EKONOMETRIA - ĆWICZENIA.
Ćwiczenia z dnia 15.04.2012 r.
Praca domowa zad 2.2
1.
2.
X |
Y |
|
|
|
|
|
|
|
|
1 |
240 |
-2,5 |
6,25 |
81,25 |
-203,125 |
224,024 |
255,232 |
6601,56 |
1 |
2 |
200 |
-1,5 |
2,25 |
41,25 |
-61,875 |
197,913 |
4,355 |
1701,56 |
4 |
3 |
160 |
-0,5 |
0,25 |
1,25 |
-1,25 |
171,802 |
139,287 |
1,56 |
9 |
3 |
165 |
-0,5 |
0,25 |
6,25 |
-3,125 |
171,802 |
46,267 |
39,06 |
9 |
4 |
140 |
0,5 |
0,25 |
-18,75 |
-9,375 |
145,691 |
32,387 |
351,56 |
16 |
4 |
135 |
0,5 |
0,25 |
-23,75 |
-11,875 |
145,691 |
114,297 |
564,06 |
16 |
5 |
120 |
1,5 |
2,25 |
-38,75 |
-58,125 |
119,58 |
0,176 |
1501,56 |
25 |
6 |
110 |
2,5 |
6,25 |
-48,75 |
-121,875 |
93,469 |
273,274 |
2376,56 |
36 |
28 |
1270 |
X |
18 |
X |
-470 |
|
865,275 |
13137,48 |
116 |


JEŻELI LICZBA OSÓB ZWIĘKSZY SIĘ O JEDNĄ JEDNOSTKĘ TO WYDATKI NA ŻYWNOŚĆ ZMALEJĄ O 26,11 ZŁ.
3. odchylenie resztowe, współczynnik zbieżności, współczynnik determinacji, współczynnik zmienności
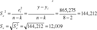
ODCHYLENIE RESZTOWE

WIELKOŚĆ WYDATKÓW WYZNACZONYCH NA PODSTAWIE FUNKCJI REGRESJI RÓŻNI SIĘ OD WIELKOŚCI RZECZYWISTEJ PRZECIĘTNIE O 12,009 ZŁ .
WSPÓŁCZYNNIK ZMIENNOŚCI LOSOWEJ.

SĄ TO BARDZO NIEWIELKIE ODCHYLENIA, BARDZO NIEWIELKI UDZIAŁ W Y.
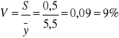
WSPÓŁCZYNNIK ZBIEŻNOŚCI

W 6,6% ZMIENNOŚĆ WYDATKÓW NIE JEST WYJAŚNIONA Z ZMIENNOŚCIĄ LICZBY OSÓB.
WSPÓŁCZYNNIK DETERMINACJI

W 93,4 % ZMIENNOŚĆ WYDATKÓW JEST WYJAŚNIONA ZMIENNOŚCIĄ LICZBY OSÓB.
r2 - bardzo dobrze dopasowany
4. ![]()
BARDZO SILNA ZALEŻNOŚĆ MIĘDZY ZMIENNYMI, UJEMNA

SZACUJĄC WIELKOŚCI PARAMETRÓW ![]()
NA PODSTAWIE 8 ELEMENTOWEJ PRÓBY MYLIMY SIĘ ŚREDNIO O 10,778 DLA ![]()
I 2,830 DLA ![]()
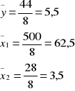
5. ![]()
W PRZYPADKU RODZINY 8 - OSOBOWEJ WYDATKI BĘDĄ WYNOSIĆ 41,25 ZŁ.
Praca domowa zad 2.3
1.
2.
X |
Y |
|
|
|
|
|
|
|
|
30 |
60 |
-20 |
400 |
-60 |
1200 |
65,4 |
29,16 |
3600 |
900 |
33 |
90 |
-17 |
289 |
-30 |
510 |
73,59 |
269,288 |
900 |
1089 |
37 |
60 |
-13 |
169 |
-60 |
780 |
84,51 |
600,740 |
3600 |
1369 |
44 |
130 |
-6 |
36 |
10 |
-60 |
103,62 |
695,904 |
100 |
1936 |
47 |
110 |
-3 |
9 |
-10 |
30 |
111,81 |
3,276 |
100 |
2209 |
55 |
155 |
5 |
25 |
35 |
175 |
133,65 |
455,822 |
1225 |
3025 |
55 |
100 |
5 |
25 |
-20 |
-100 |
133,65 |
1132,322 |
400 |
3025 |
57 |
120 |
7 |
49 |
0 |
0 |
139,11 |
365,192 |
0 |
3249 |
65 |
190 |
15 |
225 |
70 |
1050 |
160,95 |
843,902 |
4900 |
4225 |
77 |
185 |
27 |
729 |
65 |
1755 |
193,71 |
75,864 |
4225 |
5929 |
500 |
1200 |
X |
1956 |
X |
5340 |
|
4471,47 |
19050 |
26956 |

![]()
JEŻELI POWIERZCHNIA MIESZKAŃ ZWIĘKSZY SIĘ O JEDNĄ JEDNOSTKĘ TO CENA ICH ZWIĘKSZY SIĘ O 2730 ZŁ .
3. odchylenie resztowe, współczynnik zbieżności , współczynnik determinacji, współczynnik zmienności
ODCHYLENIE RESZTOWE

WIELKOŚĆ CEN MIESZKAŃ WYZNACZONA NA PODSTAWIE FUNKCJI REGRESJI RÓŻNI SIĘ OD WIELKOŚCI RZECZYWISTEJ PRZECIĘTNIE O 23,642 TYS ZŁ.
WSPÓŁCZYNNIK ZMIENNOŚCI LOSOWEJ.

SĄ TO NIEWIELKIE ODCHYLENIA, NIEWIELKI UDZIAŁ W Y .
WSPÓŁCZYNNIK ZBIEŻNOŚCI

W 23,5% ZMIENNOŚĆ CEN MIESZKAŃ NIE JEST WYJAŚNIONA Z ZMIENNOŚCIĄ POWIERZCHNI MIESZKAŃ.
WSPÓŁCZYNNIK DETERMINACJI

W 76,5% ZMIENNOŚĆ CEN MIESZKAŃ JEST WYJAŚNIONA Z ZMIENNOŚCIĄ POWIERZCHNI MIESZKAŃ.
r2 - dobrze dopasowany
4. 
SZACUJĄC WIELKOŚCI PARAMETRÓW ![]()
NA PODSTAWIE 10 ELEMENTOWEJ PRÓBY MYLIMY SIĘ ŚREDNIO 0 27,754DLA ![]()
I 0,534 DLA ![]()
5.
![]()
SILNA ZALEŻNOŚĆ MIĘDZY ZMIENNYMI , DODATNIA
6.
![]()
CENA MIESZKANIA O POWIERZCHNII 70 M2 BĘDZIE WYNOSIĆ PRZECIĘTNIE 174,600 TYS ZŁ.
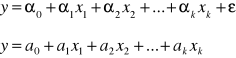
MODEL LINIOWY REGRESJI WIELU ZMIENNYCH



![]()



Zad 3.1
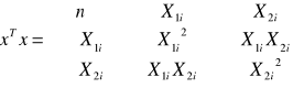
1. parametry liniowego modelu regresji
Y |
X1 |
X2 |
|
|
|
|
|
|
|
|
2 |
30 |
1 |
900 |
1 |
30 |
60 |
2 |
2,05 |
0,0025 |
12,25 |
4 |
40 |
2 |
1600 |
4 |
80 |
160 |
8 |
3,40 |
0,36 |
2,25 |
4 |
50 |
3 |
2500 |
9 |
150 |
200 |
12 |
4,75 |
0,5625 |
2,25 |
5 |
60 |
3 |
3600 |
9 |
180 |
300 |
15 |
4,85 |
0,0225 |
0,25 |
6 |
60 |
4 |
3600 |
16 |
240 |
360 |
24 |
6,1 |
0,01 |
0,25 |
6 |
80 |
4 |
6400 |
16 |
320 |
480 |
24 |
6,3 |
0,09 |
0,25 |
8 |
80 |
5 |
6400 |
25 |
400 |
640 |
40 |
7,55 |
0,2025 |
6,25 |
9 |
100 |
6 |
10000 |
36 |
600 |
900 |
54 |
9 |
0 |
12,25 |
44 |
500 |
28 |
35000 |
116 |
2000 |
3100 |
179 |
|
1,25 |
36 |








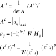
wyznacznik musi być różny od zera





![]()
a1 - JEŻELI POWIERZCHNIA SKLEPU WZROŚNIE O JEDNOSTKĘ ZAKŁADAJĄC ŻE LICZBA ZATRUDNIONYCH SPRZEDAWCÓW POZOSTAJE BEZ ZMIAN TO PRZECIĘTNY DZIENNY OBRÓT WZROŚNIE O 0,01 TYS ZŁ .
a2 = JEŻELI LICZBA ZATRUDNIONYCH SPRZEDAWCÓW WZROŚNIE O JEDNOSTKĘ ZAKŁADAJĄC ŻE POWIERZCHNIA SKLEPU POZOSTANIE BEZ ZMIAN TO PRZECIĘTNY DZIENNY OBRÓT WZROŚNIE O 1,25 TYS ZŁ.
2. dopasowanie funkcji regresji do danych empirycznych

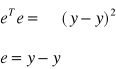
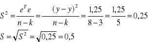
WARIANCJA RESZTOWA

PRZECIĘTNY DZIENNY OBRÓT WYZNACZONY NA PODSTAWIE FUNKCJI REGRESJI RÓŻNI SIĘ OD WARTOŚCI RZECZYWISTEJ PRZECIĘTNIE O 0,5 TYS ZŁ.
WSPÓŁCZYNNIK ZMIENNOŚCI LOSOWEJ

ROZPROSZENIE MAŁE CO ŚWIADCZY O DOBRYM DOPASOWANIU DANYCH RZECZYWISTYCH
WSPÓŁCZYNNIK ZBIEŻNOŚCI
![]()


W 3,5 % ZMIENNOŚĆ PRZECIĘTNEGO DZIENNEGO OBROTU NIE JEST WYJAŚNIONA Z ZMIENNOŚCIĄ POWIERZCHNI SKLEPU I LICZBĄ ZATRUDNIONYCH SPRZEDAWCÓW.
WSPÓŁCZYNNIK DETERMINACJI

W 96,5% ZMIENNOŚC PRZECIĘTNEGO DZIENNEGO OBROTU JEST WYJAŚNIONA ZMIENNOŚCIĄ POWIERZCHNI SKLEPU I LICZBĄ ZATRUDNIONYCH SPRZEDAWCÓW.
r2 - bardzo dobrze dopasowany
3. współczynnik korelacji wielorakiej
![]()
BARDZO SILNA ZALEŻNOŚĆ MIĘDZY ZMIENNYMI
4. standardowe błędy szacunku dla poszczególnych parametrów
![]()

a0 a1 a2

SZACUJĄC WIELKOŚCI PARAMETRÓW ![]()
NA PODSTAWIE 8 ELEMENTOWEJ PRÓBY MYLIMY SIĘ ŚREDNIO O 0,612 DLA ![]()
, 0,03 DLA ![]()
I 0,433 DLA ![]()
5.
![]()
JEŻELI POWIERZCHNIA SKLEPU BĘDZIE WYNOSIĆ 70 M2 PRZY ZATRUDNIENIU 4 PRACOWNIKÓW TO PRZECIĘTNY DZIENNY OBRÓT SKLEPU BĘDZIE WYNOSIĆ 6,2 TYS ZŁ.