Politechnika Częstochowska
Zakład Konstrukcji Betonowych
Ćwiczenie nr 2/2013
Metoda sklerometryczna
Studia niestacjonarne
I-go stopnia, semestr 6
Zespół nr 24
Wiesław Krygier
Data złożenia…………………. Ocena………………………..
Oszacowanie wytrzymałości i jakości betonu elementu konstrukcyjnego
metodą sklerometryczną
przy użyciu młotka Schmidta
(sprawozdanie z wykonanego ćwiczenia)
Przedmiot badań
Przedmiotem badań jest płyta prefabrykowana oraz słup drugiej kondygnacji, budynku politechniki usytuowanego w Częstochowie przy ulicy Akademickiej. Badanie wykonano przy użyciu młotka Schmidta typu N, a opracowanie wyników pomiarów dokonano na podstawie instrukcji ITB nr. 210.
Właścicielem budynku położonego na działce o powierzchni 3000 m2 jest Politechnika Częstochowska. Ekspertyza została wykonana przez Firmę Rara Avis (- Częstochowa 2013r., NIP: 573-244-26-68). Badanie wykonał Wiesław Krygier, na zlecenie Politechniki Częstochowskiej.
Podstawą do niniejszego opracowania jest: Umowa Nr DTE - 666 / U /05 /13 z dnia 11.05.2013r. zawarta pomiędzy Politechniką Częstochowską i Autorem niniejszego opracowania.
Pomiary wykonano w dniu 11 maja 2013r. Przy temperaturze 10° Celsjusza i dużej wilgotności.
Cel Badań
Celem Ekspertyzy jest oszacowanie wytrzymałości i jakości betonu elementu konstrukcyjnego wymienionego w pkt.1.
Zakres Badań
Badania wykonano w 12 miejscach pomiarowych. W każdym miejscu pomiarowym obrano 9 punktów pomiarowych. Pomiary wykonano za pomocą młotka Schmidta (typ N).
Protokół pomiarów
Badany element konstrukcyjny datuje się na wiek t=205 dni. Jest on w doskonałym stanie technicznym, pozbawiony widocznych rys oraz spękań (mogących wskazywać na zbyt duże naprężenia lub złą pracę konstrukcji), elementów luźniej związanych z całością resztek farby czy oleju oraz śladów korozji.
Pomiary wykonywano przy temperaturze 18° Celsjusza; wilgotność betonu została oceniona jako sucha.
Miejsca pomiarowe zostały wyznaczone równomiernie na całej powierzchni elementu (każde o powierzchni ok. 50 cm2), a poszczególne punkty pomiarowe są oddalone od siebie co najmniej o 3cm. Każde miejsce pomiarowe zostało uprzednio przygotowane poprzez ręczne wytarcie do głębokości otuliny 3mm.
Miejsca pomiarowe numer 1, 2, 10, 11,12 zgodnie z tabelą zał. 1 - słup ( kąt 45°)
Miejsca pomiarowe od numeru 3-9 zgodnie z tabelą zał. 1 - strop (kąt 0°)
Wyniki zostały zapisane w tabeli (załącznik Nr.1)
Załącznik Nr 1
5. Część analityczna:
a. Analiza zmienności liczby odbicia :
-liczba odbicia w punkcie pomiarowym (Zal.1- tab.2):
lnom=80 lk=83
-średnia liczba odbicia dla badanego elementu (tab.3):
Tab.3
- Kontrola rozrzutu wskazań wokół średniej dla miejsca (Zał.1-tab.4) :
- Średnia liczba odbicia dla miejsca z uwzględnieniem wpływu odchylenia młotka od poziomu (tab.5) :
Tab.5
- Średnia liczba odbicia od elementu :
|
- Odchylenie standardowe :

- Współczynnik zmienności liczby odbicia :

b. Wytrzymałość średnia betonu w kolejnych miejscach pomiarowych :
- Wytrzymałość betonu w kolejnych miejscach pomiarowych (tab.6) :

Tab.6
- Średnia wytrzymałość betonu dla badanego elementu :

- Odchylenie standardowe wytrzymałości :

- Współczynnik zmienności wytrzymałości :

- Wytrzymałość betonu na ściskanie :

- Współczynnik jednorodności :

- Określenie klasy betonu :

6. Wnioski :
W wyniku obliczeń i oszacowaniu na podstawie danych z badań stwierdzono :
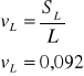
- Wytrzymałość średnia betonu w badanych elementach :
![]()
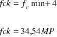
- Wytrzymałość minimalna betonu w badanych elementach :
![]()
- Klasa betonu : C30/37
Ocena jednorodności betonu na podstawie współczynnika zmienności pozwala ocenić jednorodność na poziomie bardzo dobrym. Klasa betonu : C30/37.
str. 8