BIO-HETEROCYKLE - PODSTAWY, Studia - Chemia kosmetyczna UŁ, III rok, VI semestr, BIOCHEMIA wykłady


AROMATYCZNE HETEROCYKLE AZOTOWE

0x01 graphic

0x01 graphic

0x01 graphic

0x01 graphic

0x01 graphic

0x01 graphic

0x01 graphic

azyna

(pirydyna)

1,2-diazyna

(pirydazyna)

1,3-diazyna

(pirymidyna)

1,4-diazyna

(pirazyna)

azol

(pirol)

1,2-

diazol

(pirazol)

1,3-diazol

(imidazol)

PIERŚCIENIE SKONDENSOWANE

0x01 graphic

0x01 graphic

1,3-diazyna

(pirymidyna)

1,3-diazol

(imidazol)

1,3-diazyna

(pirymidyna)

1,4-diazyna

(piperazyna)

PURYNA

PTERYDYNA

0x01 graphic

0x01 graphic

Izoalloksazyna

0x01 graphic

0x01 graphic

pirymidyna

chinoksalina

pterydyna

benzen

0x01 graphic

TAUTOMERIA ZASAD

PIRYMIDYNY

0x01 graphic

0x01 graphic

0x01 graphic

Uracyl

Tymina

Cytyozyna

FORMY TAUTOMERYCZNE URACYLU (R=H) & TYMINY (R=Me)

0x01 graphic

Laktim

Laktam

FORMY TAUTOMERYCZNE CYTOZYNY

0x01 graphic

Laktim

Laktam

TAUTOMERIA ZASAD PURYNY

0x01 graphic

0x01 graphic

Ade

Gua

FORMY TAUTOMERYCZNE GUANINY

0x01 graphic

Laktim

Laktam

FORMY TAUTOMERYCZNE ADENINY

0x01 graphic

D-ALDOZY - RYBOZA

0x01 graphic

0x01 graphic

0x01 graphic

Ald. D-Glicerynowy

D-Erytroza

D-Ryboza

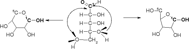
CYKLIZACJA ALDOZ - TWORZENIE HEMIACETALI

0x01 graphic

0x01 graphic

0x01 graphic

D-rybopiranoza

D-rybofuranoza

0x01 graphic

0x01 graphic

0x01 graphic

0x01 graphic

β-D-rybopiranoza

α-D-rybopiranoza

β-D-rybofuranoza

α-D-rybofuranoza

0x01 graphic

0x01 graphic

0x01 graphic

0x01 graphic

β-D-rybopiranozyl

α-D-rybopiranozyl

β-D-rybofuranozyl

α-D-rybofuranozyl

Pominięto wiazania C-H

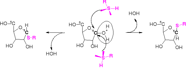
GLIKOZYDY RYBO-FURANOZY

O-GLIKOZYDY

0x01 graphic

0x01 graphic

0x01 graphic

β-D-Alkilo-O-Rybo-Furanozyd

α-D-Alkilo-O-Rybo-Furanozyd

Pominięto wiazania C-H

S-GLIKOZYDY

0x01 graphic

0x01 graphic

0x01 graphic

β-D-Alkilo-S-Rybo-Furanozyd

α-D-Alkilo-S-Rybofuranozyd

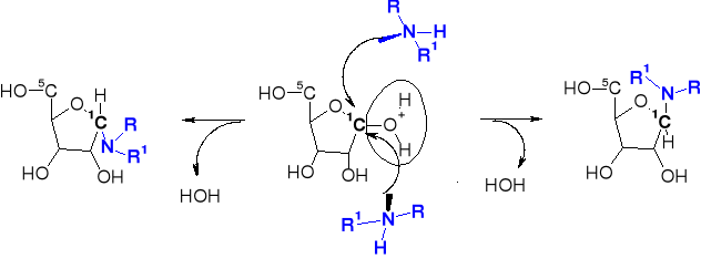
N-GLIKOZYDY

0x01 graphic

0x01 graphic

0x01 graphic

β-D-Alkilo-N-Rybo-Furanozyd

α-D-Alkilo-N-Rybofuranozyd

Pominięto wiazania C-H

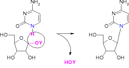
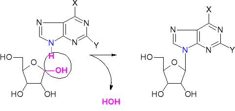
RYBONUKLEOZYDY PIRYMIDYNOWE

0x01 graphic

Dla R=H → X=OH; dla R=CH3 → X=H

0x01 graphic

0x01 graphic

0x01 graphic

0x01 graphic

URYDYNA

[1-β-D-rybofuranozydouracyl]

[1-β-D-rybofuranozylouracyl]

?

CYTYDYNA

[1-β-D-rybofuranozydocytozyna]

[1-β-D-rybofuranozylocytozyna]

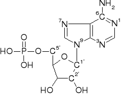
RYBONUKLEOZYDY PURYNOWE

0x01 graphic

0x01 graphic

0x01 graphic

ADENOZYNA

[9-β-D-rybofuranozydoadenina]

[9-β-D-rybofuranozyloadenina]

GUANOZYNA

[9-β-D-rybofuranozydoguanina]

[9-β-D-rybofuranozyloguanina]

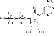
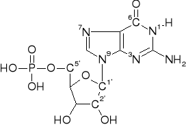
RYBONUKLEOTYDY PURYNOWE

0x01 graphic

0x01 graphic

0x01 graphic

AMP

GMP

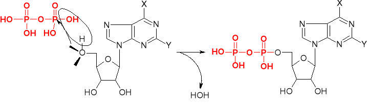
RYBONUKLEOTYDY PURYNOWE - DIFOSFORANY

0x01 graphic

0x01 graphic

0x01 graphic

ADP

GDP

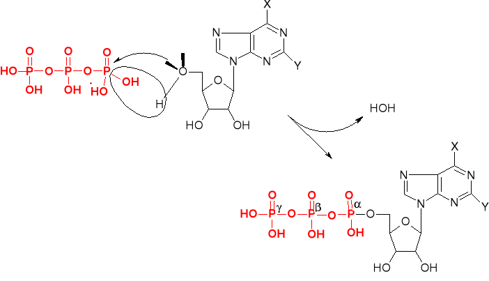
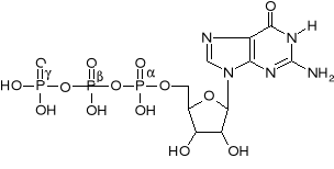
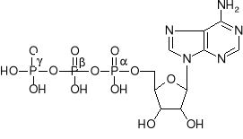
RYBONUKLEOTYDY PURYNOWE - TRIFOSFORANY

0x01 graphic

0x01 graphic

0x01 graphic

ATP

GTP

BIOSYNTEZA UMP

0x01 graphic

α-D-RYBOZO-5-FOSFORAN

[5-FOSFORAN-α-D-RYBOZY]

α-D-5-FOSFORYBOZYLO-1-PIROFOSFORAN [PRPP]

0x01 graphic

PRPP

Kw. Orotowy

Kw. Orotydynowy

[Orotydyno-5'-Fosforan]

UMP

11



Wyszukiwarka

Podobne podstrony:
PODANIE O DOPUSZCZENIE - LICENCJAT, Studia - Chemia kosmetyczna UŁ, III rok, LICENCJAT
3a, Studia - Chemia kosmetyczna UŁ, III rok, V semestr, TECHNOLOGIA CHEMICZNA laboratorium
I Pracownia - zakres materiału, Studia - Chemia kosmetyczna UŁ, II rok, IV semestr, CHEMIA ORGANICZN
R2C=O, Studia - Chemia kosmetyczna UŁ, II rok, IV semestr, CHEMIA ORGANICZNA konwersatorium
ALKENY-ALKINY, Studia - Chemia kosmetyczna UŁ, II rok, IV semestr, CHEMIA ORGANICZNA konwersatorium
34, Studia - Chemia kosmetyczna UŁ, II rok, IV semestr, CHEMIA FIZYCZNA laboratorium, Ćwiczenie 34
ROR, Studia - Chemia kosmetyczna UŁ, II rok, IV semestr, CHEMIA ORGANICZNA konwersatorium
ROH, Studia - Chemia kosmetyczna UŁ, II rok, IV semestr, CHEMIA ORGANICZNA konwersatorium
WZÓR SPRAWOZDANIA, Studia - Chemia kosmetyczna UŁ, II rok, IV semestr, CHEMIA FIZYCZNA laboratorium
R-X, Studia - Chemia kosmetyczna UŁ, II rok, IV semestr, CHEMIA ORGANICZNA konwersatorium
AROMATY, Studia - Chemia kosmetyczna UŁ, II rok, IV semestr, CHEMIA ORGANICZNA konwersatorium
I Pracownia - zakres materiału, Studia - Chemia kosmetyczna UŁ, II rok, IV semestr, CHEMIA ORGANICZN
nieorgany-pytania2, Studia - Chemia kosmetyczna UŁ, II rok, III semestr, CHEMIA NIEORGANICZNA labora
Kolokwium I nieorganiczna- elektrochemia, Studia - Chemia kosmetyczna UŁ, II rok, III semestr, CHEMI
ĆWICZENIE 14, Studia - Chemia kosmetyczna UŁ, II rok, III semestr, CHEMIA NIEORGANICZNA laboratorium
ĆWICZENIE 11, Studia - Chemia kosmetyczna UŁ, II rok, III semestr, CHEMIA NIEORGANICZNA laboratorium
pytania 3 roku z nieorganów, Studia - Chemia kosmetyczna UŁ, II rok, III semestr, CHEMIA NIEORGANICZ
nieorgany pytania, Studia - Chemia kosmetyczna UŁ, II rok, III semestr, CHEMIA NIEORGANICZNA laborat
Pytania z kolokwium z chemii nieorganicznej, Studia - Chemia kosmetyczna UŁ, II rok, III semestr, CH

więcej podobnych podstron