczenie minimalnej długości cyklu:

![]()
tstr - czas stracony w cyklu
tmf - czas międzyzielony przejścia fazowego (po fazie f)
![]()
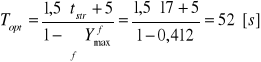
Obliczenie optymalnej długości cyklu (wg Webster'a):

Przyjęto długość cyklu: T = 36 [s] spełniającą warunek:
![]()
Obliczenie min długości sygnałów zielonych w fazach ze względu na pojazdy:

![]()
FAZA I: ![]()
FAZA II: ![]()
FAZA III: ![]()
Obliczenie min długości sygnałów zielonych w fazach z uwagi na pieszych:
FAZA I:

![]()
tep - czas ewakuacji pieszych
lp = 15,85 [m] - długość przejścia dla pieszych - piesi pokonują całe przejście
le = 7,00[m] -długość drogi ewakuacji pieszych (maxdługości przejść na wlocie i wylocieD)
vp = 1,4 [m/s] - prędkość pieszego
![]()
![]()
GI z warunku: ![]()
![]()
Przyjęto: GI = 18 [s]
FAZA II:
lp = 0[m] - długość przejścia dla pieszych (max długości przejść na wlocie i wylocie B) - piesi pokonują przejście etapowo
le = 0[m] - długość drogi ewakuacji pieszych (max długości przejść na wlocie i wylocie B)
vp = 1,4 [m/s]
![]()
![]()
GII z warunku: ![]()
![]()
Przyjęto: GII = 0[s] BRAK PRZEJŚCIA
FAZA III:
lp = 7,00 [m] - długość przejścia dla pieszych (max długości przejść na wlocie i wylocie A) - piesi pokonują przejście etapowo
le = 13,50 [m] - długość drogi ewakuacji pieszych (max długości przejść na wlocie i wylocie A)
vp = 1,4 [m/s]
![]()
![]()
GIII z warunku: ![]()
![]()
Przyjęto: GIII = 14 [s]
Długości czasów międzyzielonych wymagane z uwagi na kolizje z uwzględnieniem strumieni pieszych:
PRZEJŚCIE FAZOWE |
CZAS MIĘDZYZIEL. DLA KOLIZJI STRUMIENI „KOŁOWO-KOŁOWYCH” |
CZAS MIĘDZYZIEL. DLA KOLIZJI STRUMIENI „PIESZO-KOŁOWYCH” |
CZAS MIĘDZYZIEL. DLA KOLIZJI STRUMIENI „KOŁOWO-PIESZYCH” |
PRZYJĘTY CZAS MIĘDZY ZIELONY |
|
tmfk-k [s] |
tmfps-k [s] |
tmfk-ps [s] |
tmf [s] |
1 |
2 |
3 |
4 |
5 |
I / III |
4 |
4 |
7 |
4 |
III / II |
4 |
5 |
12 |
4 |
II / I |
6 |
5 |
12 |
12 |
Decydujący wpływ na długość cyklu sygnalizacyjnego ma minimalna długość sygnału zielonego wymaganego z uwagi na ruch pieszych w fazie II ze względu na najmniejszy max stopień nasycenia w tej fazie. Przyjęcie minimalnej długości tego sygnału: GII = 15 [s] i odpowiednio długości czasu międzyzielonego: tmII = 7 [s] uniemożliwia zapewnienie minimalnej długości czasu międzyzielonego z uwagi na kolizję strumieni kołowych z pieszymi: tmIIk-ps = 12 [s]. Dlatego do dalszych obliczeń przyjęto: tmII = 12 [s].
Skorygowana po przyjęciu tmII = 12 [s] minimalna długość sygnału zielonego w fazie II z uwagi na pieszych :
FAZA II:
lp = 8,50 [m]
le = 8,50 [m]
vp = 1,4 [m/s]
![]()
![]()
GII z warunku: ![]()
![]()
Przyjęto: GII = 7 [s]
Skorygowane długości sygnałów zielonych po uwzględnieniu wpływu ruchu pieszego proporcjonalne do max stopni nasycenia w fazach
GII = 7 [s]


Wartość GIII = 8 [s] jest mniejsza niż min. długość sygnału zielonego dla pieszych w fazie III GIII = 10 [s] a wydłużenie sygnału dla pieszych nie jest możliwe bez zmiany długości cyklu z uwagi na wymagany czas międzyzielony: tmIIIps-k = 4 [s] dlatego do dalszych obliczeń przyjęto długość sygnału zielonego w fazie III: GIII = 10 [s]
Skorygowane długości sygnałów zielonych po przyjęciu: GIII = 10 [s]
GIII = 10 [s]


Wartość GII = 10 [s] jest mniejsza niż min. długość sygnału zielonego dla pieszych w fazie II GII = 15 [s] a wydłużenie sygnału dla pieszych nie jest możliwe bez zmiany długości cyklu z uwagi na wymagany czas międzyzielony: tmIIps-k = 7 [s] dlatego do dalszych obliczeń przyjęto długość sygnału zielonego w fazie II: GII = 15 [s]
Skorygowane długości sygnałów zielonych po przyjęciu: GII = 15 [s]
GII = 15 [s]


Skorygowana długość cyklu
![]()
przyjęto: T = 81 [s]
Długości efektywnych sygnałów zielonych w fazach
![]()
FAZA I: ![]()
FAZA II: ![]()
FAZA III: ![]()
DRUGI KROK ITERACJI OBLICZENIA DŁUGOŚCI CYKLU SYGNALIZACYJNEGO I SYGNAŁÓW ZIELONYCH
Obliczenie minimalnej długości cyklu:

![]()
![]()
Obliczenie optymalnej długości cyklu (wg Webster'a):

Przyjęto długość cyklu: T = 81 [s]:
![]()
Obliczenie długości sygnałów zielonych w fazach ze względu na pojazdy:

![]()
FAZA I: ![]()
FAZA II: ![]()
FAZA III: ![]()
Obliczenie minimalnej długości sygnałów zielonych w fazach z uwagi na pieszych:
FAZA I: GI = 17 [s]
FAZA II: GII = 15 [s]
FAZA III: GIII = 10 [s]
Skorygowane długości sygnałów zielonych:
FAZA I: GI = 30 [s]
FAZA II: GII = 15 [s]
FAZA III: GIII = 16 [s]
Skorygowana długość cyklu po uwzględnieniu długości sygnałów zielonych (zgodna z obliczoną w pkt 2.8.4)
![]()
przyjęto: T = 81 [s]
Długości efektywnych sygnałów zielonych w fazach
FAZA I: ![]()
FAZA II: ![]()
FAZA III: ![]()
PRZYJĘTE DŁUGOŚCI SYGNAŁÓW ZIELONYCH, CZASÓW MIĘDZYZIELONYCH I CYKLU SYGNALIZACYJNEGO
FAZA |
MAX. STOPIEŃ NASYCENIA W FAZIE |
DŁ. SYGN. ZIEL. DLA POJAZDÓW |
DŁ.. CZASÓW MIĘDZYZIEL. DLA POJAZDÓW |
DŁUGOŚCI SYGN. ZIEL. DLA PIESZYCH |
DŁ. CZASÓW MIĘDZYZIEL. DLA PIESZYCH |
DŁUGOŚĆ CYKLU |
|
Ymaxf |
Gf [s] |
tmf [s] |
Gf ps [s] |
tmfps [s] |
T [s] |
1 |
2 |
3 |
4 |
5 |
6 |
7 |
I |
0,202 |
30 |
4 |
30 |
4 |
81 |
II |
0,102 |
15 |
12 |
15 |
5 |
|
III |
0,108 |
16 |
4 |
16 |
5 |
|
PRZEPUSTOWOŚCI I STOPNIE OBCIĄŻENIA
Przepustowości pasów ruchu
![]()
Sj - natężenie nasycenia pasa ruchu [P/hz]
Ge- efektywny sygnału zielonego [s]
T = 81 [s]
WLOT A
A1: SA1 = 1963 [P/h]
GeI = 30 [s]
![]()
A2: SA2 = 1578 [P/h]
GeII = 15 [s]
![]()
WLOT B
B6: SB6 = 1943 [P/h]
GeI = 30 [s]
![]()
B5: SB5 = 1430 [P/h]
GeIII = 16 [s]
![]()
WLOT D
D3: SD3 = 1408 [P/h]
GeII = 15 [s]
![]()
D4: SD4 = 1622 [P/h]
GeIII = 16 [s]
![]()
Przepustowości obliczeniowych grup pasów

Sgr - natężenie nasycenia grupy pasów [P/hz]
GK1: ![]()
GK2: ![]()
GK3: ![]()
GK4: ![]()
GK5: ![]()
GK6: ![]()
Stopnie obciążenia obliczeniowych grup pasów

GK1: ![]()
GK2: ![]()
GK3: ![]()
GK4: ![]()
GK5: ![]()
GK6: ![]()
Przepustowości sprowadzone wlotów

Cgr - przepustowość danej grupy pasów na wlocie [P/h]
mgrwl - procentowy udział ruchu z analizowanej grupy pasów w ruchu na wlocie [%]

- minimalna wartość wyrażeń 
dla wszystkich obliczeniowych grup pasów na wlocie
WLOT A:
GK1: ![]()
![]()
GK2: ![]()
![]()
Przepustowość wlotu A: CA=971 [P/h]
WLOT B:
GK5: ![]()
![]()
GK6: ![]()
![]()
Przepustowość wlotu B: CB=890 [P/h]
WLOT D:
GK3: ![]()
![]()
GK4: ![]()
![]()
Przepustowość wlotu D: CD=462 [P/h]
Stopnie obciążenia wlotów
![]()
WLOT A: ![]()
WLOT B: ![]()
WLOT D: ![]()
Przepustowość sprowadzona skrzyżowania

![]()
mgrsk - procentowy udział ruchu z analizowanej grupy pasów w ruchu na skrzyżowaniu [%]

- minimalna wartość wyrażeń 
dla wszystkich obliczeniowych grup pasów na skrzyżowaniu
Qsk - natężenie ruchu na skrzyżowaniu [P/h]
![]()
![]()
![]()
![]()
![]()
![]()
![]()

Stopień obciążenia skrzyżowania
![]()
PRZEPUSTOWOŚCI PRAKTYCZNE I REZERWY PRZEPUSTOWOŚCI PRAKTYCZNYCH
Przepustowości praktyczne obliczono dla dopuszczalnej wartość stopnia obciążenia: Xd = 0,85
![]()
- przepustowość praktyczna
![]()
- rezerwa przepustowości praktycznej
Przepustowości praktyczne i rezerwy przepustowości praktycznych obliczeniowych grup pasów
GK1: ![]()
![]()
GK2: ![]()
![]()
GK3: ![]()
![]()
GK4: ![]()
![]()
GK5: ![]()
![]()
GK6: ![]()
![]()
Przepustowości praktyczne i rezerwy przepustowości praktycznych wlotów
WLOT A: ![]()
![]()
WLOT B: ![]()
![]()
WLOT D: ![]()
![]()
Przepustowość praktyczna i rezerwa przepustowości praktycznej skrzyżowania
![]()
![]()
OKREŚLENIE MIARODAJNYCH WARUNKÓW RUCHU
Straty czasu i poziomy swobody ruchu
Średnie straty czasu na obliczeniowych grupach pasów
![]()
dgr - średnia strata czasu w obliczeniowej grupie pasów
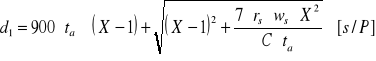
d1 - straty czasu wynikające z zatrzymań na sygnale czerwonym (tzw. regularne straty czasu na podstawie założenia stałego dopływu, z jednakowymi odstępami między pojazdami) [s/P]
d2 - straty czasu wynikające z losowych wahań ruchu i okresowych przeciążeń obliczeniowych grup pasów [s/P]
fk - współczynnik koordynacji sygnalizacji


![]()
- udział efektywnego sygnału zielonego Ge w cyklu sygnalizacji T
C - przepustowość obliczeniowej grupy pasów [P/h]
ta - okres analizy [h], obejmujący okres o stałej wartości natężenia strumienia dopływającego
![]()
- maksymalna liczba pojazdów, jaka może być obsłużona w okresie ta
![]()
- stopień obciążenia analizowanej obliczeniowej grupy pasów
rs - współczynnik uwzględniający rodzaj sterowania
ws - współczynnik uwzględniający obecność sąsiednich skrzyżowań z sygnaliza-cją świetlną
![]()
![]()
- udział pojazdów dojeżdżających w czasie sygnału zielonego
Rp - współczynnik rozproszenia kolumny pojazdów dojeżdżających do wlotu
fPG - dodatkowy współczynnik uwzględniający dojazd kolumny pojazdów w czasie sygnału zielonego
Przyjęto dla wszystkich obliczeniowych grup pasów:
fk = 1,0 - z uwagi na brak danych dotyczących sąsiednich skrzyżowań założono dopływy nieskoordynowane.
ta = 0,25 [h] - z uwagi na 15-tominutowe wahania natężenia ruchu: k15 = 0,91
rs = 0,5 - dla sygnalizacji cyklicznej stałoczasowej
ws = 1,0 - z uwagi na brak danych dotyczących sąsiednich skrzyżowań - jak dla skrzyżowania odosobnionego
T = 81 [s]
GK1: ![]()
![]()


![]()
GK2: ![]()
![]()


![]()
GK3: ![]()
![]()


![]()
GK4: ![]()
![]()


![]()
GK5: ![]()
![]()


![]()
Poziomy swobody ruchu na obliczeniowych grupach pasów.
Poziomy swobody ruchu na obliczeniowych grupach pasów określono na podstawie średnich strat czasu (tabl. 6.5.)
GK1: ![]()
![]()
GK2: ![]()
![]()
GK3: ![]()
![]()
GK4: ![]()
![]()
GK5: ![]()
![]()
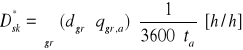
Łączne straty czasu na obliczeniowych grupach pasów w okresie analizy ta = 1 [h]
![]()
![]()
Dgr - łączne straty czasu wszystkich pojazdów na obliczeniowej grupie pasów w okresie analizy ta [h] wyrażone w [s/ta]
Dgr* - ekwiwalentne łączne straty czasu wszystkich pojazdów na obliczeniowej grupie pasów transponowane z okresu analizy ta [h] na okres godzinny, wyrażone w [h/h]
dgr - jednostkowe straty czasu w obliczeniowej grupie pasów [s/P]
qgr,a - natężenie strumienia dopływającego na wszystkich pasach obliczeniowej grupy pasów w okresie analizy ta [P/ta]
GK1: ![]()
![]()
GK2: ![]()
![]()
GK3: ![]()
![]()
GK4: ![]()
![]()
GK5: ![]()
![]()
Średnie straty czasu na wlotach

dgr - średnie straty czasu na obliczeniowej grupie pasów [s/P]
Qgr - natężenia ruchu na obliczeniowej grupie pasów [P/h]
WLOT A: ![]()
WLOT B: ![]()
WLOT C: ![]()
Poziomy swobody ruchu na wlotach.
Poziomy swobody ruchu na wlotach określono na podstawie średnich strat czasu (tabl. 6.5.)
WLOT A: ![]()
![]()
WLOT B: ![]()
![]()
WLOT C: ![]()
![]()
Łączne straty czasu na wlotach w okresie analizy ta = 1 [h]
![]()
![]()
Dwl - łączne straty czasu wszystkich pojazdów na wlocie w okresie analizy ta [h] wyrażone w [s/ta]
Dwl* - ekwiwalentne łączne straty czasu wszystkich pojazdów na wlocie transponowane z okresu analizy ta [h] na okres godzinny, wyrażone w [h/h]
WLOT A: ![]()
![]()
WLOT B: ![]()
![]()
WLOT C: ![]()
![]()
Średnie straty czasu na skrzyżowaniu

dwl - średnie straty czasu na wlotach [s/P]
Qwl - natężenia ruchu na wlotach [P/h]
![]()
Poziom swobody ruchu na skrzyżowaniu
Poziomy swobody ruchu skrzyżowaniu określono na podstawie średnich strat czasu (tabl. 6.5.)
![]()
![]()
Łączne straty czasu na skrzyżowaniu w okresie analizy ta = 1 [h]
![]()

Dsk - łączne straty czasu wszystkich pojazdów na skrzyżowania w okresie analizy ta [h] wyrażone w [s/ta]
Dsk* - ekwiwalentne łączne straty czasu wszystkich pojazdów na skrzyżowaniu transponowane z okresu analizy ta [h] na okres godzinny, wyrażone w [h/h]


Kolejki pojazdów
Średnie kolejki pozostające na końcu sygnału zielonego w obliczeniowej grupie pasów

Kp - średnia kolejka pozostająca [P] łącznie na wszystkich pasach obliczeniowej grupy pasów
C - przepustowość obliczeniowej grupy pasów [P/h]
ta - okres analizy [h], obejmujący okres o stałej wartości natężenia strumienia dopływającego (ta = 1 [h])
![]()
- maksymalna liczba pojazdów, jaka może być obsłużona w okresie ta
![]()
- stopień obciążenia analizowanej obliczeniowej grupy pasów
rs - współczynnik uwzględniający rodzaj sterowania (rs = 0,5 - dla sygnalizacji cyklicznej stałoczasowej)
ws - współczynnik uwzględniający obecność sąsiednich skrzyżowań z sygnaliza-cją świetlną (ws = 1,0 - dla skrzyżowania odosobnionego)
GK1: ![]()
![]()

GK2: ![]()
![]()

GK3: ![]()
![]()

GK4: ![]()
![]()

GK5: ![]()
![]()

Średnie maksymalne długości kolejek w obliczeniowych grupach pasów.
![]()
Kp - średnia kolejka pozostająca [P] łącznie na wszystkich pasach obliczeniowej grupy pasów
q - natężenie potoku dopływającego na wszystkich pasach danej obliczeniowej grupy pasów [P/s]
![]()
- długość efektywnego sygnału czerwonego [s]
![]()
- udział efektywnego sygnału zielonego Ge w cyklu sygnalizacji T
![]()
- stopień obciążenia analizowanej obliczeniowej grupy pasów
GK1: ![]()
![]()
![]()

GK2: ![]()
![]()
![]()

GK3: ![]()
![]()
![]()

GK4: ![]()
![]()
![]()

GK5: ![]()
![]()
![]()

Kwantyle 95% z rozkładu kolejek maksymalnych Km95
![]()
Km - średnia kolejka maksymalna [P]
fkw95 - współczynnik kwantyla 95% kolejki maksymalnej
![]()
w1, w2, w3 - parametry współczynnika kwantyla 95% kolejki maksymalnej (dla sygnalizacji stałoczasowej: w1 = 1,60 w2 = 1,08 w3 = 6,60)
GK1: ![]()
![]()
![]()
GK2: ![]()
![]()
![]()
GK3: ![]()
![]()
![]()
GK4: ![]()
![]()
![]()
GK5: ![]()
![]()
![]()
Zasięg kolejek maksymalnych
![]()
LK - zasięg kolejki w [m] na jednym pasie obliczeniowej grupy pasów
Km95 - kwantyl 95% rozkładu kolejek maksymalnych
ngr - liczba pasów w obliczeniowej grupie pasów
lp - średnia długość stanowiska pojazdu w kolejce. [m]
![]()
ll - średnia długość w kolejce pojazdu lekkiego: 6,2 [m]
lc - średnia długość w kolejce pojazdu ciężkiego: 13,0 [m]
uc - udział pojazdów ciężkich w ruchu na obliczeniowej grupie pasów
GK1: ![]()
![]()
![]()
![]()

GK2: ![]()
![]()
![]()
![]()

GK3: ![]()
![]()
![]()
![]()

GK4: ![]()
![]()
![]()
![]()

GK5: ![]()
![]()
![]()
![]()

Zatrzymania
Średnia liczba zatrzymań na pojazd (wskaźnik zatrzymań) w obliczeniowych grupach pasów

![]()
- udział efektywnego sygnału zielonego Ge w cyklu sygnalizacji: T = 86 [s]

- stopień obciążenia analizowanej obliczeniowej grupy pasów
qgr - natężenie potoku dopływającego na wszystkich pasach danej obliczeniowej grupy pasów [P/s]
Kpgr - średnia kolejka pozostająca [P] łącznie na wszystkich pasach obliczeniowej grupy pasów
GK1: ![]()
![]()
![]()
![]()

GK2: ![]()
![]()
![]()
![]()

GK3: ![]()
![]()
![]()
![]()

GK4: ![]()
![]()
![]()
![]()

GK5: ![]()
![]()
![]()
![]()

Liczba zatrzymań pojazdów w obliczeniowych grupach pasów w okresie analizy: ta = 1 [h]
![]()
zgr - wskaźnik zatrzymań w obliczeniowej grupie pasów [z/P]
qgr,a - natężenie strumienia dopływającego na wszystkich pasach obliczeniowej grupy pasów w okresie analizy ta [P/ta]
GK1: ![]()
![]()
![]()
GK2: ![]()
![]()
![]()
GK3: ![]()
![]()
![]()
GK4: ![]()
![]()
![]()
GK5: ![]()
![]()
![]()
Udział pojazdów zatrzymanych w ogólnej liczbie pojazdów w obliczeniowych grupach pasów
![]()
GK1: ![]()
![]()
![]()
GK2: ![]()
![]()
![]()
GK3: ![]()
![]()
![]()
GK4: ![]()
![]()
![]()
GK5: ![]()
![]()
![]()
Liczba pojazdów zatrzymanych w obliczeniowych grupach pasów w okresie analizy: ta = 1 [h]
![]()
uzgr - udział pojazdów zatrzymanych w ogólnej liczbie pojazdów w obliczeniowych grupach pasów
qgr,a - natężenie strumienia dopływającego na wszystkich pasach obliczeniowej grupy pasów w okresie analizy ta [P/ta]
GK1: ![]()
![]()
![]()
GK2: ![]()
![]()
![]()
GK3: ![]()
![]()
![]()
GK4: ![]()
![]()
![]()
GK5: ![]()
![]()
![]()
Średnia liczba zatrzymań na pojazd (wskaźnik zatrzymań) na wlotach

WLOT A: ![]()
WLOT B: ![]()
![]()
![]()
![]()
![]()
WLOT C: ![]()
![]()
![]()
![]()
![]()
Udział pojazdów zatrzymanych w ogólnej liczbie pojazdów na wlotach

WLOT A: ![]()
WLOT B: ![]()
![]()
![]()
![]()
![]()
WLOT C: ![]()
![]()
![]()
![]()
![]()
Średnia liczba zatrzymań na pojazd (wskaźnik zatrzymań) na wlotach

![]()
![]()
![]()
![]()
![]()
![]()
![]()
Udział pojazdów zatrzymanych w ogólnej liczbie pojazdów na wlotach

![]()
![]()
![]()
![]()
![]()
![]()
![]()
ZESTAWIENIE WYNIKÓW
WLOT |
A |
B |
C |
|||||
GRUPA PASÓW |
GK1 |
GK2 |
GK3 |
GK4 |
GK5 |
|||
PAS RUCHU |
A1 |
A2 |
B3 |
B2 |
B1 |
C2 |
C1 |
|
RELACJA |
AW1 |
AW2 |
AP |
BW1 |
BW2 |
BL |
CP |
CL |
GRUPA SYGNALIZACYJNA |
K1 |
K2 |
K3 |
K4 |
K5 |
|||
FAZA SYGNALIZACJI |
I |
III |
II |
|||||
DŁUGOŚĆ SYGN. ZIELONEGO DLA POJAZDÓW [s] |
33 |
12 |
22 |
|||||
UDZIAŁ EFEKTYWNEGO SYGNAŁU ZIELONEGO λ |
0,395 |
0,151 |
0,267 |
|||||
DŁUGOŚĆ SYGN. ZIELONEGO DLA PIESZYCH [s] |
30 |
12 |
22 |
|||||
DŁUGOŚĆ CYKLU SYGNALIZACYJNEGO [s] |
86 |
|||||||
NATĘŻENIE NASYCENIA RELACJI [E/hz] |
1743 |
1560 |
1028 |
1759 |
1759 |
1686 |
1430 |
1645 |
NATĘŻENIE NASYCENIA PASA RUCHU [P/hz] |
1743 |
1365 |
1759 |
1759 |
1686 |
1430 |
1645 |
|
NATĘŻENIE NASYCENIA GRUPY PASÓW [P/hz] |
3108 |
3518 |
1686 |
1430 |
1645 |
|||
STOPIEŃ NASYCENIA GRUPY PASÓW Y |
0,212 |
0,065 |
0,142 |
0,079 |
0,077 |
|||
MAX STOPIEŃ NASYCENIA W FAZIE Ymax |
0,212 |
0,142 |
0,077 |
|||||
UDZIAŁ POJAZDÓW CIĘŻKICH W RUCHU uc |
0,09 |
0,08 |
0,11 |
|||||
NATĘŻENIE RUCHU RELACJI [P/h] |
580 |
80 |
500 |
110 |
110 |
130 |
||
PRZEPUSTOWOŚĆ PASA RUCHU Cj [P/h] |
689 |
540 |
695 |
695 |
451 |
382 |
249 |
|
PRZEPUSTOWOŚĆ GRUPY PASÓW Cgr [P/h] |
1229 |
1390 |
451 |
382 |
249 |
|||
STOPIEŃ OBCIĄŻENIA GRUPY PASÓW Xgr |
0,537 |
0,360 |
0,244 |
0288 |
0,522 |
|||
PRZEPUSTOWOŚĆ SPROW. WLOTU Cwl [P/h] |
1229 |
1695 |
461 |
|||||
STOPIEŃ OBCIĄŻENIA WLOTU Xwk |
0,537 |
0,360 |
0,521 |
|||||
PRZEPUSTOWOŚĆ SPROW. SKRZYŻOWANIA Csk [P/h] |
2767 |
|||||||
STOPIEŃ OBCIĄŻENIA SKRZYŻOWANIA Xsk |
0,546 |
|||||||
ŚREDNIA STRATA CZASU W GRUPIE PASÓW dgr [s/P] |
20,8 |
18,5 |
25,0 |
25,5 |
37,2 |
|||
PSR GRUPY PASÓW |
II |
I |
II |
II |
II |
|||
ŚREDNIA STRATA CZASU W GRUPIE PASÓW dwl [s/P] |
20,8 |
19,7 |
31,8 |
|||||
PSR WLOTU |
II |
I |
II |
|||||
ŚREDNIA STRATA CZASU NA SKRZYŻOWANIU dwl [s/P] |
22,1 |
|||||||
ŚREDNIA KOLEJKA POZOST. W GRUPIE PASÓW Kp [P] |
0,27 |
0,09 |
0,03 |
0,05 |
0,25 |
|||
ŚREDNIA KOLEJKA MAX W GRUPIE PASÓW Km [P] |
12 |
9 |
2 |
2 |
3 |
|||
KWANTYL 95% ROZKŁADU KOLEJEK MAX Km95 [P] |
21 |
17 |
5 |
5 |
7 |
|||
ZASIĘG KOLEJKI MAX LK [m] NA JEDNYM PASIE GRUPY |
72 |
57 |
34 |
35 |
49 |
|||
WSKAŹNIK ZATRZYMAŃ W GRUPIE PASÓW zgr [z/P] |
0,707 |
0,642 |
0,795 |
0,732 |
0,902 |
|||
LICZBA ZATRZYMAŃ POJAZDÓW W GRUPIE PASÓW Zgr [P/h] |
467 |
321 |
87 |
81 |
117 |
|||
UDZIAŁ POJAZDÓW ZATRZYMANYCH W GRUPIE PASÓW uzgr |
0,691 |
0,635 |
0,706 |
0,715 |
0,829 |
|||
ZESTAWIENIE WYNIKÓW CD.
WLOT |
A |
B |
C |
|||||
GRUPA PASÓW |
GK1 |
GK2 |
GK3 |
GK4 |
GK5 |
|||
PAS RUCHU |
A1 |
A2 |
B3 |
B2 |
B1 |
C2 |
C1 |
|
RELACJA |
AW1 |
AW2 |
AP |
BW1 |
BW2 |
BL |
CP |
CL |
LICZBA POJAZDÓW ZATRZYMANYCH W GRUPIE PASÓW Pzgr [P/h] |
456 |
318 |
78 |
79 |
108 |
|||
WSKAŹNIK ZATRZYMAŃ NA WLOCIE zwl [z/P] |
0,707 |
0,670 |
0,823 |
|||||
LICZBA ZATRZYMAŃ POJAZDÓW NA WLOCIE Zwl [P/h] |
467 |
408 |
198 |
|||||
UDZIAŁ POJAZDÓW ZATRZYMANYCH NA WLOCIE uzwl |
0,691 |
0,648 |
0,777 |
|||||
LICZBA POJAZDÓW ZATRZYMANYCH NA WLOCIE Pzwl [P/h] |
456 |
396 |
187 |
|||||
WSKAŹNIK ZATRZYMAŃ NA SKRZYŻOWANIU zsk [z/P] |
0,711 |
|||||||
LICZBA ZATRZYMAŃ POJAZDÓW NA SKRZYŻOWANIU Zwl [P/h] |
1073 |
|||||||
UDZIAŁ POJAZDÓW ZATRZYMANYCH NA SKRZYŻOWANIU uzsk |
0,687 |
|||||||
LICZBA POJAZDÓW ZATRZYMANYCH NA SKRZYŻOWANIU Pzwl [P/h] |
1039 |
|||||||
|
|
|
|
|
|
|
|
|
WNIOSKI:
Strona 10 z 30
PA 200 Ps/h
AW 300 P/h
AL 130 P/h
BW 210 P/h BP 160 P/h
PD 250 Ps/h
DP 160 P/h
DL 200 P/h
GK3
GK4
GK2
GK1
GK5
GK1
GP6
GK3
GK2
GK4
GP7
GP6
GP7
GK5
