Bartosz Puchalski 1.XII.2004
Ćwiczenie 12
Wyznaczanie współczynnika podziału.
Prawo Nernsta.
Sporządziłem cztery roztwory CH3COOH o stężeniach: 1, 0.75, 0.5, 0.25 mol/l. Oznaczyłem stężenie C(0) miareczkując trzykrotnie 2 mililitrowe próbki sporządzonych roztworów z 10 ml wody. Miareczkowałem NaOH wobec fenoloftaleiny do trwałego zabarwienia. Następnie przeniosłem 25 ml każdego roztworu do naczyń z korkiem i dodałem do każdego 25 ml toluenu. Naczynia umieściłem w wytrząsarce na okres około 50 minut. Po rozdzieleniu w rozdzielaczu oznaczyłem stężenie kwasu w warstwie wodnej C(1) postępując podobnie jak w przy wyznaczaniu C(0). Wartość stężenia kwasu w warstwie niewodnej C(2) obliczyłem z różnicy C(0) - C(1).
1. Stężenia:
Stężenie początkowe C(0) |
Stężenie równowagowe kwasu |
|
|
W warstwie wodnej C(1) |
W warstwie niewodnej C(2) |
0.94785 |
0.92275 |
0.02510 |
0.73425 |
0.68403 |
0.05022 |
0.47168 |
0.46760 |
0.00408 |
0.22711 |
0.22268 |
0.00443 |
2. Obliczanie stężeniowego współczynnika podziału:
Numer roztworu |
Stężenie równowagowe kwasu [mol/dm3] |
K(c) = C(2)/C(1) |
|
|
W warstwie wodnej C(1) |
W warstwie niewodnej C(2) |
|
1. |
0.92275 |
0.02510 |
0.02720 |
2. |
0.68403 |
0.05022 |
0.07341 |
3. |
0.46760 |
0.00408 |
0.00873 |
4. |
0.22268 |
0.00443 |
0.01987 |
3. Obliczanie KI(c) na podstawie zależności K(c) = f(C(2)) przy zastosowaniu metody mniejszych kwadratów (z wykluczeniem wyniku mocno odbiegającego od pozostałych):
|
y |
x |
yx |
x^2 |
|
0,027203 |
0,0251 |
0,000683 |
0,00063001 |
|
0,0087301 |
0,00408 |
3,56E-05 |
1,66464E-05 |
|
0,0198744 |
0,00443 |
8,8E-05 |
1,96249E-05 |
suma |
0,0558075 |
0,03361 |
0,000806 |
0,000666281 |
średnia |
0,0186025 |
0,011203 |
0,000269 |
0,000222094 |
a = 0.6253
b = 0.0116
Ekstrapolując prostą o otrzymanym równaniu y = 0,6253x + 0,0116 do punktu x = 0 otrzymujemy: K'(c) = 0,0116
4. Obliczanie stopnia dysocjacji α:
Słaby kwas HA ulega w fazie wodnej dysocjacji, zgodnie z zależnością:
HA(1) = H+ + A-
Stała dysocjacji określona jest równaniem:
![]()
Po przekształceniach otrzymujemy:
- C(1)α2 - K1α + K1 = 0
Znając własności funkcji kwadratowych α możemy wyliczyć z wzoru (dla stałej dysocjacji kwasu octowego równej 1,738E-05):

Po podstawieniu do wzoru i pomnożeniu razy 100%:
α1= 0.43305%
α2= 0.5028%
α3= 0.6078%
α4= 0.87955%
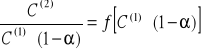
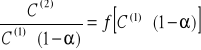
5. Obliczanie wartości potrzebnych do stworzenia wykresu zależności

:
Numer roztworu |
Stężenie równowagowe kwasu [mol/dm3] |
C(1)(1-α) |
|
|
|
W warstwie wodnej C(1) |
W warstwie niewodnej C(2) |
|
|
1. |
0.92275 |
0.02510 |
0.91875 |
0.02732 |
2. |
0.68403 |
0.05022 |
0.68059 |
0.07379 |
3. |
0.46760 |
0.00408 |
0.46476 |
0.00878 |
4. |
0.22268 |
0.00443 |
0.22073 |
0.02005 |
6. Obliczanie stałej podziału K(c) i stałej równowagi reakcji dimeryzacji K2 z zależności 
dzięki zastosowaniu metody mniejszych kwadratów (z wykluczeniem wyniku znacznie dobiegającego):
|
y |
x |
yx |
x^2 |
|
0,027321 |
0,918752492 |
0,025102 |
0,844106 |
|
0,008783 |
0,464757907 |
0,004082 |
0,216 |
|
0,020051 |
0,220725854 |
0,004426 |
0,04872 |
suma |
0,056156 |
1,604236253 |
0,033609 |
1,108826 |
średnia |
0,018719 |
0,534745418 |
0,011203 |
0,369609 |
a = 0.0143
b = 0.0111
![]()
![]()
![]()
![]()
Wartości K'(c) i Kc obliczone dwoma metodami są swoją odwrotnością. Przy wykonywaniu wykresu wykluczyłem drugi pomiar ze względu na jego znaczną tendencję do odbiegania od pozostałych wartości szczególnie na wykresie:

Wartości stężeń mogą być obarczone pewnym błędem, ponieważ ilość titranta użytego do miareczkowania niejednokrotnie przekraczała pojemność biurety, przez co trzeba było miareczkować „na dwa razy”, co znacznie zmniejszyło dokładność oznaczenia. Z przebiegu ćwiczenia wynika, że toluen jest bardzo słabym rozpuszczalnikiem dla kwasu octowego, zdecydowanie słabszym niż woda i nie nadaje się do ekstrakcji CH3COOH z wody.