Spis treści:
Część opisowa
Podstawa opracowania
Opis procesu technologicznego
Obliczenia
Bilans ścieków
Bilans ładunków zanieczyszczeń
Obliczenia technologiczne
Część graficzna
Schemat technologiczny mechaniczno-biologicznej oczyszczalni ścieków z osadem czynnym
Część opisowa:
1. Podstawa opracowania
Wymagania jakim powinny odpowiadać ścieki wprowadzane do wód lub ziemi zostały określone na podstawie Rozporządzenia Ministra Środowiska z dnia 8 lipca 2004 roku w sprawie warunków, jakie należy spełnić przy wprowadzaniu ścieków do wód lub do ziemi, oraz w sprawie substancji szczególnie szkodliwych dla środowiska wodnego ( Dz.U. nr 168, poz. 1763).
Wykaz literatury stanowiącej podstawę opracowania:
1. Piotrowski I., Roman M., Urządzenia do oczyszczania wody i ścieków, Państwowe
Wydawnictwo Naukowe, Warszawa, 1970
Bonikowski T., Mołoniewicz W., Sędzikowski T., Małe oczyszczalnie ścieków - projektowanie i wykonawstwo, Wydawnictwo Arkady, Warszawa, 1979
Poradnik eksploatatora oczyszczalni ścieków, Polskie Zrzeszenie Inżynierów i Techników Sanitarnych Oddział w Poznaniu LEM s.c. Kraków. Poznań, 1997
Heinrich Z., Urządzenia do uzdatniania wody. Zasady projektowania i przykłady obliczeń, Wydawnictwo Arkady, Warszawa, 1987
Opis zastosowanej technologii oczyszczania ścieków
Ścieki doprowadzane do projektowanej oczyszczalni to ścieki bytowo - gospodarcze: miejskie i dowożone, wody infiltracyjne - przypadkowe oraz przemysłowe.
Ścieki bytowo-gospodarcze związane są bezpośrednio z życiem człowieka. Ich ilość i jakość zależy od sanitarnego stopnia wyposażenia mieszkań i stopnia komfortu. Ścieki dowożone to ścieki bytowo-gospodarcze dostarczane do oczyszczalni z terenów nieskanalizowanych.
Wody przypadkowe to wody infiltracyjne i drenażowe. Pochodzą one głównie z odwodnienia terenu, a dostają się do kanałów przez nieszczelności. Do grupy tej zaliczyć można również wody naturalne włączane przypadkowo do sieci kanalizacyjnej.
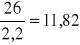
Badania analityczne wykazały następujące stężenia zanieczyszczeń w ściekach doprowadzanych do projektowanej oczyszczalni:
lp. |
Nazwa wskaźnika |
Jednostka |
Oznaczone stężenie |
Dopuszczalne stężenie dla miast powyżej 100000 mieszkańców |
1 |
BZT5 |
mgO2/dm3 |
520 |
15 |
2 |
ChZT |
mgO2/dm3 |
740 |
125 |
3 |
ZAWIESINA OGÓLNA |
mg/dm3 |
100 |
35 |
4 |
AZOT (Nog) |
mgN/dm3 |
18 |
10 |
5 |
FOSFOR (Pog) |
mgP/dm3 |
8 |
1 |
Zostały przekroczone wszystkie parametry.
Ścieki w projektowanej oczyszczalni oczyszczane są dwustopniowo. Pierwszy stopień stanowi oczyszczanie mechaniczne. Drugi stopień stanowią procesy biologiczne zachodzące w komorach osadu czynnego.
Na kratach odbywa się proces usuwania ze ścieków substancji stałych, o stosunkowo dużych rozmiarach w wyniku procesu cedzenia. Obecność tych zanieczyszczeń mogłaby zakłócić działanie następnych obiektów oczyszczalni i przyczyniać się do awarii takiego typu jak zapychanie rurociągów, pomp czy dyfuzorów do napowietrzania piaskowników. Z tego względu kraty są pierwszym obiektem oczyszczalni ścieków. Typowa krata to rząd metalowych prętów ustawionych pochyło lub pionowo w poprzek kanału doprowadzającego ścieki. Odległość pomiędzy sąsiednimi prętami nazywamy prześwitem kraty. Stosuje się następujący podział krat ze względu na prześwit:
Gęste o prześwicie mniejszym lub równym 20mm
Średnie o prześwicie w przedziale 20 - 40mm
Rzadkie o prześwicie powyżej 40mm
Zanieczyszczenia zatrzymywane na kracie - skratki- są okresowo zgarniane, niekiedy prasowane i dezynfekowane, oraz składowane na wysypiskach śmieci w stanie surowym lub po spaleniu. Kraty w bardzo małych oczyszczalniach mogą być oczyszczone ręcznie za pomocą grabi, zwykle w czasie I zmiany pracy. Najczęściej jednak w zespół wyposażenia kraty wchodzi mechaniczne urządzenia do zgarniania skratek . Obecnie coraz częstsze jest stosowanie praski do skratek, zwłaszcza w dużych oczyszczalniach, co znacznie zmniejsza objętość gromadzonych skratek a tym samym koszty transportu do miejsca składowania.
Kraty zbudowane ze stalowych prętów o przekroju prostokątnym lub okrągłym, rozmieszczonych równolegle do siebie w poprzek kanału doprowadzającego ścieki. Pręty krat nachylone są do dna kanału pod katem 20-90.
Ścieki dalej przepompowywane są do piaskownika o przepływie poziomym.
Zanieczyszczenia mechaniczne, mineralne generalnie są niezagniwalne, posiadają większą prędkość opadania niż zawiesiny zagniwalne, organiczne i składają się z cząstek ziarnistych. W ich skład wchodzi żużel, piasek, drobne kamienie, pestki, zmielona kawa, itp., które w dalszym opisie generalnie nazywać będziemy piaskiem. Usuwanie piasku ze ścieków zachodzi w urządzeniach zwanych piaskownikami i zabezpiecza kolejne obiekty oczyszczalni przed:
zapychaniem rurociągów,
ścieraniem mechanicznych elementów pomp, a tym samym ich zużywaniem,
akumulacja piasku w komorach napowietrzania i w komorach fermentacji, prowadząca do zmniejszania ich pojemności czynnej.
Podstawowym zadaniem piaskowników jest rozdzielenie zawiesin mineralnych od organicznych, które mają być oddzielone w osadniku wstępnym.
W większości piaskowników prędkość przepływu ścieków 0,3m/s2 gwarantuje opadanie piasku pozbawionego zanieczyszczeń organicznych. Prędkości mniejsza przyczyniają się do sedymentacji także zawiesin organicznych, natomiast prędkości przekraczające 0,3m/s2 powodują wypłukiwanie piasku z komór piaskownika.
Zasada działania piaskownika
Piasek usuwany jest ze ścieków w zbiornikach o kształcie( w przekroju poziomym ) kwadratowym, prostokątnym lub okrągłym w wyniku procesu sedymentacji albo w hydrocyklonach pod wpływem sił odśrodkowych. Wyróżnia się trzy typy piaskowników
piaskowniki poziome podłużne, czyszczone ręcznie( rzadko) albo mechanicznie pompą wędrującą wzdłuż piaskownika,
piaskowniki kołowe, wykorzystujące siłę odśrodkową,
piaskowniki napowietrzane ze zgarniaczami zgrzebłowymi
Najprostszym piaskownikiem jest rozszerzony odcinek kanału, w którym prędkość obniża się na tyle, że piasek opada na dno, będąc 2,5 razy cięższy od zawiesin organicznych. Piaskowniki mają usunąć cząstki piasku większe od 0,15mm i prędkości opadania ok. 0,01m/s
Piaskowniki poziome oczyszczane ręcznie. Piaskowniki oczyszczane ręcznie stosowane są tylko w oczyszczalniach bardzo małych. Zbudowane są z przynajmniej dwóch równoległych, wydłużonych komór, które wyposażone są w urządzenia do utrzymywania stałej prędkości przepływu na poziomie 0,3m/s. Niektóre piaskowniki posiadają w dnie komorę do magazynowania zatrzymanego piasku, natomiast wszystkie posiadają drenaż do opróżnienia komory przed przystąpieniem do wybierania piasku. Częste wyposażenie tych piaskowników w poletkach ociekowe zwiększa uciążliwość i tak już niewdzięcznej pracy.
Piaskowniki poziome oczyszczane mechanicznie. Piaskowniki oczyszczane mechanicznie są to najczęściej zbiorniki prostokątne w postaci wydłużonego koryta o przekroju poprzecznym prostokątnym, trapezowym lub parabolicznym. Ich minimalna długość wynosi 18m, co wynika z minimalnego czasu przetrzymania ścieków w komorze, tj. 60s oraz z zalecanej prędkości przepływu równej 0,3m/s
droga przepływu = prędkość przepływu czas przetrzymania
Większość z nich posiada urządzenia do utrzymania stałej prędkości przepływu( zwężki, przelewy proporcjonalne, mechanizm do zgarniania zgromadzonego na dnie piasku). Piaskowniki o kształcie kwadratowym lub okrągłym, które stosowane są rzadziej, wyposażone są w obrotowy zgarniacz do usuwania piasku. Ścieki pozbawione na kratach większych zanieczyszczeń pływających doprowadzane są z jednego boku piaskownika lub w jednym punkcie na jego obwodzie.
Kolejnym etapem oczyszczania mechanicznego są dwa osadniki poziome, w których następuje usunięcie ze ścieków zawiesin w drodze sedymentacji. Dodatkowo w osadnikach zatrzymywane są substancje lżejsze od wody - cząstki pływające i tłuszcze. Projektowany osadnik ma kształt prostokątny. Przy wlocie ścieków zlokalizowane jest zagłębienie na osad. Podobnie jak piaskownik, osadnik poziomy wyposażony jest w urządzenia do zgarniania osadu z dna oraz substancji pływających z powierzchni, Do tego celu wykorzystany został szereg zgrzebeł umieszczonych na łańcuch Galla. Zgromadzony osad (tzw. osad surowy) kierowany jest przewodami stalowymi do zamkniętej komory fermentacyjnej. Konstrukcja osadnika została określona w części obliczeniowej projektu .
Zasada działania osadnika wstępnego
Po usunięciu piasku ścieki zawierają zanieczyszczenia organiczne rozpuszczone, koloidalne i zawiesinę. W osadniku wstępnym dokonuje się usunięcia zawiesin łatwo opadających poprzez zapewnienie wystarczająco powolnego przepływu laminarnego ścieków pozwalającego opaść zawiesinom, które mają masę niewiele większą od wody- rzędu 1,1g/cm3. Dla porównania piasek ma masę 2,5 razy większą od wody. Niekiedy rezygnuje się z budowy osadnika wstępnego kosztem większego obciążenia komór osadu czynnego. Rozwiązanie to pozwala oszczędzić trochę kosztów inwestycyjnych jednak eksploatacja oczyszczalni z osadnikiem wstępnym jest z reguły łatwiejsza. Osadniki wstępne pomijano w Polsce przy projektowaniu zwłaszcza w latach 80-tych. Dziś współcześnie oczyszczalnie z reguły wyposażone są w osadniki wstępne, które pełnią następujące funkcje:
usuwają do 60÷70% całkowitej zawiesiny organicznej ze ścieków,
usuwają ok. 30% BZT5,
produkują osad wstępny, który poddany fermentacji kwaśnieje w celu uzyskania prostych kwasów lotnych pozwala wspomagać biologiczne procesy usuwania fosforu i azotu,
usuwają tłuszcze i oleje,
częściowo wyrównują nierównomierność przepływu i ładunku ścieków dopływających do części biologicznej,
przyczyniają się do zmniejszenia ilości nadmiernego osadu czynnego.
Właściwa eksploatacja osadnika wstępnego ma duży wpływ na pracę urządzeń całej oczyszczalni ścieków.
Efektywność pracy osadników wstępnych zależy od obciążenia hydraulicznego powierzchni zbiornika, czasu przetrzymania ścieków konfiguracji zbiornika, rodzaju ścieków, rodzaju zawiesin, temperatury i udziału ścieków przemysłowych. Zależy również od wielkości powierzchni czynnej zbiornika ( długości i szerokości), objętości zbiornika
(powierzchnia i głębokość) i rozmieszczenia doprowadzenia i odprowadzenia ścieków. Powierzchnia osadnika ma wpływ na wielkość obciążenia hydraulicznego, natomiast objętość wpływa na czas przetrzymania ścieków. Obciążenie hydrauliczne dla osadników wstępnych powinno wynosić 0,8-4,0m3/m2h w zależności od kształtu osadnika i urządzenia, jakim po nim następuje( złoże biologiczne, komora osadu czynnego). Im większe obciążenie hydrauliczne osadnika, tym gorsze efekty usuwania zawiesin. Konstrukcje wlotów i wylotów, zaopatrzone w specjalne osłony spełniają ważną rolę w procesie sedymentacji. Wloty dzięki zainstalowaniu deflektorów kierownic i innych elementów zmniejszają prędkość flotową i równomiernie rozprowadzają ścieki. Odprowadzanie ścieków realizowane jest za pomocą pojedynczych lub kilku przewodów najczęściej pilastych, które zapobiegają dostawaniu się do odpływu części pływających. Właściwe warunki odpływu zapewniają odprowadzenie sklarowanych ścieków z jednakowym natężeniem zapobiegają powstawanie osadników obszarów o większej prędkości przypływu.
KOMORA NAPOWIETRZANIA Z OSADEM CZYNNYM
Proces osadu czynnego jest biologiczną, tlenową metodą oczyszczania ścieków. Wykorzystywana jest tu metaboliczna reakcja mikroorganizmów( bakterii), w wyniku której otrzymuje się w wysokim stopniu oczyszczania ścieków. Metoda ta nazwana jest drugim stopniem oczyszczania ścieków. Zazwyczaj występuje po osadniku wstępnym. Ma ona za zadanie zmniejszenia stężenia nieopadających, rozpuszczonych i koloidalnych związków organicznych.
W klasycznym układzie osadu czynnego ścieki doprowadzane są do komory napowietrzania, gdzie mieszają się z kłaczkami osadu czynnego. W komorze utrzymuje się osad czynny o stężeniu od 1,5 do 4,0g s.m./L wymagają około 0,5-3 mg/L tlenu do optymalnej pracy. Osad z komory osadu czynnego(KOCz) oddziela się w osadniku wtórnym i jest zawracany po zagęszczeniu.
Do głównych elementów systemu, na które należy zwrócić uwagę, należą: mieszanie i napowietrzanie i sprawność osadnika wtórnego, od którego należy często cały efekt oczyszczania. Efektywność pracy procesu zależy od szeregu czynników- niektórych zależnych, innych niezależnych od operatora, między innymi od:
podatności ścieków na oczyszczanie biologiczne. Im wyższy jest stosunek BZT5/ChZT tym ścieki są bardziej podatne,
wieku osadu i obciążenia osadu ładunkiem BZT,
wahań w stężeniu substancji utrudniających proces,
hydraulicznego czasu przetrzymania,
warunków procesu takich jak stężenie tlenu, Ph, stężenie osadu czynnego, obecność azotu i fosforu, obecność związków niebezpiecznych dla osadu czynnego,
warunków ruchowych, takich jak intensywność mieszania, wielkości recyrkulacji,
pracy osadnika wtórnego,
stanu zdrowotnego osadu czynnego wyrażonego ilością organizmów nitkowatych i prędkością poboru tlenu,
możliwości kontroli, usprzętowienia obiektu i częstotliwości kontroli procesu oraz stopnia współpracy operatora z laboratorium
Oczyszczone mechanicznie ścieki dopływają do części biologicznej oczyszczalni, którą stanowią reaktory typu SBR ( Sekwencyjny Biologiczny Reaktor ) - komory z osadem czynnym. Osad czynnym jest zbiorowiskiem różnego rodzaju mikroorganizmów, które w wyniku swojej działalności życiowej powodują tlenowy rozkład substancji organicznych zawartych w ściekach.
Zaprojektowane zostały osiem zbiorników o wymiarach w rzucie 15x24 m. Każdy reaktor składa się z dwóch połączonych ze sobą komór kwadratowych 8 x 8m z wyprofilowanym w kształcie leja dnem. W etapie tym następuje napowietrzenie ścieków wraz z osadem czynnym. Do napowietrzania zostaną wykorzystane dyfuzory rurowe drobnopęcherzykowe zasilane sprężonym powietrzem przesyłanym ze stacji dmuchaw, a do utrzymania osadu czynnego w zawieszeniu - mieszadła wolnoobrotowe. Komory napowietrzania z osadem czynnym pracują w 4,5 godzinnym cyklu.
Dodatkowe wyposażenie reaktorów stanowi:
przewody i pompy do odprowadzania ścieków oczyszczonych;
pompy do spustu osadu nadmiernego;
układ przewodów z armaturą sterującą.
Cykl pracy komór składa się z następujących faz :
Faza 1 : warunki beztlenowe - zachodzi proces denitryfikacji i uwalnianie fosforu do
przyszłej defosfatacji ;
Faza 2 : mieszanie i napowietrzanie przy dopływie ścieków - rozkład BZT5 i początek
nitryfikacji ;
Faza 3 : druga godzina mieszania i napowietrzania przy dopływie - rozkład BZT5 i
nitryfikacja ;
Faza 4 : mieszania i napowietrzania bez dopływu ścieków - defosfatacja , w przypadku
zwiększonego stężenia fosforu można w fazie tej dodać koagulant PIX-113;
Faza 5 : proces sedymentacji bez dopływu ścieków;
Faza 6 : odprowadzenie osadu nadmiernego bez dopływu ścieków.
Dzięki procesom biologicznym zostanie zmniejszone do poziomu wymaganego stężenie BZT5 i ChZT, a ograniczone do minimum azot i fosfor ogólny, ze względu na niewielkie stężenie wstępne.
Konstrukcja reaktora została określona w części obliczeniowej projektu.
Z komór napowietrzania ścieki trafiają do ośmiu radialnych osadników wtórnych, w którym następuje usunięcie ze ścieków zawiesiny osadu czynnego wyniesionego ze zbiorników z osadem czynnym oraz zagęszczenie osadu i umożliwienia zawrócenia jego części do reaktorów, a pozostałego osadu nadmiernego do zagęszczacza, z którego osad po 8,0h stagnacji jest kierowany do zamkniętej komory fermentacji.
Urządzenie to posiada m.in.:
urządzenia do mieszania osadu (mieszadła mechaniczne o pionowej osi);
urządzenia do podgrzewania osadu;
przewody doprowadzające i odprowadzające osad;
przewody do odprowadzania wody pofermentacyjnej;
urządzenia pomiarowe.
Mieszanie osadu w zbiorniku ma, na celu wymieszanie dopływającego świeżego osadu z całą zawartością komory i wyrównanie temperatury oraz niszczenie powstającego na powierzchni kożucha.
W czasie fermentacji w komorze tej wydzielają się pęcherzyki gazu. Powstający biogaz kierowany jest do zbiornika gazów, a dalej do kotłowni i zostaje zużytkowany na cele własne oczyszczalni.
Po 30 dniach osad przefermentowany przechodzi do zagęszczacz osadu przefermentowanego i kolejno kierowany na poletka osadowe.
Wody nadosadowe powstające w : zagęszczaczach, komorze fermentacji oraz na poletkach osadowych kierowana jest do osadnika wstępnego.
OSADNIK WTÓRNY
Osadniki wtórne służą do oddzielenia osadu czynnego od oczyszczonych ścieków. Urządzenia do realizacji procesu oddzielania osadu czynnego od oczyszczonych ścieków muszą spełniać dwie funkcje:
klarowanie oczyszczonych ścieków,
zagęszczanie osadu recyrkulowanego.
Sedymentacja zachodząca w osadnikach wtórnych różni się od przeprowadzonej w osadnikach wstępnych. Zawiesiny osadu czynnego występują w osadnikach wtórnych w znacznie wyższych koncentracjach i sedymentują znacznie trudniej, ponieważ są bardzo lekkie. W osadnikach wstępnych proces procent usuwania zawiesin wynosi 50-70%. Mimo ze osad wtórny gorzej opada niż zawiesina ziarnista, efekt pracy osadnika wtórnego jest znacznie wyższy. Spowodowane jest to kłaczkowaniem osadu w ciężkie, wielki kłaczki oraz występowaniem warstwy osadu zawieszonego, który w pewnym sensie filtruje odpływające ścieki, wyłapując drobne, lekkie cząstki zawiesin.
Główne parametry decydujące o efekcie działania osadników wtórnych to: obciążenie hydrauliczne, obciążenie masą zawiesin, stężenie zawiesin w ściekach doprowadzanych do osadnika, właściwości sedymentacyjne osadu, czas przepływu ścieków i osadu recyrkulowanego przez osadnik wtórny, hydrauliczne obciążenie przelewów w korytach odpływowych wysokość warstwy osadu zawieszonego, budowa koryt odpływowych i temperatura ścieków doprowadzonych do osadnika.
Projektowanie osadników wtórnych odbywać się powinno na podstawie badań pilotowych osadu wyhodowanego na oczyszczonych ściekach. Czas przepływu ścieków przez osadnik określony jest jako stosunek natężenia przepływu ścieków do objętości osadnika, zmniejszonej o objętość przeznaczoną na zagęszczanie osadu. Wymagany czas przepływu ścieków zależy od wymaganego efektu oczyszczania, stężenia zawiesin i indeksu osadowego. Najczęściej stosowany czas przetrzymania ścieków w osadniku wtórnym wynosi 2,5-3,5 h.
KOMORA FERMENTACJI
W komorach fermentacji w wyniku beztlenowego rozkładu masy organicznej zawartej w osadach zostanie wytworzony biogaz, którego głównym składnikiem jest metan. Biogaz będzie gromadzony w zbiorniku, a następnie wykorzystany jako paliwo agregatów prądotwórczych. Dwa agregaty prądotwórcze o mocy 163 kW każdy, będą wytwarzać energię elektryczną, która pokryje zapotrzebowanie energetyczne oczyszczalni w 60%. Fermentacja odbywa się również w komorach, ale zupełnie innych niż wyżej wspomniane komory napowietrzania. W procesie fermentacji wydziela się gaz, którego głównym składnikiem jest łatwopalny metan. Gaz ten można wykorzystywać do celów grzewczych lub do wytwarzania energii elektrycznej .
ZAGĘSZCZACZ
Modułowy zagęszczacz sedymentacyjny przeznaczony jest do gromadzenia i wstępnego odwadniania osadów w procesach gospodarki wodno-ściekowej, zwłaszcza dla ścieków przemysłowych o znacznym udziale osadów. Modułowy zagęszczacz sedymentacyjny wyposażony jest w dwupoziomowy układ odwadniający i przelew nadmiarowy. Obydwa poziomy odwodnienia wyposażone są w zawory odcinające, kolektor zbiorczy zakończony jest szybką złączką.
ZAGĘSZCZACZE GRAWITACYJNE.
Zagęszczanie osadów realizowane może być w zagęszczaczach grawitacyjnych przepływowych. W wypadku stosowania takich zagęszczaczy, zwykle stosuje się kondycjonowanie osadu polimerami zapewniając czas mieszania osadu z polimerem wynoszący 10-20 min.
Dla zagęszczaczy o działaniu ciągłym (przepływowych) istotnym parametrem jest obciążenie hydrauliczne powierzchni, które wynosi od 1.2 - 2,4 m3/m2h. Czas zagęszczania, w zależności od rodzaju osadu wynosić może od kilku do 24 godzin. Zastosowanie mieszania w zagęszczaczach o działaniu ciągłym wpływa na kilkakrotne zmniejszenie czasu zagęszczania. Miarodajne wartości czasu zagęszczania osadu oraz obciążenia hydraulicznego zagęszczacza wyznacza się doświadczalnie. Głębokość zagęszczaczy wynosi 2,5 - 5,0 m i powinny być one wyposażone w zgarniacz osadu z dna urządzenia do leja (miejsca), z którego odprowadza się osad zagęszczony.
POLETKA OSADOWE
Do grawitacyjnego odwadniania i suszenia osadów są poletka osadowe. Składają się one z warstwy piasku o wysokości 0,15 - 0,25m usypanej na 0,3 m warstwie żwiru, w której ułożony jest system drenażowy zbierający i odprowadzający wodę drenażową. Uziarnienie piasku wynosi 0,3 - 1,2 mm, a zalecana wysokość zalewowa warstwy osadu jest równa 0,15 - 0,3m. Poletka pracują przemiennie i aby zapewnić wystarczający czas odwadniania i suszenia osadów oraz możliwość usuwania osadów wysuszonych należy przyjmować przynajmniej 3 poletka. Gdy pierwsze z nich jest zalewane osadem, to w pozostałych osad jest odwadniany i suszony.
Badania modelowe odwadniania osadów pokoagulacyjnych wykazały, że po jednej dobie odwadniania 0,2 metrowej warstwy osadu po koagulacji siarczanem glinowym objętość filtratu wynosiła 50 - 80 % objętości początkowej. Dla osadów po koagulacji solami żelaza, objętość filtratu wynosiła 35 - 50 %. Inne badania odwadniania osadów pokoagulacyjnych na poletkach osadowych wykazały, iż do ich odwodnienia do 60 %, w zależności od wilgotności i temperatury powietrza, wymagany czas wynosi od 15 do 60 dób. W warunkach klimatycznych Polski, możliwy maksymalny czas odwadniania osadów na poletkach wynosi 7 miesięcy w ciągu roku.
PODSUMOWANIE
Oczyszczaniu wody towarzyszy powstawanie określonych ilości ścieków i osadów zawierających usunięte z wody zanieczyszczenia. Celem gospodarki osadami i popłuczynami jest maksymalne zmniejszenie ich objętości oraz zagospodarowanie w sposób bezpieczny dla środowiska. Odwodnione osady mogą być składowane na wysypiskach odpadów, wykorzystywane do rekultywacji terenów, zalądowywania naturalnych nierówności oraz w rolnictwie i leśnictwie.
Zastosowanie urządzeń służących do zmniejszania uwodnienia osadów wpływa przede wszystkim na zmniejszenie kosztów ich transportu. Dlatego tak ważne jest stosowanie zagęszczania grawitacyjnego w zakładach uzdatniania
Obliczenia
3.1. Bilans ścieków
![]()
![]()
![]()
![]()
![]()
Qm - ścieki bytowo-gospodarcze z terenów skanalizowanych ![]()
QD- ścieki dowożone ![]()
Qi- ścieki przypadkowe - infiltracyjne ![]()
QP- ścieki przemysłowe ![]()
Charakterystyka przepływu ścieków miejskich do oczyszczalni
maksymalna dobowa objętość ścieków Qmaxd![]()
![]()
maksymalna godzinowa objętość Qhmax ![]()
![]()
Nd, Nh- współczynniki nierównomierności dopływu ścieków do oczyszczalni;
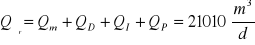
średnia roczna objętość ścieków
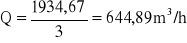
![]()
maksymalna roczna objętość ścieków
![]()
Bilans ładunków zanieczyszczeń
lp. |
Nazwa wskaźnika |
Jednostka |
Oznaczone stężenie |
1 |
BZT5 |
mgO2/dm3 |
520 |
2 |
ChZT |
mgO2/dm3 |
740 |
3 |
ZAWIESINA OGÓLNA |
mg/dm3 |
100 |
4 |
AZOT (Nog) |
mgN/dm3 |
18 |
5 |
FOSFOR (Pog) |
mgP/dm3 |
8 |
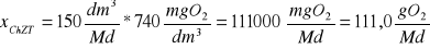
Jednostkowy ładunek zanieczyszczeń ![]()
BZT5
![]()
ChZT
![]()
Zawiesina ogólna
![]()
Nog
![]()
Pog
![]()
Obliczenia technologiczne
KRATY
Najczęściej stosowana w oczyszczalniach jest krata gęsta o prześwicie 20mm
![]()
jednostkowa liczba z kratek
M- liczba mieszkańców
RLM- równoważna liczba mieszkańców
![]()
Ogólną liczbę prześwitów n określa wzór:
![]()

Dla ustalonej liczby prześwitów n oraz grubość prętów s (m) ( zazwyczaj s= 0,01m ) oblicza się następnie całkowitą szerokość komory krat B
![]()
![]()
Przy zbyt dużej obliczeniowej szerokości komory krat mechanicznych dzieli się ją na dwie lub więcej węższych krat przeznaczonych do pracy równoczesnej.
Stratę wysokości zwierciadła przy przepływie ścieków przez kratę hk , zwiększoną współczynnikiem K z uwagi na opory wywołane zatrzymywanymi skratkami, oblicza się uproszczonym wzorem:

Zwykle K przyjmuje się w granicach 3-5, zaś współczynnik oporu miejscowego( jak dla wody czystej ) oblicza się wzorem

Wartość współczynnika ![]()
zależy od kształtu prętów i wynosi:
Dla prętów o przekroju prostokątnym ![]()
=2,42
Dla prętów prostokątnych z zaokrąglonymi krawędziami ![]()
=1,83
Dla prętów okrągłych ![]()
=1,79
Przyjmuje: ![]()
; K=5


=0,12m
PIASKOWNIK
Przyjęto piaskownik korytowy o przepływie poziomym z kanałem zwężkowym Parshalla.
Wysokość spiętrzenia ścieków w kanale przed przewężeniem dla b= 0,5m
![]()
![]()
2
![]()
Szerokość piaskownika

Wysokość napełnienia przy maksymalnym przepływie ścieków
![]()
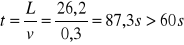
Długość piaskownika
![]()
![]()
- prędkość opadania ziaren piasku odpowiednio dla średnicy ziaren [![]()
]
Czas przetrzymania piasku w komorze
![]()
Przyjmuję jeden piaskownik rezerwowy
Urządzenia do zgarniania i usuwania osadu zatrzymanego w piaskowniku
Zgarnianie piasku następować będzie za pomocą zgrzebła przymocowanego do łańcuch Galla
Ilość zatrzymanego piasku w przybliżeniu (z sieci ogólnospławnej wg Imhoffa) 5-12![]()
Przyjmuję 8![]()
Ogólna ilość piasku wyniesie: ![]()
Średnodobowa ilość piasku: ![]()
Ciężar objętościowy osadu wynosi około 1,5![]()
przy wilgotności 60%
Osad usuwany z piaskownika należy suszyć na poletkach ociekowych.
Rzeczywiste obciążenie hydrauliczne piaskownika
![]()
OSADNIK WSTĘPNY
Przyjęto osiem osadników wstępnych poziomych
Przyjęto osadnik o szerokości 6m (normowo 4-10m);
Głębokość całkowita urządzenia 3,5m (normowo2,5-4m) ;
Głębokość użyteczna - głębokość części przepływowej przyjęto 2,0m (normowo 1,5-2,5m);
Głębokość części osadowej przyjęto 0,4m;
Głębokość części neutralnej przyjęto 0,4m (normowo 0,25-0,4m);
Wysokość od zwierciadła ścieków do krawędzi ścian osadnika przyjęto 0,35m (normowo 0,25-0,4m)
Przed odpływem ścieków znajduje się przegroda zatrzymująca części pływające - oddalona od wylotu o 0,45m (normowo 0,25-0,5m). Górna krawędź przegrody tej wystaje ponad poziom zwierciadła ścieków, zaś dolna jest zanurzona na 0,25m (normowo 0,2-0,3m);
Prędkość zgarniacza przyjęto 15![]()
(normowo 5-20 ![]()
);
Spadek dna w kierunku przeciwnym do kierunku przepływu ścieków nie powinna być mniejsza od 0,02.
Obliczenia osadnika poziomego metodą wskaźnikową przy złożonym teoretycznym czasie przebywania ścieków T w urządzeniu
Objętość użyteczną osadnika można uzyskać z zależności
![]()
![]()
![]()
Przyjmuję osiem osadników poziomych o objętości 423,20m3 każdy
Powierzchnię jednego osadnika wyznaczyć można z zależności
![]()
HU=2,5m
![]()
Długość osadnika
![]()
![]()
Warunki sprawności
![]()
warunek został spełniony
![]()
warunek został spełniony
![]()
warunek został spełniony
Obciążenie hydrauliczne jednego osadnika
![]()
KOMORA NAPOWIETRZANIA Z OSADEM CZYNNYM
Projektowane są osiem komór napowietrzania
Objętość użytkowa komory wyznaczona została przy założonym czasie napowietrzania 4,5h
![]()
Powierzchnia czynna komór wyznaczona została przy założonej głębokości 4,0m
![]()
Powierzchnia jednej komory wynosi: F= 272,06
Zakładam długość jednej komory 24,0m;
Przy założonej długości komory napowietrzania i jej powierzchni czynnej można wyznaczyć szerokość urządzenia. W tym przypadku wyniesie ona 11,0m;
Obliczenie sumarycznej wielkości obciążenia komór L
![]()
Obciążenie komór

Obciążenie jednego reaktora A1=446,67![]()
Całkowita wydajność dobowa komór:
![]()
![]()
Całkowita wydajność godzinowa komór:
![]()
![]()
Do napowietrzania stosowane są dyfuzory rurowe drobnopęcherzykowe zasilane
sprężonym powietrzem przesyłanym ze stacji dmuchaw, a do utrzymania osadu czynnego w zawieszeniu - mieszadła wolnoobrotowe. Ponadto wyposażenie reaktorów stanowią:
- dekantery z pompami do odprowadzania ścieków oczyszczonych,
- pompy do spustu osadu nadmiernego ,
- układ przewodów z armatury sterującej
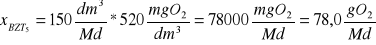
Wymagana ilość powietrza
![]()
Wymagana ilość powietrza dla jednego reaktora
![]()
OSADNIK WTÓRNY
Przyjmuję trzy osadniki wtórne radialne
Obliczenia osadnika wtórnego zostały przeprowadzone metodą wskaźnikową przy założonym czasie przebywania ścieków w osadniku T= 1,8h i założonym obciążeniu hydraulicznym q = 1,25![]()
`
Powierzchnia czynna przekroju

Powierzchnia jednego osadnika F1 = 515,912m2
Średnica osadnika radialnego wyznaczona została z zależności
![]()
![]()

Objętość użytkowa osadnika
![]()
![]()
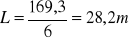
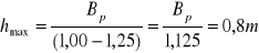
Średnia głębokość osadnika
![]()
Warunek ![]()
. Warunek został spełniony
Sprawdzenie warunków dotyczących poszczególnych wymiarów, proporcji pomiędzy nimi, wartości liczby Re i średniej prędkości v (dla przekroju poprzecznego w połowie promienia - odpowiadającego wysokości H)
Średnica osadnika D=26 m spełnia warunek 15m ≤ D ≤ 50m
Średnia wysokość osadnika H=2,2 m spełnia warunek H=1,5-2,5m
Stosunek średnicy osadnika do wysokości średniej D/H wynosi:
![]()
i spełnia warunek D/H > 6
Średnia prędkość przepływu w strefie sedymentacyjnej osadnika:
![]()
gdzie: Q - przepływ przez pojedynczy osadnika [m3/h]
Fp - przekrój poprzeczny w połowie promienia osadnika obliczony ze wzoru:
![]()
![]()
Po podstawieniu do wzoru na prędkość:
![]()
prędkość v'=0,002 m/s spełnia warunek v'≤ 0,1 m/s
Promień hydrauliczny dla osadników poziomych radialnych
![]()
gdzie: R- promień osadnika [m]
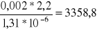
Liczba Reynoldsa
![]()
=![]()
υ - współczynnik lepkości kinematycznej dla wody w temp. t=10°C wynosi υ=1,31x10-6 m2/s
Liczba Reynoldsa wynosi:
Re=3358,8
Liczba Reynoldsa spełnia warunek Re<12500
Całkowita wysokość osadnika
hn - wysokość części neutralnej - przyjęto 0,7m (normowo 0,4-0,8m)
Hp - wysokość części niewypełnionej ściekami - przyjęto 0,4m (normowo 0,25-0,5m)
![]()
BILANS OSADÓW
Bilans osadów rozpoczyna się od ilości zawiesin dopływających ze ściekami do oczyszczalni. Stężenie zawiesiny ogólnej w ściekach wynosi 100 ![]()
. Przepływ ścieków równy jest 27313![]()
.
Masa zawiesin w dopływie = 0,1![]()
*27313![]()
= 2731,3![]()
W osadniku wstępnym zwykle ponad 60% zawiesin opadających trafia do leja i zostanie usunięta jako osad wstępny OW
Masa OW = 0,6*2731,3![]()
=1638,78![]()
Masa zawiesiny ogólnej płynąca do komory osadu czynnego =
2731,3![]()
-1638,78![]()
=1092,52![]()
W masie osadu zawarte jest około 25% całkowitego BZT5 wprowadzonego ze ściekami
Masa BZT5 usunięta w OW = 0,25*0,52![]()
*27313![]()
=3550,69![]()
Masa BZT5 płynącego do komory osadu czynnego =
14202,76 ![]()
-3550,69![]()
= 10652,07![]()
Przy założeniu, że w odpływie z osadnika wtórnego mamy 0,035![]()
zawiesiny ogólnej, masa straconego osadu w odpływie wyniesie = 0,035![]()
*27313![]()
=955,955![]()
Masa osadu powstałego z przyrostu biomasy, przyjmując przyrost osadu 0,6 ![]()
całkowitego usuniętego i 90% obniżkę BZT5 oraz odpływ równy 0,015![]()
BZT5, wyniesie :
0,6![]()
*(10652![]()
- 409,695![]()
)*0,9=5530,88![]()
Masa osadu powstała z zawiesiny wstępnej, przedostającej się do komór osadu czynnego będzie równa całej frakcji nieorganicznej (Zminer) i frakcji organicznej zawiesiny ogólnej, która nie ulegnie biologicznemu rozkładowi (Zorg.nierozkł.).
Masa osadu nadmiernego ON = 0,3Zorg.+0,36(0,7Zorg.)-Zorg.odpływu=0,3*1092,52+0,36*(0,7*1092,52)-955,955 = -352,88, czyli zawiesina ogólna nie wejdzie w skład osadu nadmiernego
Po uwzględnieniu dodatkowych zanieczyszczeń występujących w ściekach, a mianowicie: ChZT, N ogólny i P ogólny całkowita masa osadu (OW+ON) wyniesie: 7169,66![]()
Objętość osadów mieszanych

Przyjęto średnie uwodnienie osadu W1=95,5%
![]()
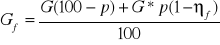
Sucha masa osadu przefermentowanego
![]()
p- zawartość substancji organicznych w suchej masie osadu w p=70-75 %
ηf=0,45-0,50 (ηf=0,5 jest uważany za techniczną granicę rozkładu).
przyjmuję p=75 %, ηf=0,45
![]()
Objętość osadu przefermentowanego (Vf)

obliczeniowa objętość osadu
![]()
ZAGĘSZCZACZ
Przyjmuję zagęszczacz pionowy grawitacyjny w którym występuje stopniowy dopływ osadu surowego i porcjowe odprowadzenie wody nadosadowej oraz osadu zagęszczonego.
Odprowadzenie zagęszczonego osadu następuje w dolnej części urządzenia;
Prędkość opadania cząstek osadu o wilgotności 99,7-99,8% wynosi 0,08-0,09mm/s.
Czas trwania procesu zagęszczania przyjmuję 8h (normowo 5-10h)
Objętość komory fermentacji
![]()
KOMORA FERMENTACJI
Objętość komory fermentacji
![]()
Wysokość komory przyjmuję 8,0m
Powierzchnia czynna jednej komory
![]()
POLETKA OSADOWE
Ilość osadu wywożona na poletka 79,16![]()
=28893,4![]()
Wilgotność osadu wywożonego na poletka przyjmuję 75%
Szerokość poletka przyjmuję 7m (normowo 5-7m);
Podłoże poletka projektuje się jako: dwuwarstwowe. warstwa dolna - żwirowa o grubości 0,3m. Warstwa górna - piaskowa o grubości 0,2m;
Wzdłuż poletek wykonać należy drenaż z sączków ułożonych na głębokości około 1,0m poniżej powierzchni podłoża poletek. Średnica sączków 75mm;
Przyjmuję 7 zalewów rocznie i wysokość jednego zalewu h = 0,25m
Roczna wysokość zalewu poletek wynosi H= 2,0 m (normowo 1,2-2,0m)
Całkowita powierzchnia poletek wynosi: ![]()
= 3078,17m2
Długość poletka osadowego 40m = Lmax
Powierzchnia jednego poletka : B*L=7,0m*40,0m=280m
Liczba poletek osadowych n = 
![]()