|
POLITECHNIKA RZESZOWSKA Katedra Elektrodynamiki i Układów Elektromaszynowych Laboratorium ELEKTROTECHNIKI DLA NIEELEKTRYKÓW |
|||
Osoby: 1.Borczyk Arkadiusz 2.Buczak Konrad 3.Cag Waldemar 4.Cesarz Jarosław 5.Chmielewski Mateusz 6.Ćwikła Łukasz
|
Temat ćwiczenia: Pomiary w obwodach 3-fazowych prądu przemiennego. |
|||
|
Rok: 2 MDT |
Grupa: L-2 |
Data realizacji zajęć:
16.10.2007 |
Ocena: |
|
Rok akademicki: 2007/2008
|
|
|
|
Wstęp:
Cel ćwiczenia:
Celem ćwiczenia było zapoznanie się z podstawowymi elementami obwodów elektrycznych oraz metodami pomiarów wielkości charakterystycznych w tych obwodach.
Przebieg ćwiczenia:
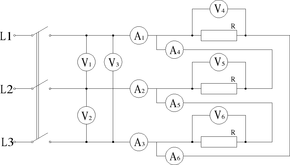
Pomiar rezystancji metodą techniczną:
układ pomiarowy z poprawnym pomiarem prądu

układ pomiarowy z poprawnym pomiarem napięcia

Wyniki pomiarów i obliczeń:
|
|
Poprawny pomiar prądu |
Poprawny pomiar napięcia |
||||||||||||
|
|
|
|
|
|
|
|
|
|
|
|
|
|
|
|
|
|
|
|
dz |
V |
dz |
mA |
|
|
dz |
V |
dz |
mA |
|
|
1. |
8 |
5 |
200 |
35 |
7 |
25,5 |
12,75 |
549 |
8 |
34,5 |
6,9 |
25,5 |
12,75 |
541 |
8 |
![]()
; ![]()
Pomiar rezystancji fazowych odbiornika:
Faza |
Prąd I [A] |
Napięcie U [V] |
Rezystancja R [Ω] |
I |
0,15 |
27 |
180 |
II |
0,15 |
27 |
180 |
III |
0,15 |
27 |
180 |
Pomiar napięć i prądów odbiornika 3-fazowego połączonego w:
gwiazdę

trójkąt

Wyniki pomiarów w układach 3-fazowych:
Pomiar napięć międzyprzewodowych i napięć fazowych
- |
CV = |
- |
CV = |
- |
||||||||||
|
|
|
|
|
|
|
|
|
|
|
|
|
|
|
|
Dz |
V |
dz |
V |
dz |
V |
V |
dz |
V |
dz |
V |
dz |
V |
V |
Y |
400 |
400 |
400 |
400 |
400 |
400 |
400 |
230 |
230 |
230 |
230 |
230 |
230 |
230 |
Δ |
200 |
200 |
200 |
200 |
200 |
200 |
200 |
200 |
200 |
200 |
200 |
200 |
200 |
200 |
![]()
![]()
→ układ gwiazda, obniżone napięcie zasilania (280 V),
Y → układ gwiazda, pełne napięcie zasilania (380 V),
Δ → układ trójkąt, obniżone napięcie zasilania (150 V).
Pomiar napięć przewodowych i napięć fazowych
- |
CA = |
- |
CA = |
- |
||||||||||
|
|
|
|
|
|
|
|
|
|
|
|
|
|
|
|
dz |
A |
dz |
A |
dz |
A |
A |
dz |
A |
dz |
A |
Dz |
A |
A |
Y |
60 |
1,2 |
63 |
1,26 |
58 |
1,16 |
1,2 |
60 |
1,2 |
56 |
1,12 |
58 |
1,16 |
1,16 |
Δ |
92 |
184 |
90 |
1,8 |
86 |
1,72 |
1,79 |
51 |
1,02 |
48 |
0,96 |
49 |
0,98 |
0,99 |
![]()
![]()
(C) → układ gwiazda, obniżone napięcie zasilania (280 V),
(D) → układ gwiazda, pełne napięcie zasilania (380 V),
(E) → układ trójkąt, obniżone napięcie zasilania (150 V).
Obliczenia:
Pomiar rezystancji metodą techniczną:
Tok obliczeń dla pomiaru nr 1
a) Oszacowanie mierzonej rezystancji
![]()
→ ![]()
Ux - poprawnie mierzone napięcie
Ix - poprawnie mierzony prąd
b) Rezystancja wewnętrzna amperomierza
![]()
→ ![]()
c) Rezystancja wewnętrzna woltomierza
![]()
→ ![]()
d) Rezystancja graniczna
![]()
e) Rezystancja wyznaczona przy poprawnym pomiarze prądu wskazań mierników ![]()
![]()
→ ![]()
uchyb bezwzględny pomiaru przy poprawnym pomiarze prądu
![]()
→ ![]()
f) Rezystancja wyznaczona na podstawie wskazań mierników przy poprawnym pomiarze napięcia ![]()
![]()
→ ![]()
uchyb bezwzględny pomiaru przy poprawnym pomiarze napięcia
![]()
→ ![]()
Pomiar rezystancji fazowych odbiornika
![]()
dla fazy I ![]()
dla fazy II ![]()
dla fazy III ![]()
Połączenie w gwiazdę
Dla układu gwiazdowego podstawowe zależności dla wartości skutecznych mają następującą postać:
![]()
- sprawdzenie zależności napięć dla:
obniżonego napięcia (230 V)
![]()
![]()
→ ![]()
pełnego napięcia (380 V)
![]()
![]()
→ ![]()
- sprawdzenie zależności prądowych dla:
obniżonego napięcia (280 V)
![]()
![]()
→ ![]()
pełnego napięcia (380 V)
![]()
![]()
→ ![]()
Połączenie w trójkąt
Dla połączenia układu w trójkąt podstawowe zależności napięciowe i prądowe mają postać:
![]()
- sprawdzenie zależności napięciowych dla:
obniżonego napięcia (150 V)
![]()
![]()
→ ![]()
- sprawdzenie zależności prądowych dla:
obniżonego napięcia (150 V)
![]()
![]()
→ ![]()
5