Zakład Chemii Fizycznej
Laboratorium Studenckie
ĆWICZENIE 3: SPEKTROFOTOMETRIA. SPRAWDZANIE PRAWA ADDYTYWNOŚCI ABSORPCJI ŚWIATŁA DLA MIESZANINY DWUSKŁADNIKOWEJ.
WSTĘP:
Absorpcja światła przez substancje barwne ma charakter selektywny. Absorpcja roztworu i molowy współczynnik absorpcji są odmienne dla różnych długość fali światła przechodzącego przez roztwór. Długość fali, przy której obserwuje się maksimum absorpcji światła oznaczamy przez ![]()
(długość analityczna). Jeżeli w roztworze znajduje się kilka substancji nie reagujących ze sobą, to absorpcja światła przez roztwór jest sumą absorpcji poszczególnych składników:
![]()
Na pomiarze absorpcji promieniowania światła w zakresie nadfioletu, części widzialnej i podczerwieni oparty jest obszerny dział metod analitycznych zwany ogólnie absorpcjometrią. W szczególnym przypadku, gdy pomiaru dokonuje się spektrofotometrami, metody te zwane są metodami spektrofotometrycznymi. Zastosowanie ich umożliwia oznaczenie 1 - 3 składników w roztworze. Oznaczanie stężenia składnika barwnego w roztworze dokonuje się przez pomiar absorpcji roztworu w zakresie widzialnym. W przypadku roztworu jednoskładnikowego w roztworze odczytuje się bezpośrednio z linii kalibracji ![]()
wyznaczonej dla szeregu roztworów o znanym stężeniu. Zastosowanie tej metody analizy dla roztworu dwuskładnikowego, zawierającego np. związki barwne C i D jest możliwe w przypadku, gdy składniki te mają widma absorpcji o maksimach przy różnych długości fal ![]()
i widma te częściowo pokrywają się, a przy tym obie substancje spełniają prawo Lamberta - Beera przy wymienionych długościach fal w dostatecznie szerokim zakresie wartości absorpcji. W celu obliczenia stężeń substancji ![]()
i ![]()
należy zmierzyć absorpcję roztworu przy długości fal ![]()
i rozwiązać układ równań z dwiema niewiadomymi.
![]()
![]()
![]()
- współczynniki absorpcji wyznaczone z pomiarów absorpcji jednoskładnikowych roztworów związków C i D przy długości fal ![]()
. Celem ćwiczenia jest sprawdzenie słuszności prawa addytywności absorpcji światła dla roztworu dwuskładnikowego CoCl2 i NiCl2 dla długości fal: ![]()
i ![]()
oraz oznaczenie składu zadanego roztworu dwuskładnikowego tych soli metodą analizy spektrofotometrycznej.
OPRACOWANIE WYNIKÓW:
Skład roztworu |
Absorpcja |
Współczynnik ekstynkcji |
|||||
|
|
Zmierzone |
Obliczone |
Zmierzone |
Obliczone |
|
|
|
|
|
|
|
|||
0,02 |
0,0 |
0,080 |
0,089 |
0,035 |
0,033 |
|
|
0,04 |
0,0 |
0,175 |
0,179 |
0,065 |
0,066 |
|
|
0,06 |
0,0 |
0,265 |
0,268 |
0,100 |
0,099 |
|
|
0,08 |
0,0 |
0,355 |
0,358 |
0,130 |
0,131 |
|
|
0,1 |
0,0 |
0,455 |
0,447 |
0,165 |
0,164 |
|
|
0,0 |
0,2 |
0,065 |
0,055 |
0,130 |
0,141 |
|
|
0,0 |
0,4 |
0,110 |
0,111 |
0,270 |
0,283 |
|
|
0,0 |
0,6 |
0,170 |
0,166 |
0,415 |
0,424 |
|
|
0,0 |
0,8 |
0,255 |
0,222 |
0,565 |
0,565 |
|
|
0,0 |
1,0 |
0,290 |
0,277 |
0,720 |
0,707 |
|
|
0,02 |
0,8 |
0,320 |
0,311 |
0,600 |
0,598 |
- |
|
0,04 |
0,6 |
0,355 |
0,345 |
0,500 |
0,490 |
|
|
0,06 |
0,4 |
0,385 |
0,379 |
0,385 |
0,381 |
|
|
0,08 |
0,2 |
0,420 |
0,413 |
0,275 |
0,273 |
|
|
0,04 |
0,2 |
0,125 |
0,234 |
0,105 |
0,207 |
|
|
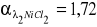
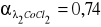
1) Na podstawie wykreślonej zależności ![]()
(wykres zależności dołączony) dla roztworów niklu i kobaltu dla ![]()
i ![]()
, pomijając w obliczeniach punkty wyraźnie odbiegające od prostej wyznaczono metodą najmniejszych kwadratów współczynniki absorpcji: ![]()
, ![]()
, ![]()
, ![]()
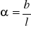
Współczynnik kierunkowy prostej opisany równaniem:
![]()
Otrzymany przez podstawienie w równania Lamberta - Beera:
![]()
za ![]()
, ![]()
i ![]()
Gdzie: l - jest grubością warstwy absorbującej zaznaczonej na kiuwecie i wynosi ![]()
Absorpcja np. dla roztworu ![]()
dla ![]()
:
![]()
Wyznacza się z zależności:

Ponieważ ![]()
stąd ![]()
Dla roztworu ![]()
dla ![]()
|
|
|
|
|
|
1 |
0,02 |
0,080 |
0,0016 |
0,0004 |
0,0894 |
2 |
0,04 |
0,175 |
0,0070 |
0,0016 |
0,1788 |
3 |
0,06 |
0,265 |
0,0159 |
0,0036 |
0,2682 |
4 |
0,08 |
0,355 |
0,0284 |
0,0064 |
0,3576 |
5 |
0,1 |
0,455 |
0,0455 |
0,0100 |
0,4470 |
|
- |
- |
0,0984 |
0,0220 |
- |
Gdzie:

Stąd:
![]()
oraz ![]()
Dla roztworu ![]()
dla ![]()
|
|
|
|
|
|
1 |
0,02 |
0,035 |
0,0007 |
0,0004 |
0,0328 |
2 |
0,04 |
0,065 |
0,0026 |
0,0016 |
0,0656 |
3 |
0,06 |
0,100 |
0,0060 |
0,0036 |
0,0984 |
4 |
0,08 |
0,130 |
0,0104 |
0,0064 |
0,1312 |
5 |
0,1 |
0,165 |
0,0165 |
0,0100 |
0,1640 |
|
- |
- |
0,0362 |
0,0220 |
- |
Gdzie:

Stąd:
![]()
oraz ![]()
Dla roztworu ![]()
dla ![]()
|
|
|
|
|
|
1 |
0,2 |
0,065 |
0,013 |
0,04 |
0,056 |
2 |
0,4 |
0,110 |
0,044 |
0,16 |
0,112 |
3 |
0,6 |
0,170 |
0,102 |
0,36 |
0,168 |
4 |
0,8 |
0,225 |
0,180 |
0,64 |
0,224 |
5 |
1,0 |
0,290 |
0,290 |
1,00 |
0,280 |
|
- |
- |
0,629 |
2,20 |
- |
Gdzie:

Stąd:
![]()
oraz ![]()
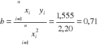
Dla roztworu ![]()
dla ![]()
|
|
|
|
|
|
1 |
0,2 |
0,130 |
0,026 |
0,04 |
0,142 |
2 |
0,4 |
0,270 |
0,108 |
0,16 |
0,284 |
3 |
0,6 |
0,415 |
0,249 |
0,36 |
0,426 |
4 |
0,8 |
0,565 |
0,452 |
0,64 |
0,568 |
5 |
1,0 |
0,720 |
0,720 |
1,00 |
0,710 |
|
- |
- |
1,555 |
2,20 |
- |
Gdzie:

Stąd:
![]()
oraz ![]()
2) Z równania:
![]()
Obliczono wartości absorpcji dla ![]()
i ![]()
dla mieszanin niklu i kobaltu, które wpisano do tabeli wyników, np. dla 400 nm:
![]()
1
1