TNH HE PHANG SIEU ONG THEO PHNG PHAP LC
Ma e: 8-c-4
S o he(s o 8):
Hnh H.1
S o he
So lieu hnh hoc
So lieu nguyen nhan
T.T |
l1 (m) |
l2 (m) |
k1 |
k2 |
|||
c |
12 |
10 |
3,0 |
2,0 |
|||
T.T |
q (kN/m) |
P (kN) |
M (kNm) |
||||
4 |
20 |
100 |
120 |
||||
Moun an hoi cua vat lieu: ![]()
Momen quan tn trung tam cua tiet dien: 
1. Xac nh so an so, chon he c ban va lap he phng trnh chnh tac di dang ch:
1.1 So an so: 
1.2. Chon he c ban nh hnh ben:
1.3. Phng trnh chnh tac:

(a)
2. Xat nh cac he so va so hang t do cua he phng trnh chnh tac:
Cac bieu o momen uon lan lt do X1=1, X2=1, X3=1 va tai trong gay ra trong he c ban nh tren hnh H.3 (hnh H.4.c, H.4.d, H.4.e, H.4.f):
Hnh H.2
He c ban
Hnh H.3
Ta co:
![]()
.
![]()
.
![]()
.
![]()
.
![]()
.
![]()
.


![]()
.
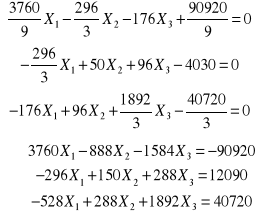
Viet he phng trnh chnh tac di dang so va giai he phng trnh chnh tac:
Thay cac he so va so hang t do a tm c vao he phng trnh (a).

Ket qua giai he phng trnh chnh tac:
X1=-10,4433 (kN) ; X2=34,2853 (kN) ; X3=13,3889 (kN).
4. Ve bieu o momen uon (MP):
![]()
.
Ket qua nh tren hnh H.4.g.
Hnh H.4
Kiem tra bieu o momen uon (M) bang bien phap kiem tra can bang nut:
Hnh H.5
![]()
.
![]()
.
![]()
.
Qua kiem tra, nen ket qua tnh toan momen la chnh xac.
Ve bieu o lc cat (Q) va bieu o lc doc (N):
* Bieu o lc cat ve theo bieu o momen uon tren c s cac lien he vi phan.
Ket qua nh tren hnh H.4.h.
* Bieu o lc cat c ve theo bieu o lc cat theo bien phap tach nut e khao sat can bang. Ket qua nh tren hnh H.4.k.
Kiem tra bieu o momen uon (MP) bang bien kiem tra can bang cua mot phan he tach ra:
Chon phan he nh tren hnh H.4.h.
![]()
![]()
(Sai so nho khong ang ke)
![]()
Vay ket qua tnh bieu o lc cat (Q) va lc doc (N) la chnh xac.
5. Tnh chuyen v ngang tai A:
Trang thai kha d “k” trong he c ban tnh nh va bieu do momen tng ng nh tren hnh H.4.![]()
:
Ta co:

Thay 
![]()
(hng ve ben phai)
Bai tap ln c hoc ket cau 2 GVHD: TS. Nguyen Hu Lan
Trng ai hoc Ton c Thang - Khoa ky thuat cong trnh Trang 4