Doświadczenie polegało na przepuszczeniu wiązki światła laserowego o długości fali ![]()
[m] prze dwie siatki dyfrakcyjne I dokonane zostały pomiary:
Tabela pomiarów dla siatki dyfrakcyjnej fotograficznej w odległości D = 910 [mm]
|
|
|
|
|
1 |
17 |
18 |
17,5 |
0,019 |
2 |
36 |
35 |
35,5 |
0,039 |
3 |
54 |
53 |
53,5 |
0,059 |
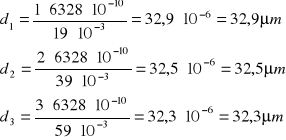
Wartości stałej dyfrakcyjnej dla siatki dyfrakcyjnej fotograficznej dla D = 910 [mm]

Tabela pomiarów dla siatki dyfrakcyjnej fotograficznej w odległości D = 610 [mm]
|
|
|
|
|
1 |
11 |
12 |
11,5 |
0,019 |
2 |
25 |
24 |
24,5 |
0,038 |
3 |
36 |
35 |
35,5 |
0,058 |
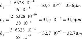
Wartości stałej dyfrakcyjnej dla siatki dyfrakcyjnej fotograficznej dla D = 610 [mm]
![]()

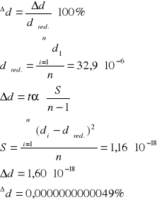
Obliczenie błędu względnego:

Tabela zależności sinα=ak
k |
sinα = d |
a |
1 |
0,019 |
0,01900 |
2 |
0,039 |
0,01950 |
3 |
0,059 |
0,01967 |
Tabela pomiarów dla siatki polimerowej
D [mm] |
k |
|
|
|
|
100 |
1 |
35 |
34 |
34,5 |
|
200 |
1 |
70 |
68 |
69 |
|
400 |
1 |
142 |
140 |
141 |
|
Wartości stałej dyfrakcyjnej dla siatki polimerowej:

Średnia wartość stałej dyfrakcyjnej dla siatki polimerowej:
![]()
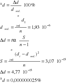
Obliczenie błędu:

W doświadczeniu zaobserwowano różnicę pomiędzy obrazami otrzymanymi w wyniku dyfrakcji I interferencji światła laserowego. Różnica pomiędzy obrazami otrzymanymi na ekranie spowodowana jest tym iż siatka dyfrakcyjna fotograficzna jest zbiorem szczelin o czym świadczą różnice pomiędzy stałymi siatki względem prożka zerowego, natomiast siatka dyfrakcyjna polimerowa jest siatką dyfrakcyjną składającą się z pojedynczej szczeliny jako iż stała dyfrakcyjna ma wartość mniej więcej stałą.
1