BADANIE EFEKTU HALLA
CEL ĆWICZENIA
Wyznaczenie charakterystyki hallotronu , wyznaczenie czułości hallotronu a także koncentracji elektronów swobodnych w półprzewodniku.
WSTĘP TEORETYCZNY
Zjawisko Halla wskazuje na wpływ pola magnetycznego na ruch nośników swobodnych, a tym samym na parametry materiału półprzewodnikowego. Jeżeli na nośnik-oprócz pola elektrycznego, powstałego w wyniku przyłożonego napięcia z zewnątrz- działa pole magnetyczne, to tor tego nośnika zostaje odchylony pod wpływem tzw. Siły Lorentza:
FL = -e (v![]()
B)
Elektrony (nośniki) gromadzą się przy jednej krawędzi półprzewodnika, co prowadzi do powstania dodatkowego poprzecznego pola elektrycznego E skierowanego, o kierunku i zwrocie zgodnym z siłą FL (w kierunku wartości ujemnych). Opisany proces nazywamy zjawiskiem Halla (rys.).
Wytworzoną różnicę potencjałów nazywamy napięciem Halla UH, określonym równaniem:
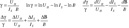
UH = γ IS B (1)
gdzie: współczynnik proporcjonalności (czułość hallotronu) ![]()
Napięcia to zależy więc od indukcji B pola magnetycznego oraz natężenia prądu IS płynącego przez próbkę. Urządzeniem wykorzystującym efekt Halla nazywa się hallotronem i służy do wyznaczania indukcji magnetycznej B.
Napięcie Halla jest zakłucanie napięciem asymetrii pierwotnej UA związane z poprawnością wykonania elektrod hallowskich.
SPIS PRZYRZĄDÓW
elektromagnes EL-01
zasilacz elektromagnesu ZT-980-4
zasilacz hallotronu ZT-980-1
woltomierz do pomiaru napięcia Halla METEX M-3800
miliamperomierz o max zakresie 30 mA do pomiaru natężenia prądu sterującego METEX M-3800
miliamperomierz o min zakresie 500 mA do pomiaru natężenia prądu płynącego przez elektromagnes
hallotron
przystawka hallotron
SCHEMAT UKŁADU POMIAROWEGO
a - zasilanie elektromagnesu b - układ pomiarowy hallotronu
PRZEBIEG ĆWICZENIA
SKOMPENSOWANIE NAPIĘCIA ASYMETRII PIERWOTNEJ
Aby możliwy był dokładny pomiar napięcia Halla UH należy wcześniej wyeliminować napięcie asymetrii pierwotnej UA. Kompensację przeprowadziliśmy usuwając hallotron z obszaru pola magnetycznego, lecz gdy prąd IS płynie przez hallotron. Ustalamy prąd zasilania hallotronu IS = 5 mA, a potencjometrem P na przystawce hallotronu kompensujemy napięcie asymetrii tak długo, aż napięcie Halla UH wynosiło 0 (UH=0V). Po ponownym wprowadzeniu ramki z hallotronem w obszar nabiegunników elektromagnesu woltomierz zmierzył napięcie pozbawione UA równe napięciu Halla (UH≈0V)
WYZNACZENIE ZALEŻNOŚCI NAPIĘCIA HALLA OD INDUKCJI MAGNETYCZNEJ UH = f (B)
Tabela wyników pomiarowych dla IS = const = 5 mA
Lp. |
Im |
UH |
∆UH |
B |
γ |
∆γ |
δn |
n |
∆n |
δn |
|
[ mA ] |
[ mV ] |
[ mV ] |
[ mT ] |
[ V/AT ] |
[ V/AT ] |
[%] |
|
|
[ % ] |
1. |
20 |
2,1 |
±0,1 |
16,89 |
24,87 |
±2,18 |
8,76 |
1,257E+23 |
±0,090E+23 |
7,18 |
2. |
40 |
3,4 |
±0,1 |
37,29 |
18,24 |
±1,27 |
6,94 |
1,714E+23 |
±0,108E+23 |
6,27 |
3. |
60 |
4,8 |
±0,1 |
57,69 |
16,64 |
±1,02 |
6,08 |
1,878E+23 |
±0,113E+23 |
6,02 |
4. |
80 |
6,2 |
±0,1 |
78,09 |
15,88 |
±0,90 |
5,61 |
1,968E+23 |
±0,116E+23 |
5,90 |
5. |
100 |
7,5 |
±0,1 |
98,49 |
15,23 |
±0,82 |
5,33 |
2,052E+23 |
±0,120E+23 |
5,82 |
6. |
120 |
9,2 |
±0,1 |
118,89 |
15,48 |
±0,79 |
5,09 |
2,019E+23 |
±0,117E+23 |
5,79 |
7. |
140 |
10,4 |
±0,1 |
139,29 |
14,93 |
±0,75 |
4,96 |
2,093E+23 |
±0,120E+23 |
5,74 |
8. |
160 |
12 |
±0,1 |
159,69 |
15,03 |
±0,73 |
4,83 |
2,079E+23 |
±0,120E+23 |
5,73 |
9. |
180 |
13,1 |
±0,1 |
180,09 |
14,55 |
±0,70 |
4,76 |
2,148E+23 |
±0,123E+23 |
5,70 |
10. |
200 |
14,3 |
±0,1 |
200,49 |
14,27 |
±0,67 |
4,70 |
2,191E+23 |
±0,125E+23 |
5,68 |
11. |
220 |
15,8 |
±0,1 |
220,89 |
14,31 |
±0,67 |
4,63 |
2,184E+23 |
±0,124E+23 |
5,67 |
12. |
240 |
16,9 |
±0,1 |
241,29 |
14,01 |
±0,65 |
4,59 |
2,231E+23 |
±0,126E+23 |
5,65 |
13. |
260 |
18,1 |
±0,1 |
261,69 |
13,83 |
±0,63 |
4,55 |
2,259E+23 |
±0,128E+23 |
5,63 |
14. |
280 |
19,4 |
±0,1 |
282,09 |
13,75 |
±0,63 |
4,52 |
2,272E+23 |
±0,128E+23 |
5,62 |
15. |
300 |
20,5 |
±0,1 |
302,49 |
13,55 |
±0,61 |
4,49 |
2,306E+23 |
±0,130E+23 |
5,61 |
16. |
320 |
21,7 |
±0,1 |
322,89 |
13,44 |
±0,60 |
4,46 |
2,325E+23 |
±0,130E+23 |
5,60 |
17. |
340 |
23,2 |
±0,1 |
343,29 |
13,52 |
±0,60 |
4,43 |
2,312E+23 |
±0,130E+23 |
5,60 |
18. |
360 |
24 |
±0,1 |
363,69 |
13,20 |
±0,59 |
4,42 |
2,368E+23 |
±0,133E+23 |
5,59 |
19. |
380 |
25,1 |
±0,1 |
384,09 |
13,07 |
±0,58 |
4,40 |
2,391E+23 |
±0,134E+23 |
5,58 |
20. |
400 |
26,5 |
±0,1 |
404,49 |
13,10 |
±0,58 |
4,38 |
2,385E+23 |
±0,133E+23 |
5,58 |
21. |
420 |
27,3 |
±0,1 |
424,89 |
12,85 |
±0,57 |
4,37 |
2,432E+23 |
±0,136E+23 |
5,57 |
22. |
440 |
28,4 |
±0,1 |
445,29 |
12,76 |
±0,56 |
4,35 |
2,450E+23 |
±0,137E+23 |
5,56 |
23. |
460 |
29,7 |
±0,1 |
465,69 |
12,76 |
±0,56 |
4,34 |
2,450E+23 |
±0,137E+23 |
5,56 |
24. |
475 |
30,3 |
±0,1 |
480,99 |
12,60 |
±0,55 |
4,33 |
2,480E+23 |
±0,138E+23 |
5,55 |
Wartości średnie: |
14,66 |
±0,75 |
5,14 |
2,177E+23 |
±0,125E+23 |
5,75 |
||||
na podstawie wykresu 5.2.2 : |
12,195 |
|
2,563E+23 |
|
||||||
Wykres
Wzory i przykładowe obliczenia
Wartość indukcji magnetycznej B obliczam przeliczając natężenie prądu magnesującego Im
![]()
np. B = 1,02*40 [mA] - 3,51 = 37,29 [ mT ]
Wyznaczanie czułości hallotronu:
z wykorzystaniem wzoru (1) z punktu 2: ![]()
[V/AT]
wyznaczona za pomocą metody regresji liniowej (w. 5.2.2): γ = 12,195 [V/AT]
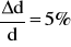
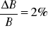
z różniczki logarytmicznej:

![]()
[A]; ![]()
- z danych ![]()
Δγ = 
[V/AT]
![]()
Obliczanie koncentracji elektronów n oraz błędów pomiaru ∆n i δn:
e = 1,6·10-19 C - ładunek elektronu
d = 2 μm - grubość płytki hallotronu
n = ![]()
![]()
ponieważ ![]()
otrzymujemy: ![]()
![]()
- z danych

δn = 6,27 %
WYZNACZENIE ZALEŻNOŚCI NAPIĘCIA HALLA OD NATĘŻENIA PRĄDU PŁYNĄCEGO PRZEZ HALLOTRON UH =f(IS), gdy Im=const=450mA
Tabela wyników pomiarowych dla Im =const = 450 mA
Lp. |
Is |
dIs |
Uh |
∆Uh |
γ |
∆ γ |
δ γ |
n |
∆n |
δn |
|
[mA] |
[mA] |
[mV] |
[mV] |
[V/AT] |
[V/AT] |
[%] |
|
|
[%] |
1. |
1,0 |
0,01 |
6,0 |
±0,1 |
12,97 |
±0,61 |
4,67 |
2,409E+23 |
±0,233E+23 |
9,67 |
2. |
1,5 |
0,01 |
9,1 |
±0,1 |
13,12 |
±0,50 |
3,77 |
2,383E+23 |
±0,209E+23 |
8,77 |
3. |
2,0 |
0,1 |
12,1 |
±0,1 |
13,08 |
±1,03 |
7,83 |
2,389E+23 |
±0,307E+23 |
12,83 |
4. |
2,5 |
0,1 |
15,0 |
±0,1 |
12,97 |
±0,87 |
6,67 |
2,409E+23 |
±0,281E+23 |
11,67 |
5. |
3,0 |
0,1 |
18,0 |
±0,1 |
12,97 |
±0,77 |
5,89 |
2,409E+23 |
±0,263E+23 |
10,89 |
6. |
3,5 |
0,1 |
21,0 |
±0,1 |
12,97 |
±0,70 |
5,34 |
2,409E+23 |
±0,249E+23 |
10,34 |
7. |
4,0 |
0,1 |
24,0 |
±0,1 |
12,97 |
±0,64 |
4,92 |
2,409E+23 |
±0,239E+23 |
9,92 |
8. |
4,5 |
0,1 |
27,0 |
±0,1 |
12,97 |
±0,60 |
4,60 |
2,409E+23 |
±0,232E+23 |
9,60 |
9. |
5,0 |
0,1 |
30,0 |
±0,1 |
12,97 |
±0,57 |
4,34 |
2,409E+23 |
±0,225E+23 |
9,34 |
wartości średnie: |
13,00 |
±0,76 |
5,85 |
2,404E+23 |
±0,248E+23 |
10,34 |
||||
na podstawie wykresu 5.3.2: |
12,937 |
|
2,416E+23 |
|
||||||
Wykres
Wzory i obliczenia
Indukcję magnetyczną B obliczamy ze wzoru:
![]()
zatem: B = const, bo Im = const, czyli B = 1,02*450 [mA] -3,51 = 44,549 [mT]
Pozostałe obliczenia dokonujemy analogicznie jak w podpunkcie 5.2.3
WNIOSKI
Przeprowadzone pomiary i obliczenia potwierdzają teorię efektu Halla.
Podczas pomiarów przy ustalonej wartości natężenia prądu sterującego IS potwierdzają się założenia, iż:
przyrostowi natężenia prądu płynącego przez elektromagnes Im odpowiada przyrost napięcia Halla UH jak również indukcji magnetycznej B - określa je zależność wprostproporcjonalna:
UH = γ IS B (1)
ponadto jest to zależność liniowa co potwierdza wyznaczona charakterystyka 5.2.2 ;
współczynnikiem proporcjonalności jest czułość hallotronu, ponadto wartość czułości hallotronu wyznaczona metodą regresji liniowej γ = 12,195 [V/AT] (wykres 5.2.2) jest zbliżona do tej obliczonej ze wzoru (1) γ = (14,66 ± 0,75) [V/AT];
za pomocą czułości hallotronu potrafimy wyznaczyć koncentrację elektronów n, przy czym prawdziwym jest odwrotnieproporcjonalna zależnośc tych dwóch wartości przy ustalonych rozmiarach płytki;
wraz ze wzrostem napięcia Halla (a także indukcji magnetycznej B) obserwowaliśmy wzrost koncentracji elektronów n=<(1,257±0,090)*E23 ; (2,177±0,125)*E23> co jest dowodem na zakłócenie ruchu nośników przyłożonym polem magnetycznym i ich gromadzeniu na jednej z krawędzi płytki;
Podczas pomiarów przy ustalonej stałej wartości natężenia prądu magnesującego Im można zauważyć, iż:
wyznaczona charakterystyka UH = f (IS) potwierdza liniową (wprostproporcjonalną) zależność tych wartości, o czym świadczy również wzór (1);
wartość czułości hallotronu metodą regresji liniowej γ = 12,937 [V/AT] (wykres 5.2.2) w pełni zawiera się w przedziale wartości tych obliczonych ze wzoru (1) γ = (13,00 ± 0,76) [V/AT];
podobne stwierdzenie zauważamy obliczając koncentrację elektronów swobodnych dwoma metodami:
2,416*E 23 ![]()
(2,404±0,248)*E23;
przy stałym natężeniu Im (czyli również przy B = const) koncentracja n elektronów swobodnych jest stała (także czułość hallotronu ≈const);
Błędy wyznaczania czułości hallotronu ∆γ, δγ jak i koncentracji elektronów ∆n, δn wyznaczyłem metodą różniczki logarytmicznej.