Monika Rapacz
Gr lab 8.
Metody Optymalizacji Dyskretnej
Problem Komiwojażera
Sprawozdanie nr 3
n - miast
cij - odległość miedzy i-tym a j-tym miastem
Zapis modelu matematycznego w AMPL:
Wariant A
var x{i in N, j in N} binary; `zmienna decyzyjna:
minimize droga: sum{i in N, j in N}c[i,j]*x[i,j]; ` funkcja celu:
`ograniczenia:
subject to OUTPUT{i in N: i>1}: sum {j in N:j<>i}x[i,j]=1;
subject to INPUT {j in N: j>1}: sum{i in N:i<>j}x[i,j]=1;
subject to CICLE{s in SQ}: sum{i in Q[s], j in N diff Q[s]}x[i,j]>=1;
`podcykle miast
set Q[1]:= 1;
set Q[2]:= 2;
set Q[3]:= 3;
set Q[4]:= 4;
set Q[5]:=5;
set Q[6]:= 1,2;
set Q[7]:= 1,3;
set Q[8]:= 1,4;
set Q[9]:= 1,5;
set Q[10]:= 2,3;
set Q[11]:= 2,4;
set Q[12]:= 2,5;
set Q[13]:= 3,4;
set Q[14]:= 3,5;
set Q[15]:= 4,5;
set Q[16]:= 1,2,3;
set Q[17]:= 1,2,4;
set Q[18]:= 1,2,5;
set Q[19]:= 1,3,4;
set Q[20]:= 1,3,5;
set Q[21]:= 1,4,5;
set Q[22]:= 2,3,4;
set Q[23]:= 2,3,5;
set Q[24]:= 2,4,5;
set Q[25]:= 3,4,5;
set Q[26]:= 1,2,3,4;
set Q[27]:= 1,2,3,5;
set Q[28]:= 1,2,4,5;
set Q[29]:= 1,3,4,5;
parametr cij - odległość między miastem i a miastem j:
param c:1 2 3 4 5:=
1 0 105 255 655 1005
2 100 0 415 450 540
3 250 410 0 275 486
4 650 420 300 0 25
5 1000 360 481 25 0;
Wariant B
var x{i in N, j in N} binary; `zmienna decyzyjna
minimize droga: sum{i in N, j in N: i>j}c[i,j]*x[i,j]; `funkcja celu
subject to OUTPUT{i in N}: sum{j in N}x[i,j]=2; `ograniczenia
subject to INPUT{j in N}: sum{i in N}x[i,j]=2;
subject to droga{i in N, j in N}: x[i,j]=x[j,i];
subject to ogr4{i in N}: x[i,i]=0;
parametr cij - odległość między miastem i a miastem j:
param c:1 2 3 4 5:=
1 0 100 250 650 1000
2 100 0 410 420 360
3 250 410 0 300 481
4 650 420 300 0 25
5 1000 360 481 25 0;
Interpretacja otrzymanych wyników:
Wariant A
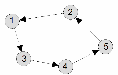
Wyznaczenie drogi, jaką pokonuje komiwojażer:
x[1,3] * 1
x[2,1] * 1
x[3,4] * 1
x[4,5] * 1
x[5,2] * 1
graficznie:

Po jej uporządkowaniu otrzymujemy:
z miasta 1 do miasta 3,
z miasta 3 do miasta 4,
z miasta 4 do miasta 5,
z miasta 5 do miasta 2
i z miasta 2 do miasta 1.
Długość tej trasy to 1015.
W wariancie A w kolumnie Activity poszczególne ograniczenia oznaczają:
Wartość 1 dla INPUT i OUTPUT oznacza, że komiwojażer przejeżdża przez dane miasto (tylko raz) , ponieważ wjeżdża do miasta (input) i wyjeżdża z niego (output) .
Wartość 2 dla CICLE w danych podcyklach, występują gdy nie ma określonego kierunku wejścia do danego podcyklu , istnieją dwie możliwości.
Podcykle, które nie wchodzą w skład wyznaczonej drogi:
CICLE3[8] 2
CICLE3[9] 2
CICLE3[10] 2
CICLE3[11] 2
CICLE3[14] 2
CICLE3[17] 2
CICLE3[20] 2
CICLE3[21] 2
CICLE3[22] 2
CICLE3[23] 2
Na przykładzie liczbowym działania ograniczenia na podcykle można stwierdzić, że w przypadku wariantu A, komiwojażer zaczynając od miasta 1 zmierza do miasta 3 , a tym samym kombinacje z 1 stają się niemożliwe do realizowania, w tym momencie każdy inny podcykl staje się niemożliwy do wybrania, taka sama sytuacja zachodzi w każdym kolejnym mieście do którego się udaje. Graficzną interpretacje tego stwierdzenia można zauważyć na grafie - wybór konkretnej drogi przez komiwojażera wyklucza powrót tą samą drogą.
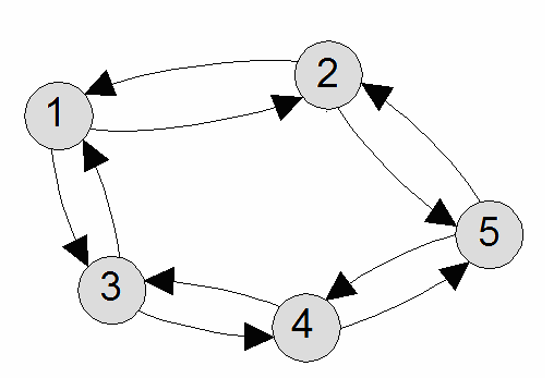
Wariant B
Wyznaczenie drogi, jaką pokonuje komiwojażer:

x[2,1] * 1 0 1
x[3,1] * 1 0 1
x[4,3] * 1 0 1
x[5,2] * 1 0 1
x[5,4] * 1 0 1
x[1,2] * 1 0 1
x[1,3] * 1 0 1
x[3,4] * 1 0 1
x[2,5] * 1 0 1
x[4,5] * 1 0 1
Długość drogi jaką przebywa komiwojażer to 1035
Powtarzanie się par wierzchołków jest spowodowane brakiem ograniczenia porządkującego kolejność.
W wariancie B poszczególne ograniczenia oznaczają (interpretacja kolumny Activity):
Wartość 2 dla INPUT i OUTPUT analogicznie do wariantu A oznaczają, że komiwojażer przejeżdża przez dane miasto , ponieważ wjeżdża do niego i wyjeżdża,w tym wariancie możliwe dwa wejścia do miasta i dwa wyjścia.
W ograniczeniu „droga” mamy same zera ponieważ macierz odległości jest symetryczna.(Np. odległość z miasta 1 do miasta 2 jest taka sama, jak odległość kiedy się jedzie z powrotem z miasta 2 do miasta 1).
Np. :
droga[1,2] 0
droga[2,1] 0
droga[3,4] 0
droga[4,3] 0
Ograniczenie 4 gwarantuję, to żeby komiwojażer nie zapętlił się w jednym mieście.
W wariancie B w funkcji celu („droga”) warunek i > j zapewnia branie pod uwagę wartości spod przekątnej macierzy odległości, gdybyśmy zmienili ten warunek na i < j byłyby brane pod uwagę wartości z górnej części, natomiast gdyby tego warunku nie było, to droga byłaby liczona dwukrotnie.
Minimize droga: sum{i in N, j in N:i>j}c[i,j]*x[i,j];
Gdybyśmy zmienili „Minimize” w funkcji celu na „Maximize” , czyli zmienili kierunek optymalizacji, znajdowana by była droga najdłuższa, nie najkrótszajaką komiwojażer musi przebyć.
Problem w tym przypadku, dla wariantu A odpowiadał będzie problemowi przydziału.
Zapis modelu:
param n:=5;
set N := 1..n;
param t;
param c{i in N, j in N};
var x{i in N,j in N}binary;
minimize droga: sum{i in N, j in N}(c[i,j]*x[i,j]);
subject to INPUT {j in N}:sum{i in N:i<>j}x[i,j]=1;
subject to OUTPUT {i in N}:sum{j in N:i<>j}x[i,j]=1;


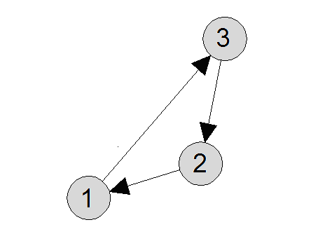
Wyznaczenie drogi:
x[1,3] * 1
x[2,1] * 1
x[3,2] * 1
x[4,5] * 1
x[5,4] * 1
Rozwiązanie tego typu nie jest akceptowane dla problemu komiwojażera, ponieważ zostały wybrane dwie drogi : a miasta 4 do miasta 5 i z powrotem, oraz z miasta 1 do miasta 3, następnie do miasta 2 i z miasta 2 do miasta 1. Związane jest to z brakiem ograniczenia na podcykle.
3