Polubić statystykę
ale…
jej nie przeceniać!!!
czyli
„niezbędnik statystyczny i nie tylko”
S t a t y s t y k a
Nazwa zbioru danych liczbowych prezentujących kształtowanie się określonych zjawisk i procesów
Nazwa wszelkich prac związanych z gromadzeniem i opracowaniem danych liczbowych
Nazwa pewnych charakterystyk liczbowych obliczanych ze zbiorowości próbnych
Nazwa dyscypliny naukowej, mającej własne, zróżnicowane metody badawcze
Podstawowe pojęcia statystyczne
Zbiorowość statystyczna - zbiór dowolnych elementów (osób, przedmiotów, faktów) podobnych - ale nie identycznych - pod względem określonych właściwości i poddanych badaniom statystycznym. Zbiorowości statystyczne powinny być ściśle określone pod względem rzeczowym (kto lub co jest przedmiotem badania), przestrzennym (gdzie się znajduje zbiorowość) oraz czasowym (jakiego momentu czy okresu dotyczy badanie).
Jednostka statystyczna - element składowy zbiorowości poddana bezpośredniej obserwacji lub pomiarowi.
Cechy stałe - właściwości jednakowe dla wszystkich jednostek statystycznych. Nie podlegają badaniu, jedynie decydują o zaliczeniu jednostki do określonej zbiorowości (są nimi np. wiek, płeć, kolor włosów itd.).
Cechy zmienne - właściwości różnicujące poszczególne elementy zbiorowości. Podlegają badaniu statystycznemu (są nimi np. liczba osób piszących test, liczba zadań w teście, osiągnięte punkty itd.)
Skale pomiarowe - Badaniu statystycznemu podlegają cechy zmienne, różnicujące jednostki statystyczne. Wielkość badanej cechy określana jest w procesie pomiaru. Pomiar polega na przyporządkowaniu cechom statystycznym określonych symboli, którymi mogą być liczby, litery alfabetu, opis słowny i inne. Wyróżnia się różne poziomy pomiarów, którym odpowiadają 4 skale pomiarowe: nominalna, porządkowa (rangowa), przedziałowa (interwałowa), stosunkowa (ilorazowa). Nominalna i porządkowa są niemetryczne (jakościowe), przedziałowa i stosunkowa - metryczne (ilościowe).
Skala nominalna - jest najmniej precyzyjna. Liczby pełnią tu jedynie rolę umownych symboli służących do identyfikacji jednostek statystycznych i ich klasyfikacji do wyróżnionych kategorii. Jedyną operacją matematyczną jest zliczanie jednostek należących do określonej kategorii danej cechy i obliczanie na ich podstawie proporcji, odsetek, procentów. Np. wynik pomiarów jednostek w IV grupie pod względem cechy jakościowej „płeć” można przedstawić w skali nominalnej: kobiety - mężczyźni. Można obliczyć, że w grupie 15 - osobowej znajduje się 14 kobiet i 1 mężczyzna, który stanowi 7% populacji.
Skala porządkowa (rangowa) - posiada wszystkie cechy skali nominalnej, dodatkowo pozwala na porządkowanie jednostek w ramach wyróżnionych kategorii pod względem natężenia badanej cechy. Możliwe są więc stwierdzenia, że coś jest mniejsze niż, lub większe niż Przykładem jest np. 9 stopniowa skala Richtera, stopnie wojskowe, miejsca zajęte przez zawodników itd. Nie wolno na tej skali dokonywać działań dodawania, odejmowania, dzielenia, mnożenia idt.
Skala przedziałowa (interwałowa) - zachowuje własności skali porządkowej, a oprócz tego umożliwia określenie odległości między jednostkami. Np. w skali temperatury Celsjusza zero ustalono jako punkt, w którym zamarza woda, temperaturę mierzy się więc w odniesieniu do tego zera: poniżej zera i powyżej zera. Tak samo wzrost, czy wzrost danej osoby mieści się w skali przyjętej dla danego wieku i płci, o ile jest wyższa/niższa od innych osób. Na liczba w skali przedziałowej nie można dzielić. Wyniki testu wyrażane w punktach jest to pomiar w skali przedziałowej.
Skala stosunkowa (ilorazowa) - jej cechą charakterystyczną jest posiadanie punktu zerowego, który oznacza brak danej cechy. Umożliwia to dokonywanie wszelkich działań matematycznych. Oceny to skala stosunkowa.
Nazwa skali |
Własności |
Przykład dydaktyczny |
Przykład spoza dydaktyki |
Nominalna |
Klasy jakościowe |
Deklaracje zainteresowań |
Numery linii autobusowych |
Porządkowa |
j. w. + hierarchia klas |
Skala stopni szkolnych |
Przemysłowe klasy jakości |
Przedziałowa |
j. w. + jednostka pomiaru |
Skala znormalizowana |
Lata kalendarzowe |
Stosunkowa |
j. w. + zero bezwzględne |
Wyniki testów szybkości |
Długość odcinka |
Tablice statystyczne - zawierają liczbowy opis zbiorowości statystycznych według jednej (tablice proste) lub większej liczby cech (tablice złożone). Pełnią one główną formę zbiorowego prezentowania danych liczbowych. Tablice powinny zawierać: tytuł, nazwy wierszy (boczek), nazwy kolumn (główka), źródła danych, ewentualne uwagi wyjaśniające, np.
Tabela 1 Umiejętności związane z czytaniem, analizowaniem, interpretacją i refleksją teoretycznoliteracką.
Nr zadania |
1 |
2 |
4 |
Poziom P |
3 |
Poziom PP |
Poziom wymagań |
P |
|
PP |
|
||
Łatwość % |
84 |
80 |
76 |
80 |
52 |
52 |
Źródło: Badania własne
Tabela 2 Ogólne wyniki testowania - analiza ilościowa.
Lp. |
Wskaźnik statystyczny |
Użyty skrót |
Wynik |
1. |
Liczba testowanych |
N |
|
2. |
Średnia arytmetyczna |
x |
|
3. |
Odchylenie standardowe wyników |
S |
|
4. |
Rozstęp |
R |
|
5. |
Współczynnik zmienności |
V |
|
6. |
Mediana |
Me |
|
7. |
Modalna |
Mo |
|
8. |
Łatwość zadań |
p |
|
9. |
Łatwość zadań w górnej połowie |
P/L |
|
10. |
Łatwość zadań w dolnej połowie |
P/S |
|
11. |
Moc różnicująca |
D 50 |
|
12. |
Wariancja średnia zadań |
Wśr.z. |
|
13. |
Wariancja testu |
W |
|
14. |
Rzetelność testu (wzór KR20) |
KR20 |
|
15. |
Frakcja opuszczeń |
fśr. |
|
16. |
Błąd standardowy pomiaru |
Bs |
|
Wykresy statystyczne - to wizualna forma prezentacji danych statystycznych oraz wyników analizy statystycznej. Z punktu widzenia form graficznych można wyróżnić wykresy liniowe (wielkości statystyczne przedstawione w postaci pionowych lub poziomych odcinków) oraz powierzchniowe (służące do prezentacji wielkości statystycznych za pomocą powierzchni figur płaskich, np. wykresy słupkowe, kołowe). Każdy wykres powinien mieć: tytuł, źródło danych oraz legendę, czyli wyjaśnienie zastosowanych symboli, znaków, barw czy przyjętej skali. Przykład:

Źródło: Badania własne
Histogram - zbiór przylegających prostokątów, których podstawy - równe interwałom klasowym - spoczywają na osi odciętych, a wysokości są liczebnościami odpowiadającymi poszczególnym przedziałom klasowym.
Diagram (wielobok liczebności) - jest łamaną powstałą przez połączenie punktów o współrzędnych: środki przedziałów klasowych i odpowiadające im liczebności.
Hierarchia niezbędnych własności pomiaru dydaktycznego
Niezależność Dokładne Rzetelność Trafność Obiektywizm
sytuacji punktowanie pomiaru pomiaru pomiaru
pomiarowej zadań
I. Zaczynając od wzorów, które są konieczne do analizy ilościowej i obliczenia współczynnika rzetelności.
średnia artytmetyczna: ![]()
to miara tendencji centralnej, specyficzna dla skali przedziałowej
![]()
gdzie:
![]()
- suma poszczególnych wyników
N - liczba badanych
np.
![]()
= ![]()
=![]()
mediana: Me (![]()
)
jest to wynik środkowy w uporządkowanym zbiorze wyników, przyjmuje się, że w przypadku nieparzystej liczby tych wartości medianę stanowi wartość środkowa, a w przypadku parzystej liczby wartości - średnia arytmetyczna dwu wartości środkowych, aby odnaleźć medianę należy uporządkować wyniki od najwyższego do najniższego lub odwrotnie
np.
8, 7, 6, 5, 5, 4, 3, 2 11, 9, 10, 7, 6, 5, 3 9, 7, 6, 5, 4,3
Me=5 Me=7 Me=(6+5): 2=5,5
________________________________________________________________
modalna: Mo
(inaczej: dominanta, moda) jest to wynik najczęściej występujący, wynik modalny może być nazwany „wynikiem typowym” określonego zbioru wyników testowania (układ dwumodalny mamy wówczas, gdy dwa wyniki tak samo często występują np. 8,7,7,5,4,4,3; Mo= 7 i 5)
np.
8, 7, 6, 5, 5, 4, 3, 2
Mo=5
rozrzut:
(inaczej: dyspersja, zmienność, rozsiew, rozproszenie) to zróżnicowanie zaobserwowanych wartości zmiennej, dostarcza nam informacji jak bardzo wyniki odchylają się od tendencji centralnej.
Podstawowymi miarami rozrzutu są: wariancja i odchylenie standardowe
________________________________________________________________
rozstęp (rozpiętość) R
jest prostą miarą rozrzutu, opiera się na dwóch krańcowych wynikach, jego wadą jest brak precyzji
R= xmax - xmin
np.
8, 7, 6, 5, 5, 4, 3, 2
R= 8 - 2=6
Wariancja testu: S2
to średnia arytmetyczna kwadratów odchyleń tych wyników od ich średniej arytmetycznej, służy do analizy rozrzutu.
S2 = ![]()
Gdzie:
∑=znak sumowania
x = wynik w teście
![]()
= średnia artymetyczna
x - ![]()
= odchylenie zaobserwowanej wartości zmiennej (danego wyniku od średniej arytmetycznej)
N - liczba badanych (wyników)
Np.
wynik |
x- |
|
8 |
(8-5)=3 |
9 |
7 |
(7-5)=2 |
4 |
6 |
(6-5)=1 |
1 |
5 |
(5-5)=0 |
0 |
5 |
(5-5)=0 |
0 |
4 |
(4-5)=-1 |
1 |
3 |
(3-5)=-2 |
4 |
2 |
(2-5)=-3 |
9 |
|
0 |
|
S2= ![]()
= ![]()
=3,5
Wariancja zadania punktowanego 0 - 1: W
W= p x q
p - łatwość zadania p=![]()
q - trudność zadania q=1 - p
Odchylenie standardowe: S
Jest to dodatni pierwiastek kwadratowy z wariancji, służy do przedstawiania wyników badań (np. czy test dobrze różnicuje - pomiar różnicujący)
S=![]()
Np.
S=![]()
= 1,87
Im większe (S) odchylenie, tym większe zróżnicowanie!!!
Im mniejsze (S) odchylenie, tym mniejsze zróżnicowanie!!!
Łatwość zadania: p
Jest stosunkiem liczby punktów uzyskanych za rozwiąznie tego zadania przez uczniów biorących udział w testowaniu do maksymalnej liczby punktów możliwej do uzyskania przez tę liczbę uczniów.
P![]()
![]()
=![]()
![]()
gdzie:
p - łatwość zadania
![]()
- suma punktów uzyskanych za roziwązanie zadania przez „n” uczniów
n - liczba uczniów testowanych
k - maksymalna liczba punktów możliwych do uzyskania przez jednego ucznia za rozwiązanie zadania
Łatwość zadania punktowanego 0-1
p=![]()
p- łatwość zadania punktowanego 0-1
np- liczba uczniów, którzy rozwiązali zadanie
n- liczba uczniów testowanych
Dla różnych celów (np. promowania, diagnozy niepowodzeń, selekcji najlepszych) i w różnych częściach testu wielostopniowego potrzebujemy zadań o różnej trudności dla ucznia. Ze względu na motywację uczenia się najbardziej pożądane są zadania średnio trudne i łatwe, a zadania przewidywane jako trudne i bardzo trudne powinny być odpowiednio oznaczone. Nieoczekiwana trudność lub łatwość zadania może być sygnałem braku jego poprawności dydaktycznej!!!
Trudność zadania: q
Wskaźnik ten stosuje się do testu złożonego z zadań punktowanych 0-1, jest to stosunek liczby uczniów, którzy nie rozwiązali prawidłowo zadania ( podali błędną odpowiedź, opuścili zadanie lub nie doszli do niego), do liczby uczniów biorących udział w testowaniu.
q =1 - p
q - trudność zadania punktowanego 0 - 1
p-łatwość zadania punktowanego 0 - 1
Współczynnik zmienności: V
to stosunek odchylenia standardowego do średniej
V=![]()
100%
S = odchylenie standardowe
![]()
= średnia arytmetyczna
np. V= ![]()
100%= 37,4%
Frakcja opuszczeń zadania: f
W teście pisemnym za zadanie opuszczone przez danego ucznia uważamy każde zadanie pozostawione bez odpowiedzi, jeżeli na którekolwiek z zadań o wyższej numeracji (późniejsze w teście) podał on odpowiedź prawidłową lub błędną, całkowitą lub częściową.
Frakcja opuszczeń jest stosunkiem liczby uczniów, którzy je opuścili do liczby uczniów biorących w testowaniu.
f =![]()
gdzie:
f - frakcja opuszczeń
n0- liczba uczniów, którzy opuścili zadanie
n- liczba uczniów testowanych
Łatwość w górnej i dolnej połowie: P/L, P/S
Wskaźniki te są pomocne w obliczaniu mocy różnicującej zadania i testu. Jest to stosunek liczby uczniów, którzy rozwiązali poprawnie zadanie do liczby uczniów w połowie. Górna połowa - inaczej lepsza połowa, dolna połowa - inaczej słabsze wyniki
P/L= ![]()
P/L- łatwość w górnej połowie
np- liczba uczniów, którzy rozwiązali zadanie w górnej połowie
n- liczba uczniów testowanych w górnej połowie
P/S= ![]()
P/S- łatwość w dolnej połowie
np- liczba uczniów, którzy rozwiązali zadanie w dolnej połowie
n- liczba uczniów testowanych w dolnej połowie
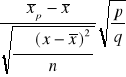
Moc różnicująca zadania testowego punktowanego 0-1: rpb (współczynnik korelacji punktowo - dwuseryjnej)
Jest to korelacja wyników zadania z wynikami testu, w którym mieści się to zadanie, porównywane są dwie serie wyników: tych uczniów, którzy rozwiązali zadanie (p) i tych uczniów, którzy go nie rozwiązali (q)
rpb== 
gdzie:
![]()
p - średnia wyników testu w serii p (uczniów, którzy rozwiązali zadanie)
![]()
- średnia wyników testu ( ogólna)
p - łatwość zadania pu ktowanego 0 - 1
q - trudność zadania
n - liczba uczniów testowanych
Moc różnicująca zadania testowego: D50 ( wskaźnik zastępczy, dla zadań punktowanych 0-1)
D50 = P/L - P/S
D50 - moc różnicująca zadanie punktowane 0-1
P/L - łatwość w górnej połowie
P/S - łatwość w dolnej połowie
Moc różnicująca zadania testowego: rix
(jest korelacją wyników zadania z wynikami
testu, w którym mieści się to zadanie)
rix= ![]()

gdzie:
rix - moc różnicująca zadanie, współczynnik korelacji (r Pearsona, pozwala liczyć zależności dla skali przedziałowej: jak mocno wyniki zgadzają się ze sobą),
i - wynik zadania ucznia
x - wynik testu ucznia
n - liczba uczniów testowanych
Wskaźnik rix jest trudno obliczyć na zwykłym kalkulatorze, najlepiej używać tak zwanego kalkulatora „naukowego” (statystycznego) wyposażonego w program uruchamiany klawiszem „r” lub „corr”. Albo wykorzystywać specjalne programy komputerowe. (np. ITEMAN, TESTY)
W teście sprawdzającym są potrzebne zadania o małej mocy różnicującej!!!
Dla testu różnicującego moc różnicująca zadań powinna być wysoka!!!
Tylko zadania umiarkowanie trudne i trudne mogą dobrze różnicować uczniów. Zadnia b. łatwe i b. trudne mają niską (do zerowej, gdy wszyscy uczniowie rozwiązali zadanie lub wszyscy go nie rozwiązali) moc różnicującą. Dlatego musimy interpretować wartość wskaźników mocy różnicującej łącznie ze wskaźnikami łatwości zadania. W innym przypadku odrzucilibyśmy wszystkie zadania bardzo łatwe i bardzo trudne. Mając jednak zadania o podobnej stosowności i poprawności dydaktycznej, w tym - łatwości, a nierówne pod względem mocy różnicującej, powinniśmy wybrać zadania o wyższych wskaźnikach mocy różnicującej.
Współczynnik rzetelności testu (rzetelność-dokładność pomiaru)
Jest to współczynnik pokazujący wewnętrzną zgodność testu osiągnięć szkolnych, czyli stopień, w jakim wszystkie zadania testu mierzą te same osiagnięcia uczniów (inaczej: jest to zgodność planu testu z tym jak uczniowie go rozwiązują).
Im większa jest liczba testowanych, tym bardziej pewne staje się oszacowanie rzetelności.
Współczynnik może przybierać wartości w przedziale {0,1}. Wartość 0 oznacza, iż cała zmienność wyników pochodzi z błędów pomiaru, to znaczy, iż różnice między wynikami uczniów w dowolnym testowaniu są wyłącznie losowe, a test niczego systematycznie nie mierzy. Wartość 1 oznacza, iż wyniki testowania są całkowicie wolne od błędów pomiaru określonych jako czynniki swoiste dla danej wersji testu lub indywidualne dla danego punktującego. Każda wartość współczynnika pokazuje proporcję między czynnikami systematycznymi i losowymi, np. współczynnik 0,50 pokazuje, że ich udział jest równy.
Rzetelność jest wyższa, gdy w teście są zadania umiarkowane, niższa, gdy znajdują się w nim zadania bardzo łatwe i bardzo trudne.
Aby rzetelność była wysoka, wysokie muszą być moce różnicujące poszczególnych zadań.
Jeżeli rośnie wariancja, to rośnie rzetelność testu.
Jest miarą „złudną”, ponieważ można „sztucznie” ją podnosić: im większa liczba zadań w teście, tym wyższa rzetelność.
Jest uzależniona od czynników zewnętrznych np. organizacji testowania, kompetencji sprawdzającego, „obycia testowego uczniów”.
Uniwersalnym wzorem na oszacowanie wewnętrznej zgodności wyników jest alfa Cronbacha - ![]()
![]()
= ![]()
gdzie:
k- liczba zadań w teście
![]()
-suma wariancji wyników poszczególnych zadań
S2x - wariancja wyników testowania
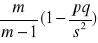
Dla zadań punktowanych 0-1 stosuje się współczynnik rzetelności testu KR20
rtt=![]()
rtt - współczynnik rzetelności KR20
m - liczba zadań w teście
p - łatwość zadań
q - trudność zadań
s2 - wariancja wyników testowania
Błąd standardowy pomiaru: ![]()
Służy do interpretacji statystycznej współczynnika rzetelności pomiaru (np. w testach wielokrotnego wyboru „poprawka na zgadywanie”)
![]()
= S![]()
S - odchylenie standardowe wyników
Rtt - współczynnik rzetelności pomiaru
Trafność pomiaru
jest stopniem, w jakim jego wyniki są użyteczne, to jest przynoszą informację, która może być odpowiednio wykorzystana, to możliwość zasadnego wnioskowania o osiągnięciach uczniów i podejmowania skutecznych działań na podstawie wyników tego pomiaru. Obejmuje ona praktyczną użyteczność pomiaru i długofalowe skutki jego dokonywania, m. in. wpływ testowania na postawy uczniów i nauczycieli. Podstawą analiz jest zgodność intencji i wyników pomiaru.
Analizy trafności pomiaru dydaktycznego mają zapobiec:
błędom w doborze treści testów (np. przeładowanie testu wiedzą)
nadużyciom w interpretacji wyników testowania (np. kategorycznego wyrokowania o nakładzie pracy uczniów i nauczycieli).
Tradycyjna typologia trafności |
Mody- fikacja |
Trafność pomiaru sprawdzającego |
z programem, zadań testowych z planem testu |
|
Opisowa: zgodność treści zadań danego testu z opisem osiągnięć, które miały być objęte sprawdzaniem |
|
|
Funkcjonalna: zgodność funkcji spełnianych przez pomiar z funkcjami zamierzonymi dla tego pomiaru. |
Np. jeżeli test miał mierzyć daną umiejętność, to trzeba udowodnić, że jego treść reprezentuje zakres tej umiejętności w większym stopniu niż innych, a wyniki pozwolą na przewidywanie jakości działań obecnych i przyszłych. |
|
Wyboru dziedziny: sprawdzenie zasadności wyboru dziedziny czynności uczniów. Ponieważ nie możemy mierzyć wszystkiego, musimy dokonywać wyborów, kierując się celami kształcenia jeżeli chcemy kształcić i czytanie ze zrozumieniem, musimy dobrać odpowiednie zadania sprawdzające tę umiejętność.
|
Trafność teoretyczna pomiaru:
zintegrowany sąd wartościujący na temat stopnia, w jakim dane empiryczne i uzasadnienia teoretyczne stanowią o tym, że wnioski i działania oparte na wynikach testowania i innych sposobach oceniania są odpowiednie i właściwe.
Zakres analiz trafności teoretycznej jest bardzo szeroki, gdyż obejmuje nie tylko testowanie, lecz także na przykład arkusze obserwacji, materiały z teczek ucznia, osiągnięcia praktyczne, itd.
Rozszerzone pojęcie trafności teoretycznej może być przedstawione w postaci macierzy postępującej, to jest tabeli, w której wartości kolejnych pól kumulują się w wierszach i kolumnach.
Uzasadnienie trafności |
Interpretacja testu |
Zastosowanie testu |
Na podstawie zebranych dowodów
|
A Trafność teoretyczna |
B Trafność teoretyczna + stosowność i użyteczność |
Na podstawie przewidywanych konsekwencji
|
C Trafność teoretyczna + kształtowanie wartości |
D Trafność teoretyczna + stosowność i użyteczność + kształtowanie wartości + skutki społeczne |
Pytania, jakie powinny być postawione w poszczególnych zakresach
trafności pomiaru dydaktycznego:
A Jak mogę udowodnić, że zmierzono wszystko to i tylko to, co należało zmierzyć?
B Jak mogę udowodnić, że zmierzono to zgodnie z obowiązującymi przepisami i programami kształcenia oraz korzystnie ze względu na poniesione nakłady?
C Jakie będą zapewne konsekwencje dokonania pomiaru lub ewentualnego zaniechania pomiaru dla przekonań i postaw uczniów wobec świata, wobec uczenia się i wobec samych siebie?
D Jakie będą zapewne długofalowe skutki pomiaru lub zaniechania pomiaru dla społeczeństwa jako całości i dla poszczególnych uczniów?
Zasady ustalania trafności pomiaru dydaktycznego
Ustalanie trafności pomiaru dydaktycznego jest procesem ciągłym i nieograniczonym.
Wszystkie dane dotyczące założeń, planów, przebiegu, wyników i skutków testowania powinny być wykorzystane do oceny trafności pomiaru dydaktycznego.
Dane potwierdzające i dane zaprzeczające trafność pomiaru są równie cenne.
Pomiar nie jest trafny, gdy uczniowie nie wiedzą, co jest mierzone, lub nie aprobują tego.
Pomiar nie jest trafny, gdy nauczyciele nie wiedzą, co jest mierzone, lub nie aprobują tego.
Nie tyle wyniki pomiaru, ile decyzje podjęte na ich podstawie podlegają analizie i ocenie pod względem trafności.
Wszelkiego rodzaju skutki pomiaru dydaktycznego - dla uczniów, ich rodziców, nauczycieli, szkół i społeczeństwa - mają znaczenie dla trafności.
Im głębsze i bardziej odroczone są skutki pomiaru, tym maja znaczenie dla jego trafności.
Budując test, należy równolegle tworzyć program analiz jego trafności.
Każdy nowy rodzaj zastosowania pomiaru wymaga nowego ustalenia jego trafności.
Im test dłuższy, tym rzetelniejszy, ale niekoniecznie bardziej trafny.
Bez trafnych narzędzi pomiaru osiągnięć uczniów standardy edukacyjne są niewiele więcej niż dekoracją systemu edukacyjnego.
Obiektywizm pomiaru sprawdzającego
to dokładność, z jaką wyniki pomiaru są wyznaczone wymaganiami programowymi. Gdy wyniki pomiaru dokładnie odpowiadają na pytanie o spełnienie założonych wymagań przez uczniów, są obiektywne w sensie pomiaru sprawdzającego osiągnięcia uczniów.
Opis statystyczny - ma charakter sumaryczny i dotyczy tylko i wyłącznie danej zbiorowości statystycznej.
Wnioskowanie statystyczne - ma miejsce wówczas, kiedy badanie jest reprezentatywne, a jego wyniki są uogólniane na całą populację generalną, z której pochodzi próba.
Zestawienie statystycznych miar opisowych
Rodzaj miary
|
Miara
|
|||
nazwa |
znaczenie |
nazwa |
symbol |
Zastosowanie |
Tendencja centralna |
Punkt skupienia zaobserwowanych wartości na skali |
|
_ x |
Wskazuje wartość przeciętną |
|
|
|
x |
Wskazuje wartość środkową |
|
|
|
mo |
Wskazuje wartość typową |
Rozrzut
|
Rozproszenie zaobserwowanych wartości zmiennych |
|
- |
Do wstępnej oceny wielkości rozrzutu |
|
|
|
S2 |
Do analizy rozrzutu |
|
|
|
S |
Do przedstawiania wyników badania |
Korelacja |
Współzależność zaobserwowanych wartości dwu zmiennych |
|
r |
Obie zmienne mają po wiele klas ilościowych |
|
|
|
rpb |
Jedna ze zmiennych ma tylko dwie klasy jakościowe |
|
|
|
rb |
Jedna ze zmiennych ma tylko dwie klasy ilościowe |
|
|
|
rφ |
Obie zmienne mają po dwie klasy jakościowe |
|
|
|
rt |
Obie zmienne mają po dwie klasy ilościowe |
1
1
16
Niezbędnik statystyczny dla polonisty
Opracowały na podstawie literatury przedmiotu M. Latoch - Zielińska, Renata Bryzek i Wioletta Kozak
Interpertacja wskaźnika łatwości zadań
0-0,19 - b. trudne
0,2-0,49 - trudne
0,5-0,69 - śr. trudne
0,7-0,89 - łatwe
0,9-1 - b. łatwe
Interpretacja mocy różnicującej zadania
Liczba zadań w teście |
Minimalna rzeczywista moc różnicująca zadań |
Zadowalająca moc różnicująca zadań |
100 |
0,10 |
0,22 |
25 |
0,20 |
0,42 |
10 |
0,32 |
0,60 |
5 |
0,45 |
0,75 |
Umowne normy wielkości współczynników rzetelności ( interpretacja nieformalna współczynnika rzetelności)
Wielkość współczynnika |
Ocena pomiaru |
Dopuszczalne decyzje na podstawie wyników pomiaru |
0,00-0,49 |
nierzetelny |
Niedotyczące różnic osiągnięć między uczniami |
0,50-0,79 |
mało rzetelny |
Dotyczące różnic osiągnięć między grupami uczniów |
0,80-0,89 |
rzetelny |
Dotyczące różnic osiągnięć między uczniami w jednym zakresie treści kształcenia (przedmiocie) |
0,90-1,00 |
bardzo rzetelny |
Dotyczące różnic osiągnięć jednego ucznia między wybranymi zakresami treści ksztalcenia (przedmiotami) |
- % zadań zaliczonych
- % zadań niezaliczonych
Wykres 1
Rozkład opanowanych umiejętności
w zakresie czytania, rozumienia, analizy i interpretacji przeczytanego tekstu