TWIERDZENIA O WARTOŚCI ŚREDNIEJ
TWIERDZENIE ROLLE'A
Jeżeli funkcja ![]()
jest ciągła na przedział domknięty ![]()
oraz istnieje skończona pochodna ![]()
w każdym punkcie przedziału otwartego ![]()
, a ponadto wartości na końcach są równe ![]()
to istnieje takie ![]()
, że ![]()
Dowód: Jeżeli funkcja ![]()
jest stała na ![]()
to ![]()
dla każdego ![]()
W dalszym ciągu zakładamy, że ![]()
osiąga w ![]()
swoje kresy: wartość największa i najmniejszą. Ponieważ ![]()
więc istnieje taki punkt ![]()
, że jest w nim osiągnięta np. wartość największą.
Zatem dla każdego ![]()
![]()
. Ponieważ :
dla ![]()
, ![]()
oraz
dla ![]()
, ![]()
więc ![]()
oraz ![]()
ze względu na to, że istnieje pochodna ![]()
otrzymujemy ![]()
czyli ![]()
.
TWIERDZENIE LAGRANGE'A
Jeżeli funkcja ![]()
jest ciągła na przedział domknięty ![]()
oraz istnieje skończona pochodna ![]()
w każdym punkcie przedziału otwartego ![]()
to ![]()
gdzie ![]()
, ![]()
TWIERDZENIE CAUCHY'EGO
Jeżeli funkcje ![]()
, ![]()
są ciągłe na przedział domknięty ![]()
oraz istnieją skończone pochodne ![]()
, ![]()
w każdym punkcie przedziału otwartego ![]()
przy czym ![]()
dla ![]()
to 
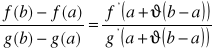
gdzie ![]()
Dowód: Zauważmy, że ![]()
gdyż gdyby ![]()
to na mocy Tw. Rolla istniałby punkt ![]()
taki, że ![]()
co jest sprzeczne z założeniem.
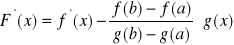
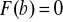
Rozważmy funkcje pomocniczą ![]()
Funkcja ![]()
spełnia założenia Twierdzenia Roll'a gdyż:
![]()
jest ciągła na ![]()
Istnieje ![]()
![]()
, ![]()
Zatem istnieje takie ![]()
, że ![]()
stąd wynika teza.
Uwaga: Twierdzenie Lagrange'a otrzymujemy jako wniosek z twierdzenia Cauchy'ego przyjmując, że ![]()
dla ![]()
WNIOSKI WYNIKAJĄCE Z TWIERDZEŃ O WARTOŚCI ŚREDNIEJ
Jeżeli funkcja ![]()
jest ciągła na przedział domknięty ![]()
oraz pochodna ![]()
zeruje się na przedziale ![]()
to funkcja ![]()
jest stała.
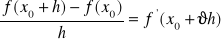
Dowód: Oznaczmy przez ![]()
, ![]()
dowolny punkt ![]()
, na mocy twierdzenia Lagrange'a mamy, ![]()
, ![]()
Stąd ![]()
. Czyli funkcja ![]()
jest stała na ![]()
.
Jeżeli funkcja ![]()
jest ciągła na przedział domknięty ![]()
oraz istnieje skończona pochodna ![]()
wszędzie w ![]()
dodatnie (ujemne) to funkcja ![]()
jest rosnąca (malejąca) w przedziale ![]()
.
Dowód: Jeżeli ![]()
, ![]()
, ![]()
są dowolnymi punktami przedziału ![]()
to z twierdzenia Lagrange'a wynika, że ![]()
![]()
gdy ![]()
jest dodatnie na ![]()
.
Czyli ![]()
funkcja ![]()
jest rosnąca na ![]()
.
1