Piotr Galczak Mariusz Cemka Gr.2 lab Rok ak. 2004/2005 |
POLITECHNIKA KOSZALIŃSKA WYDZIAŁ BUDOWNICTWA I INŻYNIERII ŚRODOWISKA KIERUNEK: Geodezja i Kartografia Studia inżynierskie |
|
Ćwiczenie nr 1 |
Oddano: 14.10.2004 |
Zaliczenie: |
Temat: Wyznaczenie błędu średniego kierunku i jego składowych na przykładzie Theo 010A.
1.CZĘŚĆ TEORETYCZNA:
Głównymi zasadami procesu wyrównania są: określenie najbardziej prawdopodobnych wartości wyników pomiaru, szukanych wielkości oraz dokonanie oceny dokładności dotyczącej zarówno materiału obserwacyjnego jak i wielkości wyrównanych. Spostrzeżenia jednorodne, wykonane tym samym przyrządem i metodą pomiaru, w identycznych warunkach środowiska, przez tego samego obserwatora noszą nazwę spostrzeżeń jednakowo dokładnych.
Teodolity z mikrometrami optycznymi (np. theo 015B, 010, 010A) mają rozbudowany system odczytowy koła poziomego i pionowego, który pozwala na dokładny pomiar końcówki odczytu. Działanie mikrometru polega na optycznym przesuwaniu obrazu podziałki limbusa względem nieruchomego wskaźnika bądź przesuwaniu względem siebie diametralnych kresek kręgu. Do przesuwania obrazów wykorzystuje się najczęściej płytkę lub płytki płasko równoległe, obracane wokół osi lub kliny optyczne przemieszczane ruchem postępowym..
2.CZĘŚĆ PRAKTYCZNA:
Wyznaczenie błędu odczytu
CHARAKTERYSTYKA DOKŁADNOŚĆI ODCZYTU |
|
|||||
odczyt |
błąd pozorny |
VoVo |
||||
Lp. |
g |
c |
cc |
cc |
|
|
1. |
179 |
63 |
55 |
4 |
16 |
|
2. |
179 |
63 |
59 |
0 |
0 |
|
3. |
179 |
63 |
56 |
3 |
9 |
|
4. |
179 |
63 |
58 |
1 |
1 |
|
5. |
179 |
63 |
52 |
7 |
49 |
|
6. |
179 |
63 |
58 |
1 |
1 |
|
7. |
179 |
63 |
64 |
-5 |
25 |
|
8. |
179 |
63 |
64 |
-5 |
25 |
|
9. |
179 |
63 |
62 |
-3 |
9 |
|
10. |
179 |
63 |
62 |
-3 |
9 |
|
∑ |
1796g 35c 90cc |
0 |
144 |
|||
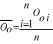
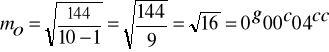
obliczenie błędu odczytu:
1)

Oo - odczyt odczytu
n - ilość pomiarów
n = 10

= 179g63c59cc
![]()
2)
![]()
Vo - błąd pozorny odczytu
[V] = 0
- Przykładowe obliczanie błędu pozornego dla poszczególnych pomiarów
Vo(1) = 179g63c59cc - 179g63c55cc
Vo(1) = 0g00c04cc
Vo(9) = 179g63c59cc - 179g63c62cc
Vo(2) = -0g00c03cc
[ Vo ] = 0
- Obliczenie błędu średniego odczytu koła poziomego w
teodolicie Theo 010A


Wyznaczenie błędu kierunku
CHARAKTERYSTYKA DOKŁADNOŚĆI KIERUNKU |
|
||||
odczyt |
błąd pozorny |
VoVo |
|||
Lp. |
g |
c |
cc |
cc |
|
1. |
366 |
60 |
90 |
4 |
16 |
2. |
366 |
60 |
92 |
2 |
4 |
3. |
366 |
60 |
90 |
4 |
16 |
4. |
366 |
61 |
00 |
-6 |
36 |
5. |
366 |
60 |
84 |
10 |
100 |
6. |
366 |
61 |
04 |
-10 |
100 |
7. |
366 |
61 |
08 |
-14 |
196 |
8. |
366 |
60 |
82 |
12 |
144 |
9. |
366 |
61 |
06 |
-12 |
144 |
10. |
366 |
60 |
84 |
10 |
100 |
∑ |
3666g09c40cc |
0 |
856 |
||
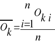
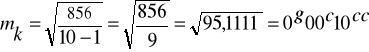
obliczenie błędu kierunku:
1)

Ok - odczyt kierunku
n - ilość pomiarów
n = 10

= 366g60c94c
![]()
366g60c94cc
2)
![]()
[Vk] = 0
- Przykładowe obliczanie błędu pozornego dla poszczególnych pomiarów
Vk (2) = 366g60c94cc - 366g60c92cc
Vk(1) = 0g00c02cc
Vk(7) = 366g60c94cc - 366g61c08cc
Vk(7) = -0g00c14cc
[ Vk ] = 0
- Obliczenie błędu średniego pomiaru kierunku w
teodolicie Theo 010A


- Obliczenie błędu średniego celowania
![]()
![]()
- Sprawdzenie błędu średniego pomiaru kierunku w teodolicie Theo 010A
![]()
![]()
3.Wnioski:
Błąd średni odczytu koła poziomego jest mniejszy od błędu średniego pomiaru kierunku. Wynika to z tego, że przy odczycie koła poziomego naprowadzamy tylko kliny (kreski) śrubą mikrometryczną, a przy odczycie kierunku za każdym razem celujemy od nowa na punkt (leniwką) oraz naprowadzamy kliny (kreski).
1