Zespół Dydaktyczno - Naukowy Napędów i Sterowania
Instytut Maszyn Roboczych Ciężkich
Laboratorium Elektrotechniki i Elektroniki
P II
Obwody i układy elektromagnetyczne
(Permeament Epsteina)
Data wykonania ćwiczenia: 8.12.2000
Data oddania sprawozdania:5.01.2001
Ocena:.................................................
Wykonał zespół:
BOBER KAMIL
SKOCZ MARIUSZ
WILGA ŁUKASZ
NAWROCKI PIOTR
LULAJ PIOTR
ANDRZEJEWSKI JACEK
KACZYŃSKI KRZYSZTOF
WĘGRZYNEK DANIEL
Wydział SiMR
Rok ak.: 2000/2001
Semestr: III
Grupa: 2,3
Warszawa 2001r.
CEL ĆWICZENIA
Celem ćwiczenia jest:
utrwalenie podstawowych wiadomości charakteryzujących pole magnetyczne,
poznanie metody pomiaru natężenia pola magnetycznego, indukcji magnetycznej, przenikalności i stratności blach magnetycznych parametrem EPSTEINA,
poznanie metody wyznaczania charakterystyki magnesowania przy użyciu oscyloskopu jako charakterografu.
I BADANIE NATĘŻENIA POLA MAGNETYCZNEGO - KRZYWA PIERWOTNA NAMAGNESOWANIA.
L.p. |
I1 [A] |
U2 [V] |
Hm [A/m] |
Bm [T] |
μ [H/m] |
μw |
|
1 |
1,5 |
54 |
530,33 |
0,541 |
1,02ּ10-3 |
812,12 |
|
2 |
1,6 |
57 |
565,68 |
0,571 |
1,01ּ10-3 |
804,14 |
|
3 |
1,7 |
59 |
601,04 |
0,591 |
0,98ּ10-3 |
780,25 |
|
4 |
1,8 |
62 |
636,4 |
0,621 |
0,97ּ10-3 |
772,29 |
|
5 |
1,9 |
64,5 |
671,75 |
0,646 |
0,96ּ10-3 |
764,33 |
|
6 |
2 |
67,5 |
707,1 |
0,676 |
0,95ּ10-3 |
756,37 |
|
7 |
2,1 |
70 |
742,46 |
0,702 |
0,94ּ10-3 |
748,41 |
|
8 |
2,3 |
73,5 |
813,17 |
0,737 |
0,91ּ10-3 |
724,52 |
|
9 |
2,5 |
77 |
883,86 |
0,772 |
0,87ּ10-3 |
692,67 |
|
10 |
2,8 |
81,5 |
989,94 |
0,817 |
0,82ּ10-3 |
652,87 |
|
11 |
3 |
83,5 |
1060,65 |
0,837 |
0,78ּ10-3 |
621,02 |
|
|
|||||||
Pomiar dokonaliśmy przy stałej częstotliwości f = 42 Hz
Obliczam wartość maksymalną (amplitudę) natężenia pola magnetycznego.
![]()
gdzie:
l - średnia droga przepływu strumienia magnetycznego w rdzeniu [m]
I1 - wartość prądu magnesującego [A]
z1 - liczba zwojów uzwojenia magnesującego
l = 2 [m]
z1 = 500
Dla pierwszej wartości I1 = 1,5 [A]
![]()
Dla pozostałych wartości prądu magnesującego obliczam identycznie amplitudę natężenia pola magnetycznego.
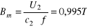
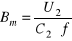
Obliczam wartość maksymalną (amplitudę) indukcji magnetycznej wg zależności:
![]()
ale
![]()
k - współczynnik zależny od kształtu krzywej prądu magnesującego, dla sinusoidy przyjmuję:
k = 1,11
s - pole przekroju próbki rdzenia [m2]
s = 0,0009 [m2]
z2 - liczba zwojów uzwojenia pomiarowego
z2 = 600
Zatem pomiar C2 ma wartość:
![]()
więc indukcja magnetyczna maksymalna:
![]()
f - częstotliwość [Hz]
f = 42 Hz
Dla pierwszej wartości U2:
![]()
![]()
Kolejne wartości indukcji dla następnych napięć obliczam analogicznie.
Obliczam przenikalność magnetyczną danego środowiska.
Między amplitudą indukcji magnetycznej a amplitudą natężenia pola magnetycznego istnieje zależność:
![]()
z tego warunku otrzymam:
![]()
dla pierwszego przypadku:

Pozostałe przypadki obliczam analogicznie.
Obliczam przenikalność magnetyczną względną. Korzystam z zależności:
![]()
gdzie:
μo - przenikalność magnetyczna w próżni
μo = 4ּπּ10-7 [H/m]
μ - przenikalność magnetyczna danego środowiska [H/m]
Dla pierwszego przypadku:
![]()
Dla pozostałych przypadków obliczam analogicznie.
Charakterystyki magnesowania próbki:

wykres 1

wykres 2
II BADANIE STRATNOŚCI MAGNETYCZNEJ - ROZDZIAŁ STRAT W BADANEJ PRÓBCE.
L.p. |
f |
U2 |
I1 |
P |
Pn |
Pν |
Pm |
Pm/f |
Ph |
Pw |
PFe |
P'h |
P'w |
|
[Hz] |
[V] |
[A] |
[W] |
[W] |
[W] |
[W] |
[W/Hz] |
[W] |
[W] |
[W/kg] |
[W/kg] |
[W/kg] |
1 |
40 |
95,5 |
4,25 |
80 |
1,824 |
1,824 |
63,012 |
1,575 |
55,4 |
7,60 |
6,30 |
5,54 |
0,760 |
2 |
42 |
100 |
4,25 |
90 |
2,00 |
2,00 |
71 |
1,691 |
62,62 |
8,38 |
7,1 |
6,262 |
0,838 |
3 |
44 |
105 |
4,3 |
95 |
2,21 |
2,21 |
74,75 |
1,699 |
65,56 |
9,19 |
7,47 |
6,556 |
0,919 |
4 |
46 |
110 |
4,3 |
100 |
2,42 |
2,42 |
78,49 |
1,706 |
68,44 |
10,05 |
7,85 |
6,844 |
0,1005 |
5 |
48 |
114 |
4,25 |
105 |
2,60 |
2,60 |
82,3 |
1,715 |
71,36 |
10,94 |
8,23 |
7,136 |
0,1094 |
6 |
50 |
120 |
4,27 |
110 |
2,88 |
2,88 |
86,01 |
1,720 |
74,13 |
11,88 |
8,60 |
7,413 |
0,1188 |
7 |
52 |
125 |
4,27 |
115 |
3,125 |
3,125 |
89,59 |
1,723 |
76,75 |
12,84 |
9,00 |
7,675 |
0,1284 |
8 |
54 |
130 |
4,35 |
120 |
3,38 |
3,38 |
93,24 |
1,727 |
79,34 |
13,85 |
9,32 |
7,934 |
0,1385 |
9 |
56 |
134 |
4,35 |
125 |
3,591 |
3,591 |
96,98 |
1,732 |
82,84 |
14,9 |
9,69 |
8,284 |
0,149 |
10 |
58 |
139 |
4,50 |
130 |
3,864 |
3,864 |
100,61 |
1,735 |
84,63 |
15,98 |
10,06 |
8,463 |
0,1598 |
Obliczam straty w cewce napięciowej watomierza wynoszą:
![]()
Rn - rezystancja cewki watomierza dołączonej do uzwojenia pomiarowego
Rn = 5 kΩ
Dla pierwszego przypadku U2 = 95,5 V
![]()
Dla pozostałych przypadków obliczenia analogiczne.
Obliczenia strat mocy w cewce woltomierza wg zależności:
![]()
Rv - rezystancja cewki napięciowej woltomierza
Rv = 5 kΩ
Ponieważ zależność jest taka sama jak w punkcie pierwszym, zatem wyniki obliczeń będą takie same.
Obliczenia straty mocy w obwodzie magnetycznym.
![]()
ponieważ Pn = Ph zatem
![]()
gdzie:
z1 - liczba zwojów uzwojenia magnesującego
z2 - liczba zwojów uzwojenia pomiarowego
P - moc wskazana przez watomierz
Dla pierwszej wartości Pn = 1,824 W, z1 = 500, z2 = 600, P = 80 W.
![]()
Dla pozostałych wartości tok obliczeń analogicznych.
Dzielę straty mocy Pm w obwodzie magnetycznym przez masę rdzenia
m = 10 kg i otrzymuję stratność
![]()
Dla pierwszego przypadku Pm = 63,012 W
![]()
Dla pozostałych przypadków obliczenia analogiczne.
5. Obliczam straty na prądy wirowe Pw
![]()
gdzie:
d - grubość blachy
ρ - rezystywność materiału ferromagnetycznego
Ponieważ przekrój s = 0,0009m2
Więc: s = d · b
gdzie b = 30cm zatem 0,0009m2 = d · 30cm
d = 0,3cm
Indukcja:
![]()
ρ = 100Ωm
c2 = 2,3976
zatem Pw dla pierwszej wartości:
![]()
Dla reszty przypadków analogicznie.
6. Obliczenia strat na histerezę.
![]()
czyli
![]()
Pm - straty mocy w obwodzie magnetycznym.
Dla pierwszego przypadku:
![]()
Dla pozostałych przypadków analogicznie.
Obliczenia strat na histerezę przypadające na 1kg masy rdzenia.
![]()
gdzie: m = 10kg
![]()
Dla pozostałych przypadków analogicznie.
Charakterystyki stratności magnetycznej:

wykres 3

wykres 4

wykres 5

wykres 6
Wnioski:
Zmniejszenie strat od prądów wirowych w rdzeniu obwodu magnetycznego przy zadanej indukcji magnetycznej i częstotliwości można otrzymać, wykonując rdzeń z cienkich blach magnetycznych i izolowanych względem siebie papierem, lakierem lub warstwą ceramiczną lub stosując blachy z materiału ferromagnetycznego o dużej rezystywności. Rezystywność materiału ferromagnetycznego można zwiększyć stosując odpowiednie domieszki stopowe, np. do stali elektrotechnicznej jako domieszkę stosuje się krzem. W środowisku nieruchomym prądy wirowe powstają w skutek zmian strumienia magnetycznego.
Przenikalność magnetyczna ferromagnetyków zmienia się w szerokich granicach. Od niewielkiej wartości początkowej wzrasta wraz ze wzrostem natężenia pola magnetycznego po czym maleje. Na sporządzonym wykresie μw = f(Hm) widoczna jest jedynie malejąca część charakterystyki. Gdyby wykonać obliczenie przy wartościach prądu poniżej 1,5 A zapewne otrzymalibyśmy pełny wykres charakterystyki. Adektywnie odnosi się to do zależności Bm = f (Hm). Obserwujemy natężenie pola magnetycznego (od Hm = 530,33 A/m do Hm = 1060,65 A/m ) przy stosunkowo mniejszym przedziale zmienności indukcji magnetycznej (od Bm = 0,541 T do Bm = 0,837 T).
Jak wynika z wykresów pętli histerezy dla pierwszych sześciu przypadków pole pętli powiększa się wraz ze wzrostem częstotliwości, która ma znaczący wpływ na straty. Do takiego samego wniosku dojdziemy analizując wykresy od 3 do 6. Jak widać we wszystkich przypadkach poszczególne rosą wraz ze wzrostem częstotliwości.