AUTOMATYKA jest to dyscyplina naukowa i techniczna zajmująca się teoria i praktyczna realizacją urządzeń sterujących obiektami technicznymi bez udział człowieka lub z ograniczonym jego udziałem. Jest podstawa teoretyczna konstruowania atomów oraz podstawa automatyzacji.
AUTOMATYZACJA jest to wprowadzenie do produkcji, transportu, pracy biurowej i innych dziedzin - urządzeń automatycznych w celu samoczynnego sterowania, regulowania obiektów technicznych oraz kontrolowania przebiegu różnych procesów.
AUTOMATYCZNY (1) wykonujący cały cykl pracy bez udziału człowieka, (2) wykonywany za pomocą automatu.
AUTOMAT urządzenie techniczne, którego istotną cechą jest zdolność samoczynnie wykonywania pewnego ciągu czynności zgodnie z góry przyjętym algorytmem działania.
STEROWANIE - działanie na określony układ mające na celu zapewnienie jego zachowania się w żądany sposób.
STEROWANIE RECZNE - takie, w którym człowiek spełnia role przynajmniej jednego członu układu sterowania.
STEROWANIE AUTOMATYCZNE - odbywa się bez udziału człowieka.
STEROWANIE ZDALNE - takie, przy którym sygnały sterujące (najczęściej elektryczne) przesyłane SA do obiektów sterowanych znajdujących się w znacznej odległości od urządzenia sterującego.
STEROWANIE W UKŁADZIE OTWARTYM - tj. bez sprzężenia zwrotnego tzn. bez możliwości wyeliminowania wpływu wielkości zakłócających na przebieg danego procesu.
STEROWANIE W UKŁADZIE ZAMKNIĘTYM - (REGULACJA)
REGULACJA(szczególny przypadek sterowania) utrzymywanie zadanej z góry wartości określonego parametru lub grupy parametrów danego procesu.
REGULACJA AUTOMATYCZNA taka, w której zarówno pomiar uchybu wielkości regulowanej, jak i odpowiednie zmiany warunków pracy obiektu regulacji są przeprowadzane automatycznie przez urządzenie regulujące, które przekazuje sygnały do obiektu za pośrednictwem nastawnika.
NASTAWNIK - element układu regulacji, który bezpośrednio wpływa na natężenie lub kierunek strumienia energii lub masy pośrednio zaś na wielkość regulowaną.
SYSTEM jest to zbiór elementów określonych ze sobą powiązanych stanowiących całość o określonym przeznaczeniu i scharakteryzowanych pewną liczba wielkości zwanych zmiennymi systemów.
OTOCZENIE SYSTEMU zbiór elementów spełniających warunki:
Zmiany zmiennych charakteryzujących te elementy oddziaływują na zmienne systemy
Zmiany zmiennych systemu oddziaływują na zmienne elementów tworzące otoczenie sprzężenia istniejące pomiędzy elementem a jego otoczeniem dzieli się na zmienne wejściowe i wyjściowe systemu.
ZMIENNYMI WEJŚCIOWYMI (wejściami WE) nazywamy zmienne przedstawiające oddziaływanie otoczenia na system.
ZMIENNYMI WYJŚCIOWYMI (wyjściami WY) nazywamy zmienne przedstawiające oddziaływanie systemu na otoczenie.
STAN SYSTEMÓW zbiór wszystkich zmiennych systemu, których znajomość danym momencie czasu wraz ze znajomością przyszłych przebiegów czasowych zmienych wejściowych, umożliwia określenie przyszłych przebiegów czasowych zmiennych wyjściowych.
Zmienne systemu tworzące stan systemu nazywamy, WSPÓRZEDNYMI STANU.
WSPÓŁPRACA UKŁADU AUTOMATYKI Z OBIEKTEM
PODSTAWOWE BLOKI UKŁADU AUTOMATYKI
STEROWANIE SYSTEMU to taka zmiana w czasie jego wejść, która zapewni osiągnięcia celu działania tego systemu.
WEJŚCIA DZIELI SIĘ NA:
WEJŚCIA STERUJĄCE (sterowania)mogące służyć do celowego oddziaływania na obiekt sterowania.
WEJŚCIA ZAKŁÓCAJĄCE (zakłócenia) zmieniające się w sposób zdeterminowany przez otoczenie systemu i niesłużące do celowego oddziaływania na obiekt sterowania.
STEROWANIE W TORZE OTWARTYM
I STEROWANIE ZE SPRZĘŻENIEM ZWROTNYM
Podstawowe sposoby sterowania:
-sterowanie w torze otwartym
-sterowanie ze sprzężeniem zwrotnym.
Przy STEROWANIU W TORZE OTWARTYM system sterujący określa przebieg czasowy wejść sterujących obiektu w sposób niezależny od współrzędnych etapów obiektu.
Przy STEROWANIU ZE SPRZĘŻENIEM ZWROTNYM system sterujący określa przebieg czasowy wejść sterujących obiektu w zależności od niektórych lub wszystkich współrzędnych stanu.
Obiektu realizacja sterowania ze sprzężeniem zwrotnym wymaga wiec pomiaru niektórych lub wszystkich współrzędnych stanu obiektu.
Dla obwodu sposobów sterowania, przebiegu wejść sterujących obiektu może być dodatkowo uzależniony od zakłóceń oddziaływujących na obiekt.
W tym celu należy mierzyć zakłócenia a wynik pomiaru przetworzyć w systemie sterującym na taki przebieg wejść sterujących by skompensować wpływ tych zakłóceń na obiekt sterowania.
Oznaczenie schematów blokowych:
US - urządzenie sterujące
R - regulator (urządzenie sterujące)
Q - obiekt regulacji
Y - wielkość regulowana (sterowana)
W - wartość zdana wielkości regulowanej
X - sygnał sterujący (nastawiający)
e = Y - W błąd regulacji
Z - zakłócenia
KLASYFIKACJA UKŁADÓW AUTOMATYKI
Podział ze względu na liniowość elementów układu:
Układy liniowe - działanie ich można opisać z wystarczającą dokładnością za pomocą liniowego modelu matematycznego ( wszystkie elementy są liniowe, czyli o liniowej charakterystyce statycznej)
Układy nieliniowe - (w układzie występuje przynajmniej jeden element nieliniowy) są to elementy o nieliniowej charakterystyce statycznej.
PODZIAŁ ZE WZGLĘDU NA ZADANIE UKŁADU
Układy stabilizujące - układy regulacji stało wartościowe są to układy, których algorytm działania realizuje utrzymywanie wielkości sterowanej na stałej wartości (wartość zadana wielkości regulowanej jest stała) ω= const.
Układy programowe - algorytm realizuje zmianę wielkości sterowania według zadanego programu (ω- zadanie jest programem)
Układy nadążne - algorytm działania realizuje pewien przebieg wielkości sterowanej, przy czym przebieg ten nie jest z góry znany (wielkość regulowana nadąża za zakłóceniem)
Układy ekstremalne, w których utrzymuje się automatycznie optymalny pt. pracy zapewniający ekstremum ( max, min) na charakterystyce przedstawiającej zależność wskaźnika jakości od wielkości sterujących lub parametrów układu sterującego.
Układy adaptacyjne zawierają urządzenia, które których przypadku zmian własności obiektu lub oddziaływań zewnętrznych wywołują zmiany algorytmu sterowania zapewniające realizacje pożądanego działania całego układu.
PODZIAŁ ZE WZGLĘDU NA SPOSÓB DZIAŁANIA
Układy o działaniu ciągłym - wielkości wyjściowe wszystkich istotnych części są ……. analogowymi , są zależnymi w sposób ciągły od wartości wielkości wejściowych.
Układy nieciągłe - wielkości wyjściowe przynajmniej jednego z istotnych elementów urządzenia sterującego może przetwarzać wielkości wejściowe tylko w określonych momentach czasu, przy czym wielkości wyjściowe tych elementów są sygnałami próbkowanymi lub dyskretnymi.
PODZIAŁ ZE WZGLĘDU NA SPOSÓB PRZEDSTAWIANIA WYNIKÓW POMIAROWYCH, WIELKOŚCI REGULOWANYCH
Układy analogowe, w których wielkość regulowana jest mierzona i przetwarzana na inna wielkość fizyczną o przebiegu w czasie analogicznym jak przebieg wielkości regulowanej.
Układy cyfrowe, których wyniki pomiarowe i wielkości regulowanej są przetwarzane na sygnał cyfrowy i wyrażane w postaci liczby.
PODZIAŁ ZE WZGLĘDU NA LICZBE REGULACJI
Układy jednoparametrowe (jednoobwodowe) posiadają jedno główne sprzężenie zwrotne a nieposiadające sprzężeń zewnętrznych.
Układy wieloobwodowe posiadające więcej niż jedno sprzężenie główne lub pomocnicze.
Spośród układów wieloobwodowych wyróżniają się układy kaskadowe, których wielkości wyjściowe z urządzeń sterujących jednego obwodu regulacji są wielkościami zadanymi innych obwodów regulacji.
PODZIAL ZE WZGLĘDU NA LICZBE WIELKOŚCI REGULOWANYCH
Układy jednoparametrowe o jednej wielkości regulowanej.
Układy wieloparametrowe o wielu wielkościach regulowanych.
PODZIAL ZE WZGLĘDU NA RODZAJ APARATURY REGULACYJNEJ
Układy mechaniczne
Układy hydrauliczne
Układy pneumatyczne
Układy elektryczne
Układy mieszane
Wybrane zagadnienia z techniki cyfrowej:
- dokładność przetwarzania
- odporność na zakłócenia
- niski koszt układu
INFORMACJA CYFROWA przedstawiona jest za pomocą ciągu wektorów, których elementy mogą przyjmować wartości oznaczone symbolami 0 i 1
Przykład 0 0 1 1
1 1 1 1
Sygnał zerojedynkowy
a0
1 element - bit
a3 a2 a1 a0
4 elementów
8 elementów
- bajt
16 elementów
32 elementy
Wektory informacji cyfrowej mogą mieć reprezentacje:
BITOWO - RÓWNOLE w czasie, przy której wszystkie bity wektora są dostępne równocześnie np. na równoległych liniach magistrali lub w rejestrze.
1 1 0 1 0 0 1
BITOWO - SZEREGOWE w czasie, przy którym poszczególne bity pojawiają się poczynając od bitu najmniej znaczącego na tej samej linii lub w tym samym przerzutniku, w kolejnych przyporządkowanych im „okienkach czasu” wyznaczonych przez impuls generatora także reprezentacja taka umożliwia szczególnie ekonomiczne przesyłanie wektorów informacji cyfrowej na większe odległości.
0 1 0 0 1
SŁOWO - bajt - wektor informacji cyfrowej dający się wpisać do pamięci mikrokomputera w trakcie jednej operacji pisania lub odczytać z pamięci operacyjnej w trakcie jednej operacji czytania ( 4,8,16,32) matryce mające wiersze zawiera wiele wierszy KB MB GB.
ADRESOWANE - jednostki 1024 - z pewnego zbioru nazywa się wzajemnie jednoznacznie przyporządkowane każdemu z wektorów informacje cyfrowe z tego zbioru innego wektora inf.cyfr. zwartego adresem
KODOWANIE INFORMACJI posługiwanie się informacjami cyfrowymi zakłada istnienie konwencji określające znaczenie (literowe, liczbowe lub inne) każdego wektora.
Konwekcje takie nazywa się KODAMI. A zatem kodem danego zbioru symboli cyfrowych znaków pisarskich (nazywamy przyporządkowaniem każdemu symbolowi z tego zbioru jednego i tyko jednego wektora informacji cyfrowej.
11111 T=10000
11011 5=10000
W rejestrach i komórkach pamięci mikrokomputera są przechowywane ciągi zer i jedynek. Ciągi te to słowa a poszczególne elementy bitami, słowa mogą reprezentować rozkazy lub dane przetworzone przez mikrokomputer podstawowym typem danych występujących w mikrokomputerze są liczby całkowite ze znakiem lub bez, liczb całkowite bez znaku SA kodowane naturalnym kodem dwójkowym(NB)
(NB) X=Xn-1…………….. Xi…………….. Xi X0
n - bitowe
Reprezentuje w tym kodzie liczbę z przedziału od (0; 2n-1) o wartości ![]()
Symbol K(X) oznacza informacje (liczbę) reprezentowana przez słowo dwójkowe X
K(X)*Y X=1101
![]()
MIKROPROCESOR to układ elektroniczny w wielkiej skali integracji przeznaczony do realizacji operacji arytmetyczno logicznych na wektorach informacji cyfrowej zwanych danymi, wprowadzanych z jego otoczenia, które stanowi pamięć i rejestry układów wejścia, wyjścia. Rodzaj wykonywanej operacji jest określony przez inne wektory informacji cyfrowej zwane rozkazami, które mikroprocesor pobiera z pamięci.
Wyniki wykonanych operacji mikroprocesor może przekazywać do pamięci lub rejestrów układów wejścia wyjścia.
BUDOWA MIKROPROCESORA
Składa się z 2 elementów funkcjonalnych:
UKŁAD ARYTMETYCZNO - LOGICZNY realizujący operacje arytmetyczno logiczne na wektorach informacji cyfrowej. Wprowadzane na jego wejścia i wyprowadzający wyniki operacji do określonego rejestru.
- rodzaj wykonanych operacji zależy od sygnałów sterujących pochodzących z układu sterowania.
UKŁAD STEROWANIA przetwarzający wektory informacji cyfrowej będące rozkazem na serie impulsów skierowane w różne miejsca mikroprocesora i określający chwile i rodzaj mikrooperacji składających się na wykonaną operacje.
SCHEMAT FUNKCJONALNY MIKROPROCESORA
- adresowanie pamięci
- programowa identyfikacja źródeł
CYKL ROZKAZOWY MIKROPROCESORA
Układ sterowania mikroprocesora działa cyklicznie wykonując cykl rozkazowy złożony z dwu faz:
FAZY POBIERANIA ROZKAZU
FAZA WYKONANIA ROZKAZU
Zawartość licznika rozkazu jest wysyłana na magistrale adresową i za jego pośrednictwem dociera do wejścia adresowego pamięci programu sygnały sterujące powodują odczytanie kolejnego rozkazu z pamięci i przesłanie go magistrala danych do rejestru rozkazów. Ponieważ kolejne rozkazy SA na ogół pobierane z kolejnych komórek pamięci programów, zatem zawartość licznika rozkazów jest zwiększona o 1 po każdym pobraniu.
Układ sterowania dekoduje pobrany z pamięci rozkaz i przechodzi do fazy wykonalnej.
Wykonanie rozkazu może polegać na przetworzeniu informacji zawartej w rejestrach roboczych mikroprocesora lub pamięci danych bądź na przesyłaniu informacji miedzy mikroprocesorem a pamięcią lub układami WE/WY. Dane SA przetwarzane za pośrednictwem jednostki arytmetyczno logicznej.
Repertuar rozkazów wykonywanych przez mikroprocesor nosi nazwę listy rozkazów.
Rozkazy te dzielą się na 4 grupy:
Rozkazy służące do przesyłania danych miedzy rejestrami mikroprocesora lub rejestrem a pamięcią.
Rozkazy służące do wykonania operacji arytmetycznych i logicznych na zawartości rejestrów lub pamięci.
Rozkazy sterujące wykonaniem programu.
Rozkazy WE/WY
Przy pisaniu programów dla mikroprocesora rozkazy te zapisywane są w postaci symbolicznej zawierającej skrót nemoniczny rozkazu oraz argumentów operacji realizowanej przez ten rozkaz.
MOV x1 x2
ADD r, x dodaw. r: = r + x
SBU r, x r: = r - x
CMD v, x r: < > x
INC x x: = x + 1
DEC x x: = x - 1
SHL x *2
SHR, SAR x / 2
PODSAWOWE PARAMETRY MIKROPROCESORA
DŁUGOŚC SŁOWA liczba bitów jednostek przetwarzanej informacji (w większości przypadków długość słowa jest równa liczbie bitów rejestrów roboczych i magistral danych)
SZYBKOŚC DZIAŁANIA czas trwania cyklu rozkazowego
MAKSYMALNA POJEMNOŚĆ PAMIECI pamiec jaka można dołączyć do mikroprocesora.
LISTA ROZKAZÓW
TRYBY (sposoby) ADRESOWANIA PAMIECI
MIKROKOMPUTER W KŁADZIE STEROWANIA
To system elektroniczny wielkiej skali integracji w skład, którego wchodzi:
Mikroprocesor
Pamięć programu
Pamięć danych
Układy WE/WY
Zespól magistral
WYKORZYSTANIE MIKROPROCESORA
TRANSMISJA DANYCH pomiędzy elementami systemu mikrokomputerów odbywa się w ramach magistrali przez szyny.
SZYNA DANYCH przesyłane są sygnały reprezentujące dane lub rozkazy programów pomiędzy CPU a pamięcią portalu wybranych WE/WY.
SZYNA ADRESOWA pokazuje sygnał adresowania pamięci, który dokonuje wyboru komórki dołączanej w danym momencie do szyny danych. Jest ona także używana do wybierania kanałów WE/WY. Jeśli do systemu dołączonych jest wiele urządzeń zewnętrznych.
SZYNA STEROWANIA przesyła zbiory sygnałów sterujących płynących od i do CPU.
MIKROKOMPUTER JEDNOUKŁADOWY
EMULATOR UKŁADOWY
PODSTAWOWE ELEMENTY EMULATORA
MODUŁ MiP zastępujący procesor systemu prototypowego układ sterujący zapewniający możliwość połączenia MK nadrzędnego i sterowania pracy MP emulującego.
ANALIZATOR STANÓW LOGICZNYCH śledzących przebieg wykonywania programu i współpracujący z układem sterującym przy realizacji pułapek sprzętowych, zatrzymanie procesora w określonej chwili np. po dojściu do zadanego miejsca programu lub w chwili sięgnięcia do określonego obszaru pamięci.
ODSTAWOWE FUNKCJE WYKONYWANE PRZEZ EMULATOR OBEJMUJE:
Ładowanie programu aplikacyjnego do pamięci operacyjnej systemu prototypowego
Odczytywanie i modyfikowanie zawartości rejestrów procesora emulującego komórek pamięci i rejestrów urządzeń WE/WY w systemie prototypowym
Rozpoczęcie wykonania programu aplikacyjnego
Śledzenie przebiegu wykonania programu
Ustawienie pułapek i krokowe wykonanie programu
Przerwanie wykonania programu aplikacyjnego i przyjęcie sterowania przez program monitora
W czasie uruchomienia systemu prototypowego emulator może być zastosowany na etapie:
Uruchomienia sprzętu
Uruchomienia programu
Integracji sprzętu i oprogramowania
PARAMETRY PAMIECI
POJEMNOŚĆ jest funkcją liczby linii adresowanych i wielkości komórek
CZAS DOSTĘPU czas, jaki upłynie od momentu zaadresowania komórki pamięci do uzyskania zapisanej w tej komórce informacji.
M - programowalne maska
P - programowalne
EP - kasowalne i programowalne
EEP - kasowalne i programowalne elektrycznie
PRZETWORNIKI CYFROWO - ANALOGOWE

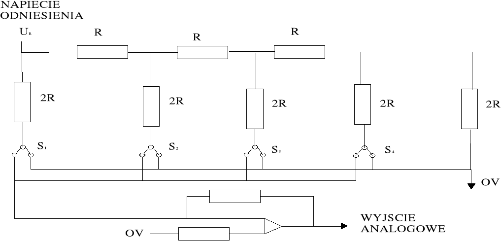
PRZETWORNIK C/A składa się z zespołów kluczy odbiorników oporowych i dokładnego wzorca napięcia. Każdy stopień odbiornika dostarcza napięcie różniące się dwukrotnie od sąsiedniego. Prąd wyjściowy z każdego węzła jest kierowany albo do wejścia wzmacniacza albo do uziemienia zależnego od stanu kluczy S1…S4 sterowanych wejściowym sygnałem cyfrowym.
Klucz S1 powoduje zależnie od stanu napięcia na WY wzmacniacza VT/2 albo OV - zero volt.
Klucze S2,S3,S4 powodują dołączenie napięcia odpowiednio VT/4, VT/8, VT/16.
W rezultacie sygnał WY jest napięciem analogowym proporcjonalnym do wartości liczby binarnej podanej na kluczu, wzorcowe napięcie odniesienia przetwornika dostarcza Dioda Zenera. Klucze stosowane w przetwornikach są tranzystorami, które sterowane są danymi z szyny systemu.
Rozdzielczość WY analogowo zależy od liczby bitów danych sterujących przetwornikiem.
PRZETWORNIK ANALOGOWO - CYFROWY
PRZETWORNIK A/C jest to przetwornik z podwójnym całkowaniem na początku przetwarzanie WE układ całkowania jest na poziomie zera, przyłożenie napięcia na WE powoduje wolne narastanie napięcia na WY z szybkością zależna od wartości sygnału WE. Całkowanie odbywa się w czasie określonym zliczaniem stałej liczby impulsów zegarowych, czas ten wybiera się tak, aby umożliwić pełny zakres pomiaru. Na końcu czasu zliczania zostaje odłączone napięcie wejściowe i przyłożone stałe napięcie wzorcowe o polaryzacji powodującej opadanie napięcia wyjściowego układu całkującego. Napięcie to zmniejsza się ze stałą szybkością określoną wartością napięcia wzorcowego.
W tym czasie licznik zlicza impulsy zegarowe startujące od zera i w momencie, gdy wyjście integralnie zostaje zatrzymane.
Wartość zapisana w liczniku jest stosunkiem napięcia mierzonego do napięcia wzrokowego odczyt licznika jest cyfrowym sygnałem wyjściowym czas przetwarzania układu tego zależy od pojemności licznika i częstotliwości impulsów zerowych.
SCHEMAT BLOKOWY MIKROPROCESOROWEGO SYSTEMU POMIAROWEGO
PRZETWORNIK ANALOGOWO AMPLITUDOWY przetwarzający zmienną na ciągły sygnał elektryczny prądowy lub napięciowy.
DOLNO PRZEPUSTOWY FILTR ANALOGOWY eliminujący wieloczęstotliwościowe szumy zawarte w sygnale wyjściowym przetwornika analogowo - amplitudowego.
PRZETWORNIK ANALOGOWO - CYFROWY;
PAMIEĆ O DOSTĘPIE SWOBODNYM RAM przeznaczona do przechowywania wyników pomiarów i wyników przetwarzania.
PAMIEĆ STAŁA ROM przeznaczona do przechowywania programów przetwarzania pomiarów.
MIKROPROCESOR PRZETWARZAJĄCY POMIARY;
UKŁAD SZEREGOWEGO WYJSCIA przeznaczony do wyprowadzania wyników przetworzenia.
GENERATOR INTERWAŁÓW CZASOWYCH pracujący jako zegar wytwarzający impulsy determinujące częstotliwość próbkowania sygnału wyjściowego przetwornika analogowo - amplitudowego.
MIKROPROCESOROWE GENERATORY SYGNAŁÓW do celu testowania układów elektronicznych generujące określone sekwencje sygnałów elektrycznych (trójkątne, prostokątne, trapezowe, sinusoidalne) lub sygnały losowe o określonych właściwościach.
MIKROPROCESOROWE SYNTEZATORY MOWY generujące sygnały elektryczne, które po wzmocnieniu i wprowadzeniu na głośnik przekształcają się w sygnały akustyczne imitujące wyrazy lub zdania.
MIKROPROCESOROWE SYNTEZATORY MUZYKI generujące sygnały elektryczne, które po wzmocnieniu i wprowadzeniu na głośnik przekształcają się w sygnały akustyczne imitujące muzykę.
MIKROPROCESOR wprowadzający do pamięci RAM wzór generowanego sygnału i dokonującego odczytu tego wzoru zgodnie z częstotliwością wyznaczona przez generator interwałów czasowych.
PAMIEĆ RAM przeznaczona do przechowywania wzorów sygnałów.
PAMIEĆ ROM zawierająca programy umożliwiające redagowanie różnych wzorów sygnałów.
PRZETWORNIK CYFROWO - ANALOGOWY;
FILTR DOLNOPRZEPUSTOWY wygładzający sygnał wyjściowy przetwornika cyfrowo - analogicznego.
CHARAKTERYSTYKA WYNIKÓW POMIAROWYCH
Czujnik jest to element przyrządu lub układu pomiarowego służącego do przetwarzania wielkości mierzeń na inna wielkość np. temperatury na napięcie elektryczne. Nadającą się do bezpośredniego wykorzystania lub dalszego przetwarzania w procesie pomiarowym.
STRUKTURA STEROWNIKA MIKROPROCESOROWEGO (PROGRAMOWEGO)
- 16 -
- 16 -
UKŁADY AUTOMATYKI
OBIEKT
SYSTEM
OTOCZENIE
WEJŚCIE WYJSCIE
(WE) (WY)
UKŁADY AUTOMATYKI
PRZETWORNIKI POMIAROWE
WPROWADZANIE DANYCH
UKŁAD
STEROWANIA
UKŁAD WYKONAWCZY
INDYKCJA I REJESTRACJA
SYSTEM STERUJĄCY
OBIEKT STEROWANIA
OBIEKT STEROWANIA
SYSTEM STERUJĄCY
U
3
0,3
1
0
0
1
1
0
0
0
0
1
1
1
1
0
0
MAGISTRALA DANYCH
UKŁADY WE/WY
M (LR) - RR
MAGISTRALA ADRESOWA
0
0
1
1
ADRESOWANIE PAMIECI
ZEWNECZNE SYGNAŁY STERUJĄCE
PAMIEC
LICZNIK ROZKAZÓW
UKŁAD STEROWANIA
REJESTR ROZKAZÓW
ZESPÓŁ
REJESTR
ALU
(JEDNOSTKA ARYTMETYCZNO LOGICZNA)
LR. + - LR
DEKOWANIE
ROZKAZU
WYKONANIE ROZKAZU 1
WYKONANIE ROZKAZU 2
WYKONANIE ROZKAZU n
…….
1
n
WYKONANIE ROZKAZU
POBIERANIE ROZKAZU
JEDNOSTKA PROCESORA CENTRALNEGO (CPU)
UKŁADY STERUJĄCE I TAKTOWANIA
LICZNIK ROZKAZÓW (PC)
STOS
DEKODER ROZKAZÓW
JEDNOSTKA ARYTMETYCZNO - LOGICZNA (ALU)
AKUMULATOR ACC
REJESTRY ROBOCZE
PAMIEĆ PROGRAMU
(ROM lub RAM)
PAMIEĆ DANYCH
(RAM)
PORTY
WE/WY
SZYNA ADRESOWA
SZYNA DANYCH
SZYNA STERUJĄCA
LINIE
WE/WY
PAMIEĆ
ZEGAR
CPU
STEROWNIE UKŁADAMI ZEWNĘTRZNYMI
LICZNIK - UKŁAD CZASOWY
P1
P2
P3
SZEREGOWE
WE/WY
PAMIEĆ PROGRAMU
ROM
PAMIEĆ DANYCH
RAM
BRAMY WE/WY
PAMIEC ZEWNETRZNA
MIKROKOMPUTER NADRZEDNY
TERMINAL
UKŁAD STERUJĄCY
ROM
ANALIZATOR STANÓW LOGICZNYCH
PAMIEĆ EMULATORA RAM
SYSTEM PROTOTYPOWY
GŁOWICA EMULATORA
WTYK
EMULATOR UKŁADOWY
PAMIECI PÓŁRZEWODNIKWE
TYPU TABLICOWEGO
TYPU FUNKCJONALNEGO
RAM
ROM
STATYCZNE
DYNAMICZNE
M ROM
P ROM
EP ROM
EEP ROM
PLD
PLA
LCA
PLA
P PLA
EP PLA
EEP PLA
:…..
INTEGRATOR
UKŁADY STERUJĄCE
KOMARATOR
LICZNIK
REJESTR ZATRZASKOWY
WEJŚCIE ANALOGOWE
WYJSCIE CYFROWE
ZMIENNA MIERZONA
PRZETWORNIK ANALOGOWO - AMPLITUDOWY
DOLNO PRZEPUSTOWY FILTR ANALOGOWY
PRZETWORNIK ANALOGOWO CYFROWY
PAMIEĆ ROM
GENERATOR INTERWAŁÓW CZASOWYCH
PAMIEĆ RAM
MIKROPROCESOR
UKŁAD SZEREGOWEGO WEJŚCIA WYJSCIA
UKŁAD SZEREGOWEGO WEJŚCIA WYJSCIA
MIKROPROCESOR
PAMIEĆ RAM
GENERATOR INTERWAŁÓW CZASOWYCH
PAMIEĆ ROM
PRZETWORNIK ANALOGOWO CYFROWY
DOLNO PRZEPUSTOWY FILTR ANALOGOWY
PRZETWORNIK ANALOGOWO - AMPLITUDOWY
SYGNAŁ GENEROWANY
FUNKCJE KOMUNIKACYJNE
FUNKCJE PRZETWARZANIA SYGNAŁÓW
FUNKCJE INTERFEJSU CZŁOWIEK - MASZYNA
FUNKCJE PROGRAMOWE TESTOWANIA I USUWANIA BŁĘDÓW PROGRAMU
FUNKCJE PAMIECI PROGRAMU URZYTKOWEGO
FUNKCJE SYSTEMU OPERACYJNEGO
FUNKCJE PAMIECI DANYCH
WYKONANIE PROGRAMU URZYTKOWEGO
FUNKCJE ZASILANIA
FUNKCJE INTERFEJSU CZUJNIKÓW I ORGANÓW WYKONAWCZYCH
OPERATOR
PROGRAMISTA PROGRAMÓW URZYTKOWYCH
INNE SYSTEMY
MASZYNA / PROCES
GŁOWNE ZASILANIE