Łożyska toczne
Budowa

1-pierścień wewnętrzny;2-pierścień zewnętrzny;3-części toczne;4-koszyk;5-bieżnie główne;6-bieżnie pomocnicze;
Funkcje elementów
Bieżnie przenoszące obciążenie w głównym kierunku działania łożyska nazywane są bieżniami głównymi, prowadzące zaś element toczny lub przenoszące obciążenie w kierunku innym niż główny nazywane są bieżniami pomocniczymi. Pierścień zewnętrzny osadzony jest w oprawie, a wewnętrzny na wale maszyny.
Między pierścieniami znajdują się ujęte koszykiem elementy toczne. Zadaniem koszyka jest oddzielenie elementów tocznych w celu uniknięcia ich wzajemnego tarcia, równomierne ich rozmieszczenie na obwodzie łożyska oraz ewentualne prowadzenie. Innym bardzo ważnym jego zadaniem jest utrzymanie łożyska jako zwartej całości, z wyjątkiem łożysk rozłącznych, jak np. stożkowe i walcowe. Jednak nawet w tych przypadkach koszyk utrzymuje części toczne i jeden pierścień jako nierozłączny zespół.
Rodzaje łożysk toczych.
|
|
|
|
|
kulka |
wałeczek walcowy |
igiełka |
wałeczek stożkowy |
baryłka |
Rys. 3.5. Rodzaje części tocznych
|
|
|
|
|
kulkowe |
walcowe |
igiełkowe |
stożkowe |
baryłkowe |
Rys. 3.6. Rodzaje łożysk tocznych ze względu na kształt części tocznych
Łożyska ze względu na możliwość wzajemnego wychylenia się pierścieni (rys. 3.7) można podzielić na:
zwykłe,
wahliwe,
samonastawne.
|
|
|
zwykłe |
wahliwe |
samonastawne |
Rys. 3.7. Rodzaje łożysk ze względu na wartość nominalnego kąta działania łożyska
Łożyska ze względu na ilość rzędów części tocznych (rys. 3.9) można podzielić na:
jednorzędowe,
dwurzędowe,
wielorzędowe.
|
|
|
jednorzędowe |
dwurzędowe |
wielorzędowe |
Rys. 3.9. Rodzaje łożysk tocznych ze względu na ilość rzędów części tocznych
a-jednokierunkowe b- jednokierunkowe samonastawne c-dwukierunkowe d-kątowe dwurzędowe e-baryłkowe z koszykiem blaszanym f-baryłkowe z oszykiem masywnym
łożyska toczne wahliwe
Łożyska kulkowe wahliwe pod względem konstrukcyjnym charakteryzują się dwoma rzędami kulek oraz kulistą bieżnią pierścienia zewnętrznego, co pozwala na swobodne ustawienie się wzajemnie pierścieni. Dzięki temu łożyska te nie są wrażliwe na błędy współosiowości opraw i na ugięcie wału.
Rysunek techniczny łożyska kulkowego wahliwego
łożyska toczne samonastawne
Łożyska kulkowe samonastawne są to łożyska kulkowe poprzeczne jednorzędowe obustronnie uszczelnione z kulistą powierzchnią zewnętrzną. Łożyska takie zabudowane w oprawie z żeliwa, blachy stalowej lub z tworzywa sztucznego (poliamidu) tworzą zespół samonastawny. Łożyska w tych zespołach mają zdolność do wychyleń kątowych w granicach aż do 5° od położenia środkowego (jeżeli nie jest wymagane dosmarowywanie), dzięki czemu nie są wrażliwe na błędy współosiowości.
Łożyska te dzięki swej konstrukcji, umożliwiają łatwy montaż i demontaż, własny zapas smaru, integralne uszczelnienia i wahliwości, znalazły szerokie zastosowanie w maszynach rolniczych, budowlanych i wielu innych.
Ze względu na swoją konstrukcję łożyska samonastawne po zamontowaniu są ustalone osiowo, zarówno na wale jak i w oprawie. Z tego wynika konieczność unikania dużych rozstawów między łożyskami. Ponadto wskazane jest przy zamontowaniu łożysk takie ich ustalenie wstępne, aby przy wydłużeniach cielnych wałka podczas pracy uzyskać możliwość wykorzystania całego luzu osiowego i uniknąć przedwczesnego zużycia lub uszkodzeń łożysk.
Jeszcze bardziej ograniczone jest obciążenie osiowe zestawu łożysko samonastawne - oprawa blaszana. Nie powinno ono przekraczać 30% obciążenia promieniowego. Łożyska kulkowe samonastawne są napełniane smarem plastycznym. Zapas smaru w łożyskach wystarcza w przeciętnych warunkach pracy na pełen okres eksploatacji.
materiały.
Pierścienie i części toczne łożysk są wykonywane ze specjalnej stali chromowej ŁH15 lub ŁH15SG (wg PN-75/H-84041) charakteryzującej się wysoką czystością. Dla specjalnych zastosowań, gdzie jest wymagana duża niezawodność pracy łożysk, pierścienie i części toczne wykonuje się ze stali pochodzącej z wytopu próżniowego lub z elektrożużlowego o jeszcze wyższych parametrach czystości. Gatunki stali stosowane do produkcji łożysk w Polsce mają swoje odpowiedniki wśród gatunków stosowanych powszechnie w całym świecie.
Kąt działania
Nominalny kąt działania łożysk kulkowych jest zawarty między prostą łączącą punkty styku kulki z bieżniami w nieobciążonym łożysku a płaszczyzną prostopadłą do osi łożyska (rys. 3.3a). W łożyskach wałeczkowych mieści się on między prostą prostopadła do tworzącej bieżni zewnętrznej a płaszczyzną prostopadła do osi łożyska (rys. 3.3b i c).
|
|
|
a |
b |
c |
Rys. 3.3. Kąt działania łożyska
Łożyska ze względu na wartość nominalnego kąta działania (rys. 3.4) można podzielić na:
promieniowe (poprzeczne) o kącie działania 0° ≤ < 45°
osiowe (wzdłużne) o kącie działania 45° ≤ < 90°
skośne, są to łożyska promieniowe, które do poprawnej pracy wymagają osiowego podparcia pierścieni.
|
|
|
promieniowe |
osiowe |
skośne |
Rys. 3.4. Rodzaje łożysk ze względu na wartość nominalnego kąta działania łożyska
Nośność ruchowa i spoczynkowa
Nośność ruchowa
Nośność ruchowa łożyska (oznaczona symbolem C) odnosi się do łożyska, w którym pierścienie obracają się względem siebie i są poddane pewnemu obciążeniu. Nośność ruchowa łożyska jest to wyrażona w niutonach, wartość obciążenia, przy którym łożysko osiągnie trwałość równą 1 mln obrotów. W przypadku łożysk poprzecznych i skośnych, obciążenie powinno być stałe i działać w płaszczyźnie prostopadłej do osi. Dla łożysk wzdłużnych kierunek stałego obciążenia powinien być wzdłuż osi. Wartości nośności ruchowej są obliczane na podstawie wzorów ISO zawartych w dokumencie R281.
Nośność spoczynkowa
Nośność spoczynkowa łożyska (oznaczona symbolem Co) jest obliczana na podstawie dokumentu R76 i odnosi się do łożysk, które obracają się bardzo wolno (do 10 obr/min) lub wychylają się w niewielkich granicach. W tych przypadkach nie zachodzi zmęczeniowe zużycie powierzchni pracujących, a dopuszczalne obciążenie łożyska jest ograniczone wielkością wywołanego odkształcenia plastycznego w miejscach styku części tocznych z bieżniami. Pod pojęciem nośności spoczynkowej należy rozumieć takie obciążenie, które wywołuje łączne odkształcenie plastyczne stykających się powierzchni równe 0,0001 średnicy części tocznej. W przypadku łożysk poprzecznych i skośnych, obciążenie to powinno działać statycznie i ściśle prostopadle do osi.
Trwałość nominalna
Trwałość nominalna łożyska lub L10 (jak zdefiniowano w normie ISO i ABMA) to trwałość, którą powinno osiągnąć lub przekroczyć 90% wystarczająco dużej grupy pozornie jednakowych łożysk. Mediana trwałości lub trwałość średnia (nazywana czasami MTBF lub Średni Czas Między Uszkodzeniami) jest w przybliżeniu pięciokrotnie większa od obliczeniowej trwałości nominalnej.
Trwałość łożysk jest to czas pracy łożyska wyrażony w mln obrotów lub godzinach przy danej prędkości obrotowej, obliczany do chwili wystąpienia pierwszych oznak zmęczenia materiału. Jak wykazały liczne doświadczenia, zjawisko zmęczenia powierzchniowego przebiega nieregularnie i dla pozornie identycznych łożysk pracyjących w tych samych warunkach może się zmieniać w szerokich granicach. Dlatego też przyjęto za trwałość umowną określać taką liczbę obrotów, jakie osiągnie bez objawów zmęczenia 90% badanych łożysk w określonych warunkach. Oznacza to, że pozostałe 10% łożysk może wykazać mniejszą trwałość, co mieści się jednak w dopuszczalnych granicach. Trwałość umowną oznacza się symbolem L10. (W tym dokumencie trwałość L należy traktować jako L10). Zależność między trwałością, nośnością ruchową i obciążeniem zewnętrznym określa się z ogólnego wzoru:
L=(C/P)p
Gdzie:
L - trwałość [w mln obrotów]
C - nośność ruchowa [w daN]
P - obciążenie zastępcze [w Dan]
p - wykładnik potęgowy wynoszący
dla łożysk kulkowych p=3
dla łożysk wałeczkowych p=10/3
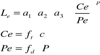
Trwałość efektywna
TRWAŁOŚĆ EFEKTYWNA
fd - współczynnik obciążenia dynamicznego( z tablic)
ft - współczynnik wpływu temperatury
a1 - współczynnik niezawodności
a2 - współczynnik materiałowy
a3 - współczynnik warunków pracy
Ce - ruchowa nośność efektywna w temp pracy
Pe - obciążenie zastępcze efektywne

Wykres prawdopodobieństwa trwałości
Obciążenie równoważne
Obciążenie zastępcze
Obciążenie zastępcze łożyska wyraża się wzorem:
Q = (R + m ·A) · K1 · K2 · K3 · K4 ......
R - obciążenie promieniowe
A - składowa osiowa
m - współczynnik zmiany obciążenia osiowego na równoważne mu obciążenie promieniowe
K1 K2 K3........... - współczynniki zwiększające
K1 - zależy od tego który pierścień łożyska się obraca
K2 - współczynnik temperaturowy
K3 - współczynnik przeciążeń
K4 - współczynnik warunków atmosferycznych
Obciążenie zastępcze ruchowe łożyska
![]()
Fr - skł. poprzeczna obciążenia [N];
Fa - skł. wzdłużna obciążenia;
X - współ. Przeliczeniowy obciążenia poprzecznego
Y - współ. Przeliczeniowy obciążenia wzdłużnego
