UKŁADY PRACY WZMACNIACZA OPERACYJNEGO
1. Wzmacniacz odwracający fazę sygnału

Dla zachowania symetrii:
![]()
Mamy więc sytuację:

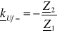
Zatem wzmocnienie wzmacniacza odwracającego:
![]()
W ogólnym przypadku:
![]()
W zależności od doboru impedancji Z1, Z2 układ może spełniać różne funkcje.
2. Wzmacniacz nieodwracający

3. Wtórnik napięciowy
4. Wzmacniacz różnicowy

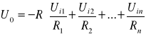
5. Wzmacniacz sumujący

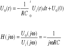
6. Wzmacniacz całkujący (integrator)
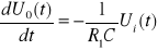
Napięcie na kondensatorze C jest równe -U0, więc prąd i2(t) płynący przez kondensator C jest równy:
![]()
Prąd wejściowy:
![]()
Przy zaniedbaniu prądów polaryzujących mamy:
![]()
a po podstawieniu poprzednich równań:
![]()
Po przekształceniu:
![]()
Po scałkowaniu:

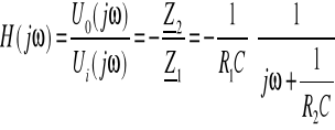
7. Wzmacniacz całkujący (człon opóźniający)

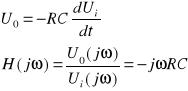
8. Wzmacniacz różniczkujący
Zgodnie ze wzorem wcześniej wyprowadzonym ![]()
otrzymujemy:

Stąd otrzymujemy:
![]()
Mnożenie w dziedzinie częstotliwości przez operator jω (lub s) odpowiada różniczkowaniu w dziedzinie czasu a więc układ realizuje różniczkowanie sygnału wejściowego.

Poprawnie zaprojektowane układy ze W.OP. powinny zapewniać:
Zabezpieczenie przed przesterowaniem i odwróceniem polaryzacji napięć zasilających
Kompensację napięcia niezrównoważenia (dryftu)
Kompensację częstotliwościową
PODSTAWY ELEKTRONIKI Jacek Zientkiewicz
__________________________________________
POLITECHNIKA LUBELSKA III - 205
Można wykazać, że punkt Z ma potencjał bliski potencjałowi odniesienia czyli tzw. masy.
W dobrym W.OP. wzmocnienie kU jest bardzo duże ⇒
Ponadto gdy rezystancja wejściowa jest duża to prąd polaryzujący (np. rzędu pA)
wywołuje na R3 pomijalnie mały spadek napięcia ⇒ potencjał punktu Z jest ≈0 czyli potencjałowi masy i dlatego nazywany jest punktem masy pozornej.
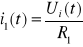
Z rysunku ⇒

![]()
Ui
+
U0
R2
R
![]()
Ui2
R3
R2
R1
R4
U0
+
Ui1
Uin
Ui2
Rn
R2
R
R1
R3
U0
+
Ui1
C
R
R3
U0
+
Ui
R2
C
R1
R3
U0(jω)
+
Ui(jω)
R
C
R3
U0(jω)
+
Ui(jω)