0x01 graphic
Projekt nr 2

Obliczenia wytrzymałościowe wciągarki do pojazdu ratowniczego

Dane:

Rodzaj silnika -12V

Rodzaj przekładni: obiegowa

Przełożenie ok. 250

Udźwig P=30kN

Dane

Obliczenia

Wyniki

x=1.8

Rm=1800MPa

P=30000N

1.Obliczam średnice liny d ze wzoru:

0x01 graphic

przyjmuje średnice liny 14 mm

d = 14mm

E=210000MPa

2.Obliczam średnice bębna wciągarki ze wzoru:

0x01 graphic

Przyjmuje średnicę bębna 300 mm

0x01 graphic

3.Obliczam moment obrotowy potrzebny do osiągnięcia wymaganego udźwigu:

0x01 graphic
0x01 graphic

0x01 graphic

i = 250

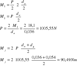
4. Obliczam moment na wale silnika:

0x01 graphic

0x01 graphic

0x01 graphic

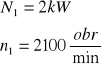
5. Obliczam moc silnika elektrycznego:

0x01 graphic

przyjmuje moc silnika elektrycznego 2kW 0x01 graphic

0x01 graphic

6. Obliczam predkość obrotową bębna wyciągarki:

0x01 graphic

0x01 graphic

0x08 graphic
7.Obliczam predkość liniową liny|:

0x01 graphic

8. Przyjmuje silnik elektryczny prądu stałego typ LA3C wedłóg normy PN-72/E-06001

9. Przyjmuje sprzegło: KTR-SI 1

d = 14mm

0x01 graphic

10. Obliczam długość bebna wyciągarki:

z = 13- liczba zwojów

długość liny zwijana przy jednym obrocie bębna

0x01 graphic

ilość warstw liny 1

0x01 graphic

przyjmuje długość bębna wyciągarki 182mm

0x01 graphic

moc = 2kW

prędkość=2100

obr/min

i =ok 250

trwałość=500 tyś. godzin

11. Schemat przekładni obiegowej:

0x01 graphic

Liczba zebów na poszczególnych kołach

0x01 graphic

0x01 graphic

p = 2

q = 2

0x01 graphic

12.Warunek montażu kół przy założeniu równomiernego rozmieszczenia kół.

0x01 graphic

gdzie:

p- liczba kół obiegowych

q- najiększy wspólny dzielnik

k- gdy wyjdzie liczba całkowita to warunek jest

spełniony

0x01 graphic

warunek jest spełniony

k = 369

0x01 graphic
2100 obr/min

0x01 graphic

13. Prędkości obrotowe

0x01 graphic

0x01 graphic
obr/min

0x01 graphic

14.Moment obrotowy.

0x01 graphic

M1=9.05

Nm=Ms

Re=360MPa

Ms=

M1=9.05Nm

15. Średnica wału napędowego.

Wał będzie wykonany ze stali 45.

Występują tylko naprężenia skręcające.

0x01 graphic

Ze względu na optymalizację trwałości i dobór łożysk przyjmuję średnicę wału napędowego d1=20mm.

d1=20mm

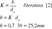
K( współczynnik szerokości wieńca)= 0,7 literatura [2]

iae=210

n1=2100 obr/min

N=2kW

Qu=3,3

16. Średnica obliczona po to aby wyznaczyć moduł normalny.

0x01 graphic

gdzie: Qu- statyczna wartość dozwolonego obciążenia, 3,3- dla kół hartowanych ogólnego przeznaczenia

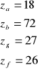
da=16.56mm

Za=18

β=20º

da=16.56mm

17. Moduł normalny.

0x01 graphic

przyjmuje moduł 0x01 graphic
2,0 zgodny z normą

mn=2,0

m=2

za=18

zb=72

ze=68

zf=26

zg=27

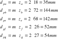
18. Średnice podziałowe kół.

0x01 graphic

dpa=36mm

dpb=144mm

dpg=54mm

dpf=52mm

dpe=142mm

K- współczynnik szerokości wieńca=0,7

da=36mm

19. Szerokość koła.

0x01 graphic

Przyjmuję b=25mm, ze względu na możliwość montowalności.

b = 25mm

N=4kW

b=25mm

n1=2100obr/min

m=2,0

q=3,01literatura

kgj - wytrzymałość na zginanie zmęczeniowe=

1500KG/cm2

da=36mm

20. Wytrzymałość zębów.

Obliczanie naprężeń gnących.

0x01 graphic

q- współczynnik kształtu zęba dla zębów stalowych = 3,01

0x01 graphic

n1=2100obr/min

n2=10obr/min

T=500000h

V=39,5obr/min

P0=7,59KG

b=25mm

B=1410000

Pdop=9600KG/cm2

za=18

zg=27

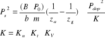
21. Nacisk jednostkowy.

0x01 graphic

0x01 graphic

m=2,0

za=18

y=1literatura[1]

0x01 graphic
=72

z0x01 graphic
=27

z0x01 graphic
=26

z0x01 graphic
=68

22. WYMIARY KÓŁ ZĘBATYCH

Koło za

Średnica podziałowa

dśpa=m*za=2,0*18=36mm

Średnica wierzchołków

dwa=m(z0x01 graphic
+2y)=2,0(18+2)=40mm

Średnica podstaw

dpa=m(z1-2y-0,5)=2,0(18-2-0,5)=31mm

Wysokość stopy

hsa=m(y+0,25)=2,0(1+0,25)=2,5mm

Wysokość głowy

hga=y*m=2mm

Wysokość zęba

ha=m(2y+0,25)=4,5mm

Teoretyczny luz wierzchołkowy

Lw=0,25*m=0,5mm

Teoretyczny luz obwodowy

L0=0,04*m=0,08mm

Grubość zęba

g=0,5(π*m-L0)=0,5(3,14*2,0-0,08)=3,1mm

Koło zb

Średnica podziałowa

dśpb=m*zb=2,0*72=144mm

Średnica wierzchołków

dwb=m(zb+2y)=2,0(72+2)=148mm

Średnica podstaw

dpb=m(zb-2y-0,5)=2,0(72-2-0,5)=139mm

Wysokość stopy

hsb=m(y+0,25)=2,0(1+0,25)=2,5mm

Wysokość głowy

hgb=y*m=2,0mm

Wysokość zęba

hb=m(2y+0,25)=4,5mm

Teoretyczny luz wierzchołkowy

Lw=0,25*m=0,5mm

Teoretyczny luz obwodowy

L0=0,04*m=0,08mm

Grubość zęba

g=0,5(π*m-L0)=0,5(3,14*2,0-0,08)=3,1mm

Koło zg

Średnica podziałowa

dśpg=m*zg=2,0*27=54mm

Średnica wierzchołków

dwg=m(zg+2y)=2,0(27+2)=58mm

Średnica podstaw

dpg=m(zg-2y-0,5)=2,0(27-2-0,5)=49mm

Wysokość stopy

hsg=m(y+0,25)=2,0(1+0,25)=2,5mm

Wysokość głowy

hgg=y*m=2,0mm

Wysokość zęba

hg=m(2y+0,25)=4,5mm

Teoretyczny luz wierzchołkowy

Lw=0,25*m=0,5mm

Teoretyczny luz obwodowy

Lo=0,04*m=0,08mm

Grubość zęba

g=0,5(π*m-L0)=0,5(3,14*2,0-0,08)=3,1mm

Koło zf

Średnica podziałowa

dśpf=m*zf=2,0*26=52mm

Średnica wierzchołków

dwf=m(zf+2y)=2,0(26+2)=56mm

Średnica podstaw

dpf=m(zf-2y-0,5)=2,0(26-2-0,5)=46mm

Wysokość stopy

hsf=m(y+0,25)=2,0(1+0,25)=2,5mm

Wysokość głowy

hgf=y*m=2,0mm

Wysokość zęba

hf=m(2y+0,25)=4,5mm

Teoretyczny luz wierzchołkowy

Lw=0,25*m=0,5mm

Teoretyczny luz obwodowy

Lo=0,04*m=0,08mm

Grubość zęba

g=0,5(π*m-L0)=0,5(3,14*2,0-0,08)=3,1mm

Koło ze

Średnica podziałowa

dśpe=m*ze=2,0*68=142mm

Średnica wierzchołków

dwe=m(ze+2y)=2,0(68+2)=136mm

Średnica podstaw

dpe=m(ze-2y-0,5)=2,0(68-2-0,5)=145mm

Wysokość stopy

hse=m(y+0,25)=2,0(1+0,25)=2,5mm

Wysokość głowy

hge=y*m=2,0mm

Wysokość zęba

He=m(2y+0,25)=4,5mm

Teoretyczny luz wierzchołkowy

Lw=0,25*m=0,5mm

Teoretyczny luz obwodowy

Lo=0,04*m=0,08mm

Grubość zęba

g=0,5(π*m-L0)=0,5(3,14*2,0-0,08)=3,1mm

n0x01 graphic
=21000x01 graphic

dpa=36mm

dpb=144mm

dpg=54mm

dpf=52mm

dpe=136mm

23. Obliczanie prędkości obrotowych.

0x01 graphic

0x01 graphic

0x01 graphic

M1=18,1Nm

da=36mm

de=136mm

dg=54mm

24. Rozkład sił w przekładni.

0x01 graphic

0x01 graphic

0x01 graphic

0x01 graphic

0x01 graphic

P=1005,55N

Stal typu 45

kr=95MN/m2 literatura[4]

a=2,25cm

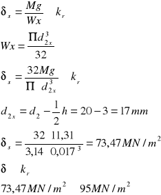
25. Średnica wału pod koła zg i zf.

Wałek nie przenosi momentu skręcającego

0x01 graphic

0x01 graphic

0x01 graphic

0x01 graphic

Przyjmuję średnicę wału pod koła d2=20mm.

Koło zębate z0x01 graphic
i z0x01 graphic
będzie zamocowane na wałku za pomocą wpustu pryzmatycznego o wymiarach:

b x h x l = 6x6x30.

d2=20mm

Mg=11,31Nm

kr=95MN/m2 literatura[4]

d2=20mm

h=6

26. Sprawdzenie wałka po uwzględnieniu wpustu.

0x01 graphic

warunek jest spełniony

Stal gat. 45

ks=94MN/m2

M2=68,37Nm

27. .Średnica wału pędzonego.

Wałek jest skręcany.

0x01 graphic

Przyjmuję średnicę wału pędzonego d3=25mm.

d3=25mm

Ln=500000 h

ω2=146,29 1/s

28. DOBÓR ŁOŻYSK

Obliczam trwałość łożyska.

0x01 graphic

Obliczam nośność ruchową C

0x01 graphic

Z KATALOGU DOBIERAM ŁOŻYSKA

Łożysko kulkowe 6404 według katalogu ( literatura [3]).

0x01 graphic

d=20mm,

D=72mm,

b=19mm,

c=30700N,

m=0,4kg.

sztuk 4

Łożysko wałeczkowe RSTO 15 szt.6

d=20mm,

D=35mm,

b=11,8mm,

c=12800N,

m=0,05kg.

łozysko kulkowe 6405 szt. 2

d=25mm,

D=80mm,

b=21mm,

c=35900N,

m=0,5kg.

n=1397,67obr/

min

L=41930,1mln

obr.

C=34932,8N

ω1=219,8 1/s

P1=18,6N

d=0,02m

μ=0,0018

ω2=146,29 1/s

P1=18,6N

d=0,02mm

μ=0,002

ω3=55,88 1/s

P1=18,6N

d=0,03m

μ=0,002

k=6

μ=0,08

y=1

N=4kW

za=18

zb=72

ze=68

zf=26

zg=27

N=4kW

NT=385,83W

29. Straty w łożyskach.

Straty w łożysku 6404.

0x01 graphic
Nt1=ω*0,5P1*d*μ

0x01 graphic
Nt1=0,07W

Straty mocy w łożyskach RSTO15

Nt2=ω*0,5P1*d*μ=0,05W

Straty mocy w łożysku 6405

Nt3=ω*0,5P1*d*μ=0,03W

SUMA STRAT W ŁOŻYSKACH

NTt= Nt1+ Nt2 + Nt3 =

0,07+0,05+0,03=0,15W

Sprawność zazębienia

NT= N*k*y2*μ*1/za(1+za/zg)

Straty mocy w zazębieniu kół za i zg

NTzag=4*6*1*0,08*1/18(1+18/27)=174W

Straty mocy w zazębieniu kół zg i zb

NTzbg=4*6*1*0,08*1/27(1+27/72)=97,68W

Straty mocy w zazębieniu kół zf i ze

NTzfe=4*6*1*0,08*1/23(1+26/68)=114W

Straty mocy w zazębieniu

NTz= NTzag+ NTzbg+ NTzfe = 174+97,68+114=385W

Całkowite straty mocy

NT=NTz+NTt=385,68+0,15=385,83W

SPRAWNOŚĆ

0x01 graphic

Nt1=0,07W

Nt2=0,05W

Nt3=0,03W

NTt=0,15W

η=0,91

NT=385,83W

Cpr=165kJ/m2h˚C - wsp.

Wypromienio

wania ciepła

30. Dobór oleju

Olej Transol CLP

Lepkość w temperaturze 20˚C-120mm2/s.

OBLICZENIA NA ROZGRZANIE

Temperatura otoczenia t0max=38˚C

Temperatura pracy oleju tmax=60˚C

Ciepło wydzielone podczas tarcia

Qw=3600* NT=3600*385,83=1388kJ/h

Ciepło odprowadzone:

Q0= Cpr8F(tmax- t0max )

Gdzie: F- pole powierzchni korpusu

F=F1+F2

F1=0,287m2

F2=0,103m2

F=0,287+0,103=0,39 m2

Q0=165*0,39*(60-38)=1286,7kJ/h

Q0< Qw

0x01 graphic