|
Wydział Elektroniki Politechniki Wrocławskiej
|
Laboratorium miernictwa elektronicznego
|
||
Wykonał Pirosz Paweł
|
Grupa 2 |
Ćw. nr 5 |
Prowadzący mgr . T. Guszkowski |
|
Wzmacniacz pomiarowy
|
Data wykonania 98.12.09 |
Data oddania 99.01.13 |
Ocena
|
|
CEL ĆWICZENIA:
Poznanie istoty pracy wzmacniacza, wyznaczenie podstawowych parametrów metrologicznych wzmacniaczy pomiarowych oraz zademonstrowanie pracy urządzeń pomiarowych w systemie z interfejsem IEC 625.
WYKAZ PRZYRZĄDÓW :
Programowy syntezer m.cz. PW-17
Miernik mocy wyjściowej PWT-5A
Błąd pomiaru: ± (9 - 0,5⋅A)% , gdzie A - liczba na skali miernika, przy f = 1 kHz
Multimetr cyfrowy V563
Błąd pomiaru: ± (0,3%Ux + 0,1%Uz) dla f = 40Hz - 10kHz
Rozdzielczość: 1V dla Uz = 100mV
10V dla Uz = 1V
100V dla Uz = 10V
Wzmacniacz selektywny WS-1
PRZEBIEG ĆWICZENIA :
1. Wyznaczenie szerokości pasma przenoszonych częstotliwości wzmacniacza selektywnego
Rys. 1. Schemat po pomiaru pasma przenoszenia k = f(f) i charakterystyki przenoszenia Uwy = f(Uwe) wzmacniacza
Przy stałym napięciu wejściowym Uwe = 100 mV podawanym z generatora na wejście wzmacniacza zmieniamy częstotliwość przebiegu i odczytujemy napięcie Uwy na wyjściu wzmacniacza.
W celu znalezienia częstotliwości środkowej wykonaliśmy najpierw pomiary w szerszym zakresie częstotliwości, a następnie w mniejszym zakresie w pobliżu częstotliwości środkowej. Wyniki pomiarów zamieszczono w tabelach.
Tabela 1. Wyniki pomiarów wzmocnienia w funkcji częstotliwości w szerszym jej zakresie
Oznaczenia: k - wzmocnienie wzmacniacza; t - tłumienność wzmacniacza
f |
Uwy |
Uwy |
Uwy |
k |
k |
t |
t |
[ Hz ] |
[ V ] |
[ V ] |
[ % ] |
[ V/V] |
[ dB ] |
[ V/V ] |
[ dB ] |
100 |
0,0229 |
0,0002 |
0,74 |
0,229 |
-12,803 |
178,450 |
45,030 |
200 |
0,0401 |
0,0002 |
0,55 |
0,401 |
-7,937 |
101,908 |
40,164 |
300 |
0,0576 |
0,0003 |
0,47 |
0,576 |
-4,792 |
70,946 |
37,019 |
400 |
0,0760 |
0,0003 |
0,43 |
0,760 |
-2,384 |
53,770 |
34,611 |
500 |
0,0970 |
0,0004 |
0,40 |
0,970 |
-0,265 |
42,129 |
32,492 |
600 |
0,1225 |
0,0014 |
1,12 |
1,225 |
1,763 |
33,359 |
30,464 |
700 |
0,1618 |
0,0015 |
0,92 |
1,618 |
4,180 |
25,256 |
28,047 |
800 |
0,2246 |
0,0017 |
0,75 |
2,246 |
7,028 |
18,195 |
25,199 |
900 |
0,3812 |
0,0021 |
0,56 |
3,812 |
11,623 |
10,720 |
20,604 |
1000 |
0,8964 |
0,0037 |
0,41 |
8,964 |
19,050 |
4,559 |
13,177 |
1100 |
1,6815 |
0,0150 |
0,89 |
16,815 |
24,514 |
2,430 |
7,713 |
1200 |
0,6356 |
0,0029 |
0,46 |
6,356 |
16,064 |
6,429 |
16,163 |
1300 |
0,3059 |
0,0019 |
0,63 |
3,059 |
9,712 |
13,359 |
22,515 |
1400 |
0,2110 |
0,0016 |
0,77 |
2,110 |
6,486 |
19,367 |
25,741 |
1500 |
0,1634 |
0,0015 |
0,91 |
1,634 |
4,265 |
25,009 |
27,962 |
1600 |
0,1588 |
0,0015 |
0,93 |
1,588 |
4,017 |
25,734 |
28,210 |
1700 |
0,1126 |
0,0013 |
1,19 |
1,126 |
1,031 |
36,292 |
31,196 |
1800 |
0,0985 |
0,0004 |
0,40 |
0,985 |
-0,131 |
41,487 |
32,358 |
1900 |
0,0888 |
0,0004 |
0,41 |
0,888 |
-1,032 |
46,019 |
33,259 |
2000 |
0,0802 |
0,0003 |
0,42 |
0,802 |
-1,917 |
50,954 |
34,144 |
2100 |
0,0735 |
0,0003 |
0,44 |
0,735 |
-2,674 |
55,599 |
34,901 |
2200 |
0,0675 |
0,0003 |
0,45 |
0,675 |
-3,414 |
60,541 |
35,641 |
2300 |
0,0627 |
0,0003 |
0,46 |
0,627 |
-4,055 |
65,175 |
36,282 |
2400 |
0,0589 |
0,0003 |
0,47 |
0,589 |
-4,598 |
69,380 |
36,825 |
2500 |
0,0557 |
0,0003 |
0,48 |
0,557 |
-5,083 |
73,366 |
37,310 |
2600 |
0,0520 |
0,0003 |
0,49 |
0,520 |
-5,680 |
78,587 |
37,907 |
2700 |
0,0496 |
0,0002 |
0,50 |
0,496 |
-6,090 |
82,389 |
38,317 |
2800 |
0,0469 |
0,0002 |
0,51 |
0,469 |
-6,577 |
87,132 |
38,804 |
2900 |
0,0450 |
0,0002 |
0,52 |
0,450 |
-6,936 |
90,811 |
39,163 |
3000 |
0,0429 |
0,0002 |
0,53 |
0,429 |
-7,351 |
95,256 |
39,578 |
3100 |
0,0408 |
0,0002 |
0,55 |
0,408 |
-7,787 |
100,159 |
40,014 |
3200 |
0,0392 |
0,0002 |
0,56 |
0,392 |
-8,134 |
104,247 |
40,361 |
3300 |
0,0378 |
0,0002 |
0,56 |
0,378 |
-8,450 |
108,108 |
40,677 |
3400 |
0,0368 |
0,0002 |
0,57 |
0,368 |
-8,683 |
111,046 |
40,910 |
3500 |
0,0353 |
0,0002 |
0,58 |
0,353 |
-9,045 |
115,765 |
41,272 |
3600 |
0,0344 |
0,0002 |
0,59 |
0,344 |
-9,269 |
118,794 |
41,496 |
3700 |
0,0332 |
0,0002 |
0,60 |
0,332 |
-9,577 |
123,087 |
41,804 |
3800 |
0,0323 |
0,0002 |
0,61 |
0,323 |
-9,816 |
126,517 |
42,043 |
3900 |
0,0313 |
0,0002 |
0,62 |
0,313 |
-10,089 |
130,559 |
42,316 |
4000 |
0,0304 |
0,0002 |
0,63 |
0,304 |
-10,343 |
134,424 |
42,570 |
4100 |
0,0296 |
0,0002 |
0,64 |
0,296 |
-10,574 |
138,057 |
42,801 |
4200 |
0,0288 |
0,0002 |
0,65 |
0,288 |
-10,812 |
141,892 |
43,039 |
4300 |
0,0280 |
0,0002 |
0,66 |
0,280 |
-11,057 |
145,946 |
43,284 |
4400 |
0,0274 |
0,0002 |
0,66 |
0,274 |
-11,245 |
149,142 |
43,472 |
4500 |
0,0269 |
0,0002 |
0,67 |
0,269 |
-11,405 |
151,914 |
43,632 |
W celu dokładniejszego zbadania częstotliwości środkowej wzmacniacza wykonaliśmy te same pomiary dla mniejszego przedziału częstotliwości.
Tabela 2. Wyniki pomiarów wzmocnienia w funkcji częstotliwości w węższym jej zakresie
f |
Uwy |
Uwy |
Uwy |
k |
k |
t |
t |
[ Hz ] |
[ V ] |
[ V ] |
[ % ] |
[ V/V] |
[ dB ] |
[ V/V ] |
[ dB ] |
1000 |
0,9301 |
0,0038 |
0,41 |
9,301 |
19,371 |
4,394 |
12,856 |
1010 |
1,0762 |
0,0132 |
1,23 |
10,762 |
20,638 |
3,797 |
11,589 |
1020 |
1,2901 |
0,0139 |
1,08 |
12,901 |
22,212 |
3,168 |
10,015 |
1030 |
1,5949 |
0,0148 |
0,93 |
15,949 |
24,055 |
2,562 |
8,172 |
1040 |
2,0685 |
0,0162 |
0,78 |
20,685 |
26,313 |
1,976 |
5,914 |
1050 |
2,8232 |
0,0185 |
0,65 |
28,232 |
29,015 |
1,447 |
3,212 |
1060 |
3,8510 |
0,0216 |
0,56 |
38,510 |
31,711 |
1,061 |
0,516 |
1070 |
4,0865 |
0,0223 |
0,54 |
40,865 |
32,227 |
1,000 |
0,000 |
1080 |
3,1780 |
0,0195 |
0,61 |
31,780 |
30,043 |
1,286 |
2,184 |
1090 |
2,3249 |
0,0170 |
0,73 |
23,249 |
27,328 |
1,758 |
4,899 |
1100 |
1,7796 |
0,0153 |
0,86 |
17,796 |
25,006 |
2,296 |
7,221 |
1110 |
1,4136 |
0,0142 |
1,01 |
14,136 |
23,007 |
2,891 |
9,220 |
1120 |
1,1725 |
0,0135 |
1,15 |
11,725 |
21,382 |
3,485 |
10,845 |
1130 |
0,9969 |
0,0040 |
0,40 |
9,969 |
19,973 |
4,099 |
12,254 |
1140 |
0,8714 |
0,0036 |
0,41 |
8,714 |
18,804 |
4,690 |
13,423 |
1150 |
0,7602 |
0,0033 |
0,43 |
7,602 |
17,619 |
5,376 |
14,608 |
1160 |
0,6820 |
0,0030 |
0,45 |
6,820 |
16,676 |
5,992 |
15,551 |
1170 |
0,6245 |
0,0029 |
0,46 |
6,245 |
15,911 |
6,544 |
16,316 |
1180 |
0,5737 |
0,0027 |
0,47 |
5,737 |
15,174 |
7,123 |
17,053 |
1190 |
0,5666 |
0,0027 |
0,48 |
5,666 |
15,066 |
7,212 |
17,161 |
1200 |
0,4924 |
0,0025 |
0,50 |
4,924 |
13,846 |
8,299 |
18,381 |
Na podstawie danych zamieszczonych w tabeli wykreślono zależności wzmocnienia k oraz tłumienności t od częstotliwości f.
Do wykreślenia tych charakterystyk nie uwzględniano danych z pierwszej tabeli w celu dokładniejszego pokazania częstotliwości środkowej oraz częstotliwości dolnej i górnej. Częstotliwości górna i dolna wyznaczają przedział, w którym spadek wzmocnienia k nie przekracza 3dB (w skali liniowej 1/√2 ≈ 0,7).
Na podstawie wyników pomiarów i charakterystyk zamieszczonych na wykresach 1,2,3 i 4 możemy odczytać:
f0 = 1070 Hz - częstotliwość środkowa
fd = 1051 Hz - dolna częstotliwość graniczna
fg = 1083 Hz - górna częstotliwość graniczna
U0 = 4,0865 V - napięcie wyjściowe dla częstotliwości środkowej,
przy czym częstotliwości graniczne
Wzory i obliczenia:
Błąd bezwzględny pomiaru napięcia: ![]()
, gdzie Uz = 0,1V; 1 V; 10V.
Błąd względny pomiaru napięcia: 
Wzmocnienie wzmacniacza: 
Wzmocnienie wzmacniacza w decybelach: 
Tłumienność wzmacniacza: 
Tłumienność wzmacniacza w decybelach: 
Przykładowe obliczenia:
![]()
![]()
![]()
![]()
![]()
![]()
2. Wyznaczenie charakterystyki przenoszenia i wzmocnienia wzmacniacza selektywnego
Pomiary wykonujemy w takim samym układzie jak przy paśmie przenoszenia (rys. 1). Przy stałej częstotliwości f = 1070 Hz (częstotliwość środkowa wzmacniacza) zmieniamy wartość napięcia wejściowego i obserwujemy napięcie na wyjściu. Wyniki pomiarów zamieszczono w tabeli.
Uwe |
Uwy |
Uwy |
δUwy |
k |
k |
k |
k |
[ mV ] |
[ V ] |
[ V ] |
[ % ] |
[ V/V] |
[ V/V ] |
[ dB ] |
[ dB ] |
10 |
0,4130 |
0,0022 |
0,54 |
41,30 |
0,22 |
32,32 |
0,11 |
20 |
0,7893 |
0,0034 |
0,43 |
39,47 |
0,17 |
31,92 |
0,09 |
30 |
1,1975 |
0,0046 |
0,38 |
39,92 |
0,15 |
32,02 |
0,08 |
40 |
1,6139 |
0,0058 |
0,36 |
40,35 |
0,15 |
32,12 |
0,07 |
50 |
1,9960 |
0,0070 |
0,35 |
39,92 |
0,14 |
32,02 |
0,07 |
60 |
2,3994 |
0,0082 |
0,34 |
39,99 |
0,14 |
32,04 |
0,07 |
70 |
2,8053 |
0,0094 |
0,34 |
40,08 |
0,13 |
32,06 |
0,07 |
80 |
3,2204 |
0,0107 |
0,33 |
40,26 |
0,13 |
32,10 |
0,07 |
90 |
3,6202 |
0,0119 |
0,33 |
40,22 |
0,13 |
32,09 |
0,07 |
100 |
4,0825 |
0,0132 |
0,32 |
40,83 |
0,13 |
32,22 |
0,06 |
110 |
4,4687 |
0,0144 |
0,32 |
40,62 |
0,13 |
32,18 |
0,06 |
120 |
4,8634 |
0,0156 |
0,32 |
40,53 |
0,13 |
32,16 |
0,06 |
130 |
5,2716 |
0,0168 |
0,32 |
40,55 |
0,13 |
32,16 |
0,06 |
140 |
5,6596 |
0,0180 |
0,32 |
40,43 |
0,13 |
32,13 |
0,06 |
150 |
6,0607 |
0,0192 |
0,32 |
40,40 |
0,13 |
32,13 |
0,06 |
160 |
6,4235 |
0,0203 |
0,32 |
40,15 |
0,13 |
32,07 |
0,06 |
170 |
6,7908 |
0,0214 |
0,31 |
39,95 |
0,13 |
32,03 |
0,06 |
180 |
7,1892 |
0,0226 |
0,31 |
39,94 |
0,13 |
32,03 |
0,06 |
190 |
7,5892 |
0,0238 |
0,31 |
39,94 |
0,13 |
32,03 |
0,06 |
200 |
8,0032 |
0,0250 |
0,31 |
40,02 |
0,13 |
32,04 |
0,06 |
210 |
8,3855 |
0,0262 |
0,31 |
39,93 |
0,12 |
32,03 |
0,06 |
220 |
8,4512 |
0,0264 |
0,31 |
38,41 |
0,12 |
31,69 |
0,06 |
230 |
8,4851 |
0,0265 |
0,31 |
36,89 |
0,12 |
31,34 |
0,06 |
240 |
8,4923 |
0,0265 |
0,31 |
35,38 |
0,11 |
30,98 |
0,06 |
250 |
8,5055 |
0,0265 |
0,31 |
34,02 |
0,11 |
30,64 |
0,06 |
260 |
8,5280 |
0,0266 |
0,31 |
32,80 |
0,10 |
30,32 |
0,06 |
270 |
8,5328 |
0,0266 |
0,31 |
31,60 |
0,10 |
29,99 |
0,06 |
280 |
8,5503 |
0,0267 |
0,31 |
30,54 |
0,10 |
29,70 |
0,06 |
290 |
8,5613 |
0,0267 |
0,31 |
29,52 |
0,09 |
29,40 |
0,06 |
300 |
8,5729 |
0,0267 |
0,31 |
28,58 |
0,09 |
29,12 |
0,06 |
Zależność napięcia wyjściowego w funkcji napięcia wejściowego Uwy = f(Uwe) pokazano na wykresie 5. Z wykresu tego widzimy, że wzmacniacz przenosi sygnał na wyjście bez zniekształceń dla napięć wejściowych mniejszych od 210 mV. Powyżej tej wartości napięcia wzmacniacz wchodzi w nasycenia. Dlatego do liczenia wzmocnienia średniego nie brano wyników pomiarów przy większych napięciach niż 210 mV.
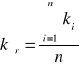
Średnie wzmocnienie kśr obliczymy ze wzoru:

.
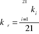
Do wyznaczenia wartości kśr bierzemy pierwszych 21 pomiarów, zatem:

w skali liniowej: ![]()
w skali logarytmicznej: ![]()
Błąd względny wzmocnienia dla pojedynczego przypadku wyznaczymy metodą pochodnej logarytmicznej, przyjmując wartość sygnału wejściowego jako wartość rzeczywistą (ustawiana na komputerze):

![]()
![]()
W skali logarytmicznej otrzymujemy:

![]()
![]()
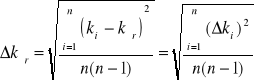
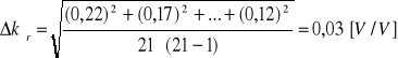
Błąd wzmocnienia wyznaczymy jako odchylenie standardowe średniej arytmetycznej, korzystając ze wzoru:

, gdzie n = 21
w mierze liniowej: Δkśr = 0,03 [V/V]
w mierze logarytmicznej: Δkśr = 0,02 [dB]
Przykładowe obliczenia:
![]()
![]()

Czyli ostatecznie możemy zapisać:
kśr = 40,23 ± 0,03 [V/V]
kśr = 32,09 ± 0,02 [dB]
3. Dopasowanie mocy wyjściowej
Rys. 2. Schemat po pomiaru maksymalnej mocy na wyjściu wzmacniacza
Zmieniając rezystancję wejściową miernika mocy przy stałym napięciu wejściowym równym Uwe = 100 mV i stałej częstotliwości f = 1070 Hz odczytujemy z miernika wartość mocy na wyjściu wzmacniacza. Wyniki pomiaru zamieszczono w tabeli:
R |
P |
δP |
P |
[ ] |
[ W ] |
[ % ] |
[ W ] |
10000,0 |
0,20 |
8,90 |
0,02 |
6000,0 |
0,30 |
8,85 |
0,03 |
4000,0 |
0,43 |
8,79 |
0,04 |
3000,0 |
0,58 |
8,71 |
0,05 |
2500,0 |
0,65 |
8,68 |
0,06 |
2000,0 |
0,80 |
8,60 |
0,07 |
1500,0 |
1,02 |
8,49 |
0,09 |
1250,0 |
1,20 |
8,40 |
0,10 |
1000,0 |
1,50 |
8,25 |
0,12 |
800,0 |
1,78 |
8,11 |
0,14 |
600,0 |
2,15 |
7,93 |
0,17 |
500,0 |
2,40 |
7,80 |
0,19 |
400,0 |
2,80 |
7,60 |
0,21 |
300,0 |
3,20 |
7,40 |
0,24 |
250,0 |
3,50 |
7,25 |
0,25 |
200,0 |
3,80 |
7,10 |
0,27 |
150,0 |
4,10 |
6,95 |
0,28 |
125,0 |
4,20 |
6,90 |
0,29 |
100,0 |
4,25 |
6,88 |
0,29 |
75,0 |
4,15 |
6,93 |
0,29 |
60,0 |
4,00 |
7,00 |
0,28 |
50,0 |
3,80 |
7,10 |
0,27 |
40,0 |
3,45 |
7,28 |
0,25 |
30,0 |
3,00 |
7,50 |
0,23 |
25,0 |
2,75 |
7,63 |
0,21 |
20,0 |
2,40 |
7,80 |
0,19 |
15,0 |
2,00 |
8,00 |
0,16 |
12,5 |
1,75 |
8,13 |
0,14 |
10,0 |
1,25 |
8,38 |
0,10 |
8,0 |
1,20 |
8,40 |
0,10 |
6,0 |
0,90 |
8,55 |
0,08 |
5,0 |
0,78 |
8,61 |
0,07 |
4,0 |
0,65 |
8,68 |
0,06 |
3,0 |
0,50 |
8,75 |
0,04 |
2,5 |
0,42 |
8,79 |
0,04 |
Błąd względny mocy wyjściowej: δP = ± (9 - 0,5⋅A)% , gdzie A - liczba na skali miernika (w naszym przypadku równa wartości mocy wyjściowej; pomiarów dokonywano na zakresie 10 W)
Błąd bezwzględny mocy wyjściowej: ΔP = δP ⋅ P [W]
Przykładowe obliczenia:
δP = 9 - 0,5⋅4,25 = 6,88 [%]
ΔP = 6,88% ⋅ 4,25 = 0,29 [W]
Wykres zależności mocy wyjściowej od rezystancji wyjściowej wzmacniacza przedstawiono na wykresie 6. Na podstawie danych zamieszczonych w tabeli oraz wykresu można określić rezystancję wyjściową wzmacniacza jako rezystancję, przy której moc na wyjściu osiąga maksymalną wartość. Z pomiarów wynika, że rezystancja wyjściowa wzmacniacza wynosi:
Rwy = 100 Ω.
WNIOSKI I UWAGI:
Wzmacniacz pomiarowy, jak sama nazwa wskazuje służy do wzmacniania sygnałów podawanych na jego wejście, choć może służyć także jako dopasowanie impedancyjne między poszczególnymi stopniami. Szczególnym przypadkiem wzmacniacza pomiarowego jest wzmacniacz selektywny, który wzmacnia sygnał o określonej częstotliwości. Celem ćwiczenia był pomiar podstawowych parametrów wzmacniacza selektywnego.
W pkt. 1 ćwiczenia wyznaczaliśmy pasmo przenoszenia wzmacniacza selektywnego. Pierwsze pomiary były przeprowadzone w celu orientacyjnego znalezienia częstotliwości środkowej, zaś drugie pomiary były przeprowadzone w celu dokładniejszego wyznaczenia częstotliwości środkowej oraz pasma przenoszenia wzmacniacza. Na podstawie pomiarów wykreślono charakterystyki wzmocnienia i tłumienności w funkcji częstotliwości (wykresy 1 - 4). Z wykresów tych widać, że częstotliwość środkowa wzmacniacza wynosi 1070 Hz, zaś jego pasmo przenoszenia zawiera się w granicach 1051 - 1083 Hz dla 3 decybelowego spadku wzmocnienia (√2 wartości maksymalnej wzmocnienia w mierze liniowej). Podobnie wyznaczyć można było pasmo przenoszenia z charakterystyk tłumienia w funkcji częstotliwości, gdzie przy częstotliwości środkowej tłumienność wzmacniacza wynosi 0 dB (1 V/V).
W pkt. 2 ćwiczenia wyznaczaliśmy wzmocnienie wzmacniacza (charakterystykę przenoszenia Uwy = f(Uwe). Z wykresu opisującego zależność napięcia wyjściowego w funkcji napięcia wejściowego przy częstotliwości środkowej f0 = 1070 Hz (wykres 5) widzimy, że wzmacniacz prawidłowo pracuje przy napięciach wejściowych mniejszych niż 210 mV. Powyżej tej wartości napięcia wzmacniacz wchodzi w nasycenie i napięcie na wyjściu ma stałą wartość równą ok. 8,5 V. Na podstawie tej charakterystyki można obliczyć wzmocnienie wzmacniacza przy częstotliwości środkowej dla zakresu liniowego, czyli dla napięć mniejszych niż 210 mV. Średnie wzmocnienie w naszym przypadku wynosi 40,23±0,03V/V (32,09±0,02 dB). Błąd pomiaru wyznaczono metodą różniczki zupełnej przy założeniu, że napięcie wejściowe jest wartością rzeczywistą (ustawiane na komputerze, brak danych o błędzie).
W pkt. 3 ćwiczenia wyznaczaliśmy maksymalną moc, jaka wydzieli się na wyjściu wzmacniacza przy zmiennej rezystancji obciążenia. Wiemy, że największa moc wydziela się, gdy rezystancja obciążenia jest równa rezystancji wyjściowej wzmacniacza. Mówi się wtedy o dopasowaniu mocy. Z pomiarów i wykonanej charakterystyki P = f(R) widzimy, że maksymalna moc na wyjściu 4,25±0,29 W jest na wyjściu dla rezystancji obciążenia równej 100. Możemy zatem stwierdzić, że badany wzmacniacz selektywny miał rezystancję wyjściową równą 100.
- 7 -