19.01.2005
Ćwiczenie wykonał:
Stefan Skwara gr 3D
Sprawozdanie z ćwiczenia 3
Przewodnictwo elektrolitów
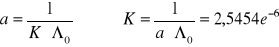
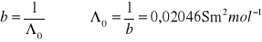
Wyznaczanie stałej naczyńka konduktometrycznego
![]()
![]()
![]()
![]()
Pomiar przewodnictwa wody wodociągowej i destylowanej
![]()
3,7
![]()
Oznaczenia:
λ - przewodnictwo
κ - przewodnictwo właściwe
k - stała naczyńka
Λ - przewodnictwo równoważnikowe
Λ0 - graniczne przewodnictwo równoważnikowe
C - stężenie
Ćwiczenie 3. Wyznaczanie iloczynu rozpuszczalności soli trudno rozpuszczalnej.
![]()

![]()
Przewodnictwo roztworu λ [S] |
Przewodnictwo właściwe roztworu κr [S/m] |
Przewodnictwo właściwe wody κw [S/m] |
Przewodnictwo właściwe soli |
Stężenie soli C [mol/l] |
Iloczyn rozpuszczalności L [mol2/l2] |
0,00002406 |
0,001245 |
0,0002108 |
0,001034 |
0,003604 |
0,00001299 |
Ćwiczenie 1. Wyznaczanie przewodnictwa równoważnikowego słabego elektrolitu.
C=0,009924 mol/l
![]()
![]()
|
Stężenie C [mol/l] |
Przewodnictwo λ [S] |
Przewodnictwo właściwe κ [S/m] |
Przewodnictwo równoważnikowe Λ [Sm2/mol] |
C |
0,009924 |
0,000413 |
0,02137275 |
0,002153643 |
C|2 |
0,004962 |
0,000287 |
0,01485225 |
0,002993198 |
C|4 |
0,002481 |
0,000198 |
0,0102465 |
0,004129988 |
C|8 |
0,0012405 |
0,000142 |
0,0073485 |
0,005923821 |
C|16 |
0,0006203 |
0,0000807 |
0,004176225 |
0,006733132 |
C|32 |
0,0003101 |
0,0000557 |
0,002882475 |
0,009294559 |
C|64 |
0,0001551 |
0,0000365 |
0,001888875 |
0,012181378 |
Wykres zależności ![]()
Ćwiczenie 2. Wyznaczanie przewodnictwa równoważnikowego mocnego elektrolitu.
C=0.02 mol/l
![]()
![]()
|
Stężenie C [mol/l] |
Przewodnictwo λ [S] |
Przewodnictwo właściwe κ [S/m] |
Przewodnictwo równoważnikowe Λ [Sm2/mol] |
C |
0,02 |
0,0001601 |
0,008285175 |
0,000414259 |
C|2 |
0,01 |
0,0000832 |
0,0043056 |
0,00043056 |
C|4 |
0,005 |
0,0000437 |
0,002261475 |
0,000452295 |
C|8 |
0,0025 |
0,0000244 |
0,0012627 |
0,00050508 |
C|16 |
0,00125 |
0,0000132 |
0,0006831 |
0,00054648 |
Wykres zależności ![]()
![]()
y = -0,0012x + 0,0006
![]()
2
![]()
Ćwiczenie 4. Wyznaczanie stałej dysocjacji słabego elektrolitu metodą konduktometryczną.
![]()
![]()
![]()
|
Stężenie C [mol/l] |
Przewodnictwo λ [S] |
Przewodnictwo właściwe κ [S/m] |
Przewodnictwo równoważnikowe Λ [Sm2/mol] |
C |
0,009924 |
0,000413 |
0,02137275 |
0,002153643 |
C|2 |
0,004962 |
0,000287 |
0,01485225 |
0,002993198 |
C|4 |
0,002481 |
0,000198 |
0,0102465 |
0,004129988 |
C|8 |
0,0012405 |
0,000142 |
0,0073485 |
0,005923821 |
C|16 |
0,0006203 |
0,0000807 |
0,004176225 |
0,006733132 |
Wykres zależności ![]()
![]()
![]()
![]()
4