R-X, Studia - Chemia kosmetyczna UŁ, II rok, IV semestr, CHEMIA ORGANICZNA konwersatorium


REAKCJE CHLOROWCOPOCHODNYCH

0x01 graphic

0x01 graphic

REAKCJE CHLOROWCOPOCHODNYCH

REAKCJE PODSTAWIENIA NUKLEOFILOWEGO - SN

0x01 graphic

MECHANIZMY REAKCJI SN

0x01 graphic

X

:Nu

F-; Cl-, Br-, I-

NC-> HS-> I-, NH3> HO-> Br->>H2O; etc>

0x01 graphic

MECHANIZM REAKCJI SN1

REAKCJA I-RZĘDU

0x01 graphic

MECHANIZM

0x01 graphic

0x01 graphic

MECHANIZM REAKCJI SN2

REAKCJA II-RZĘDU

0x01 graphic

MECHANIZM

0x01 graphic

0x01 graphic

0x01 graphic

PRZEBIEG REAKCJI SN

1. WPŁYW CHLOROWCA

0x01 graphic

0x01 graphic

2. WPŁYW HYBRYDYZACJI

0x01 graphic

0x01 graphic

0x01 graphic

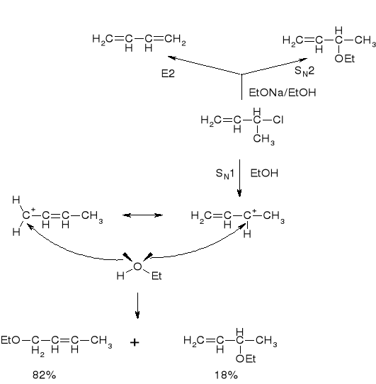
3. WPŁYW STRUKTURY X NA PRZEBIEG REAKCJI SN: SN1/SN2

0x01 graphic

3. WPŁYW NUKLEOFILA

SZEREG NUKLEOFILOWOŚCI W ROZTWORACH WODNYCH/ ALKOHOLOWYCH

0x01 graphic

SZEREG NUKLEOFILOWOŚCI HALOGENKÓW W ACETONIE

0x01 graphic

WPŁYW NUKLEOFILA NA PRZEBIEG SN

MOC NUKLEOFILA

FAWORYZOWANY TYP REAKCJI

DUŻA

SN2

MAŁA

SN1

TRWAŁOŚĆ KARBOKATIONÓW

0x01 graphic

0x01 graphic

REAKCJE ELIMINACJI

0x01 graphic

REAKCJE ELIMINACJI: E1 & E2

0x01 graphic

MECHANIZMY: SN1 vs. E1

0x01 graphic

Nu (NUKLEOFIL) vs. NuB [(BASE) ZASADA]

0x01 graphic

E1: REGIOCHEMIA REAKCJI

0x01 graphic

REAKCJA ELIMINACJI E2

0x01 graphic

0x01 graphic

E2: REGIOCHEMIA REAKCJI

0x01 graphic

REGUŁA ZAJCEWA

TWORZENIE ALKENU PRZEBIEGA Z PREFERENCJA DLA ALKENU BARDZIEJ ROZGAŁĄZIONEGO PRZY WIĄZANIU C=C

E2: STEREOCHEMIA REAKCJI

0x01 graphic

0x01 graphic

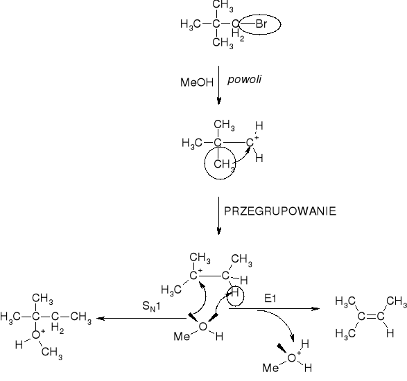
PRZEGRUPOWANIE W REAKCJACH SN & E

0x01 graphic

SN1/E1

0x01 graphic

KONKURENCJA REAKCJI SN & E

0x01 graphic

1. WPŁYW ZASADOWOŚCI NUKLEOFILU (Nu ≡ B)

0x01 graphic

SN/E

1. WPŁYW ZASADOWOŚCI NUKLEOFILU (Nu ≡ B)

2. WPŁYW STRUKTURY HALOGENKU

3. WPŁYW STRUKTURY ZASADY

1. WPŁYW ZASADOWOŚCI NUKLEOFILA (ZASADY)

0x01 graphic

2. WPŁYW STRUKTURY HALOGENKU

2.1. WPŁYW HALOGENKU

0x01 graphic

WPŁYW HALOGENKU NA SZYBKOŚĆ REAKCJI E

GRUPA OPUSZCZAJĄCA X-

WZGLĘDNA SZYBKOŚĆ R. E

Cl-

1

Br-

58

I-

401

WZGLĘDNA SZYBKOŚĆ REAKCJI ELIMINACJI

Cl < Br < I

2. WPŁYW STRUKTURY HALOGENKU

2.2. WPŁYW RZĘDOWOŚCI HALOGENKU

0x01 graphic

0x01 graphic

0x01 graphic

0x01 graphic

WPŁYW RZĘDOWOŚCI HALOGENKU NA PREFERENCJĘ SN/E

0x01 graphic

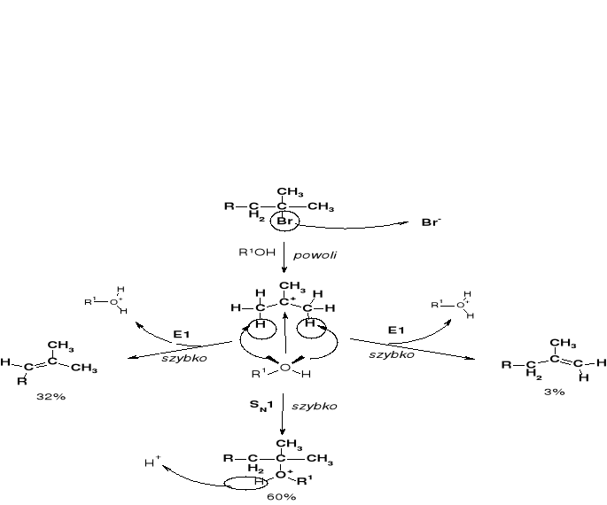
2.3. WPŁYW ŁAŃCUCHA W HALOGENKU

0x01 graphic

0x01 graphic

0x01 graphic

0x01 graphic

0x01 graphic

INTRODUKCJA ŁAŃCUCHA BOCZNEGO WZROST UDZIAŁU PRODUKTÓW ELIMINACJI

3. WPŁYW STRUKTURY ZASADY

0x01 graphic

RO-

ETEN

ETER

EtO-

10%

90%

tBuO-

70%

30%

REAKCJE α-ELIMINACJI HALOGENKÓW

0x01 graphic

0x01 graphic

β-ELIMINACJA

α-ELIMINACJA

α-ELIMINACJA

0x01 graphic

0x01 graphic

0x01 graphic

KARBEN SINGLETOWY

KARBEN TRIPLETOWY

ZE WZGLĘDU NA NIETRWAŁOŚĆ CHLOROKARBENU

0x01 graphic

OBECNOŚC TYCH ZWIĄZKÓW UJAWNIA SIĘ W REAKCJI INSERCJI DO ALKENU

0x01 graphic

REAKCJĘ GENERACJI KARBENU PROWADZI SIĘ W OBECNOŚCI ALKENU

0x01 graphic

HALOGENKI ALLILOWE

0x01 graphic

HALOGENKI WINYLOWE

PORÓWNANIE REAKTYWNOŚCI

0x01 graphic

0x01 graphic

ELIMINACJA HX Z HALOGENKÓW WINYLOWYCH - SYNTEZA ALKINÓW

0x01 graphic

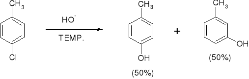
HALOGENKI ARYLOWE - PODSTAWIENIE

0x01 graphic

X = F, Cl, Br, I

Nu = HO-; RO-; H3N:; R-NH2; CN-; NH2-

PRZYKŁADY PODSTAWIEŃ NUKLEOFILOWYCH W HALOGENKACH ARYLOWYCH

0x01 graphic

0x01 graphic

0x01 graphic

0x01 graphic

0x01 graphic

REAKCJA

WZGLĘDNA SZYBKOŚĆ

0x01 graphic

0x01 graphic

1

0x01 graphic

105-106

F- >> Cl- ~ Br- ~ I-

Ar-X - MECHANIZMY PODSTAWIENIA:

ELIMINACJA/ADDYCJA

0x01 graphic

Generacja amidku miedzi Cu(I)NH2

0x01 graphic

Atak amidku na wodór w pozycji orto - utworzenie benzynu

0x01 graphic

Addycja amoniaku do BENZYNU

0x01 graphic

Ar-X - MECHANIZMY PODSTAWIENIA: ELIMINACJA/ADDYCJA

0x01 graphic

0x01 graphic

0x01 graphic

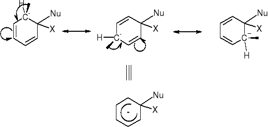
Ar-X - MECHANIZMY PODSTAWIENIA:

ADDYCJA/ELIMINACJA

0x01 graphic

0x01 graphic

0x01 graphic

X: F >> Cl

Y: NO2,

SYNTEZA HALOGENKÓW ALKILU/ARYLU

4



Wyszukiwarka