Adam Wajhajmer,
Wydz. Lek GS 13
OPRACOWANIE
Temat: Mikroskopia optyczna
I. Cechowanie mikroskopu.
Obiektyw |
Okular x |
Pomiar |
Liczba działek skali mikrometrycznej a |
Liczba działek skali okularu b |
Długość działki skali okularu k [mm] |
Średnia k [mm] |
4x |
1,5 |
1 |
49 |
39 |
0,0126 |
0,0126 |
|
|
2 |
24 |
19 |
0,0126 |
|
|
|
3 |
10 |
8 |
0,0125 |
|
10x |
1,5 |
1 |
19 |
39 |
0.00487 |
0.0049 |
|
|
2 |
24 |
49 |
0.0049 |
|
|
|
3 |
29 |
59 |
0.00492 |
|
Długość działki skali okularu (k) obliczamy ze wzoru:
![]()
s=0,01mm
- dla obiektywu 4x
![]()
![]()
![]()
- dla obiektywu 10x
![]()
![]()

II. Wyznaczanie rozmiarów małych przedmiotów.
Preparat |
Okular x |
Obiektyw |
Liczba działek okularu odpowiedniej średnicy przedmiotu c |
Wartość średnia c |
Średnia dł. działki skali okularu[mm]kśr |
Średnica d= kcśr [mm] |
Erytrocyty
|
1,5 |
10x |
2,8 |
3.18 |
0,0049 |
0,0156 |
|
|
|
3,1 |
|
|
|
|
|
|
3,3 |
|
|
|
|
|
|
3 |
|
|
|
|
|
|
3,1 |
|
|
|
|
|
|
3,2 |
|
|
|
|
|
|
3,3 |
|
|
|
|
|
|
4 |
|
|
|
|
|
|
3 |
|
|
|
|
|
|
3 |
|
|
|
Średnicę (d) liczymy ze wzoru:
![]()
gdzie:
c - ilość działek skali okularu
k - długość działki skali okularu
Obliczenia:
![]()
![]()
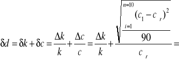
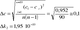
Ocena błędu:
Oszacowanie dokładności cechowania mikroskopu:
a) obiektyw 1.

b) obiektyw 2

preparat: erytrocyty żaby
błąd względny
Błąd bezwzględny![]()


