I WB |
|
Data : 10.05.2011 |
Ćwiczenie nr 20 |
Badanie zależności temperaturowej oporu półprzewodnika (Termistor) |
Ocena : |
UWAGI:
WSTĘP TEORETYCZNY:
Termistor to opornik półprzewodnikowy, którego rezystancja (opór) zależy od temperatury.
Wykonuje się je z tlenków: manganu, niklu, kobaltu, miedzi, glinu, wanadu
i litu. Od rodzaju i proporcji użytych tlenków zależą właściwości termistora.
Termistory są to półprzewodnikowe przyrządy bez złączowe, charakteryzujące się dużymi zmianami rezystancji w zależności od zmian temperatury (mają one duży współczynnik temperaturowy α). Rozwój produkcji termistorów przypada na okres drugiej wojny światowej, a szybki ich rozwój rozpoczął sie w latach
60 - tych i 70 - tych.
Działanie termistora jako elementu półprzewodnikowego polega na tym,
ze przy wzroście temperatury zwiększa się w nim liczba elektronów swobodnych. Co powoduje zwiększenie rezystancji. Należy przypomnieć,
że współczynnik temperaturowy rezystancji metali jest dodatni, a jego wartość bezwzględna jest znacznie mniejsza niż termistorów. Na przykład dwukrotny wzrost rezystancji platyny wymaga ogrzania jej o 300°C,
a dwukrotny wzrost konduktancji termistorów wymaga ogrzania tylko o 20°C
Rodzaje termistorów:
• NTC - o ujemnym współczynniku temperaturowym - wzrost temperatury powoduje zmniejszanie się rezystancji;
• PTC - o dodatnim współczynniku temperaturowym, tak zwany pozystor - wzrost temperatury powoduje wzrost rezystancji;
• CTR - o skokowej zmianie rezystancji - wzrost temperatury powyżej określonej powoduje gwałtowny wzrost rezystancji (bezpieczniki polimerowe)
Półprzewodnik jest to materiał, którego przewodnictwo elektryczne
w temperaturze pokojowej ma wartość pośrednią pomiędzy pośrednictwem metali i izolatorów. Półprzewodniki cechuje własność, że opór elektryczny maleje wraz ze wzrostem temperatury w pewnym zakresie, podczas gdy opór elektryczny dla metali rośnie. W półprzewodnikach rozróżniamy dwa rodzaje przewodnictwa:
- przewodnictwo samoistne
- przewodnictwo domieszkowe
Przewodnictwo samoistne jest uwarunkowane przejściem elektronów
z zapełnionego pasma walencyjnego do pustego pasma przewodnictwa.
W wysokich temperaturach wystarcza wzbudzenie termiczne, aby przerzucić niektóre elektrony z pasma walencyjnego do pustego pasma przewodnictwa. Gdy elektron zostanie przeniesiony do pasma przewodnictwa, to w paśmie walencyjnym zostaje puste miejsce, które nazywa się dziurą.
Przewodnictwo domieszkowe (niesamoistne) jest uwarunkowane obecnością w nim domieszek. Atomy domieszek nazywamy donorami, jeżeli wprowadzają obsadzone poziomy energetyczne z którymi elektrony mogą być łatwo podniesione do pasma przewodnictwa kryształu. Atomy domieszek nazywamy akceptorami, jeżeli wprowadzają one nieobsadzone poziomy energetyczne, do których elektrony mogą być łatwo przeniesione z pasma walencyjnego kryształu, pozostawiając w nim dziury.
TABELA POMIARÓW:
TABELA POMIARÓW |
||||
R [Ω] |
ln R |
t [°C] |
T [K] |
1/T [1/K] |
8550 |
9,053 |
0 |
273 |
0,003663 |
7650 |
8,942 |
2 |
275 |
0,003636 |
7120 |
8,870 |
4 |
277 |
0,003610 |
6830 |
8,829 |
5 |
278 |
0,003597 |
6400 |
8,764 |
6 |
279 |
0,003584 |
5720 |
8,651 |
8 |
281 |
0,003558 |
5030 |
8,523 |
10 |
283 |
0,003534 |
3100 |
8,039 |
15 |
288 |
0,003472 |
2220 |
7,705 |
20 |
293 |
0,003413 |
1840 |
7,517 |
25 |
298 |
0,003356 |
1540 |
7,339 |
30 |
303 |
0,003300 |
1360 |
7,215 |
35 |
308 |
0,003247 |
1150 |
7,047 |
40 |
313 |
0,003195 |
930 |
6,835 |
45 |
318 |
0,003145 |
790 |
6,672 |
50 |
323 |
0,003096 |
640 |
6,461 |
55 |
328 |
0,003049 |
530 |
6,272 |
60 |
333 |
0,003003 |
440 |
6,087 |
65 |
338 |
0,002959 |
370 |
5,913 |
70 |
343 |
0,002915 |
300 |
5,704 |
75 |
348 |
0,002874 |
260 |
5,560 |
80 |
353 |
0,002833 |
220 |
5,393 |
85 |
358 |
0,002793 |
190 |
5,247 |
90 |
363 |
0,002755 |
150 |
5,010 |
95 |
368 |
0,002717 |
OBLICZENIA:
Wykres zależności R=f(T)
Wykres zależności
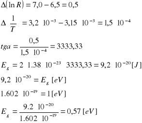
Obliczamy wartość energii aktywacji termistora
- jest współczynnikiem kierunkowym prostej. Wobec tego tangens kąta nachylenia tej prostej w układzie współrzędnych spełnia zależność:
k - stała Boltzmanna (k=1,38054 · 10-23 JK-1)

Niepewności pomiarowe:
-oporu R (Ω):
u(R)=0,01 R+10Ω
R (Ω) |
u(R) (Ω) |
8550 |
95,5 |
7650 |
86,5 |
7120 |
81,2 |
6830 |
78,3 |
6400 |
74,0 |
5720 |
67,2 |
5030 |
60,3 |
3100 |
41,0 |
2220 |
32,2 |
1840 |
28,4 |
1540 |
25,4 |
1360 |
23,6 |
1150 |
21,5 |
930 |
19,3 |
790 |
17,9 |
640 |
17,4 |
530 |
16,3 |
440 |
15,4 |
370 |
14,7 |
300 |
14,0 |
260 |
13,6 |
220 |
13,2 |
190 |
12,9 |
150 |
12,5 |
- temperatury T (K):
- niepewność wzorcowania
- niepewność eksperymentatora
- niepewność standardowa:
Niepewności liczone z funkcji jednej zmiennej:
- lnR
R (Ω) |
u(R) (Ω) |
lnR |
u(lnR) |
8550 |
95,5 |
9,053 |
0,01116 |
7650 |
86,5 |
8,942 |
0,01130 |
7120 |
81,2 |
8,870 |
0,01140 |
6830 |
78,3 |
8,829 |
0,01146 |
6400 |
74,0 |
8,764 |
0,01156 |
5720 |
67,2 |
8,651 |
0,01174 |
5030 |
60,3 |
8,523 |
0,01198 |
3100 |
41,0 |
8,039 |
0,01322 |
2220 |
32,2 |
7,705 |
0,01450 |
1840 |
28,4 |
7,517 |
0,01543 |
1540 |
25,4 |
7,339 |
0,01649 |
1360 |
23,6 |
7,215 |
0,01735 |
1150 |
21,5 |
7,047 |
0,01869 |
930 |
19,3 |
6,835 |
0,02075 |
790 |
17,9 |
6,672 |
0,02265 |
640 |
17,4 |
6,461 |
0,02718 |
530 |
16,3 |
6,272 |
0,03075 |
440 |
15,4 |
6,087 |
0,03500 |
370 |
14,7 |
5,913 |
0,03973 |
300 |
14,0 |
5,704 |
0,46666 |
260 |
13,6 |
5,560 |
0,05231 |
220 |
13,2 |
5,393 |
0,06000 |
190 |
12,9 |
5,247 |
0,06789 |
150 |
12,5 |
5,010 |
0,83333 |
T (K) |
1/T (1/K) |
u(1/T) (1/K) |
273 |
0,003663 |
0,00001100 |
275 |
0,003636 |
0,00001084 |
277 |
0,003610 |
0,00001068 |
278 |
0,003597 |
0,00001061 |
279 |
0,003584 |
0,00001053 |
281 |
0,003558 |
0,00001038 |
283 |
0,003534 |
0,00001023 |
288 |
0,003472 |
0,00000988 |
293 |
0,003413 |
0,00000955 |
298 |
0,003356 |
0,00000923 |
303 |
0,003300 |
0,00000893 |
308 |
0,003247 |
0,00000864 |
313 |
0,003195 |
0,00000837 |
318 |
0,003145 |
0,00000811 |
323 |
0,003096 |
0,00000786 |
328 |
0,003049 |
0,00000762 |
333 |
0,003003 |
0,00000739 |
338 |
0,002959 |
0,00000717 |
343 |
0,002915 |
0,00000697 |
348 |
0,002874 |
0,00000677 |
353 |
0,002833 |
0,00000658 |
358 |
0,002793 |
0,00000640 |
363 |
0,002755 |
0,00000622 |
368 |
0,002717 |
0,00000605 |
Niepewność złożona uc(Eg) określona z prawa przenoszenia niepewności:
lnR1=7,0 u(lnR1)=0,01869
lnR2=6,5 u(lnR2)=0,02718
1/T1=0,00320 (1/K) u(1/T1)=0,00000837 (1/K)
1/T2=0,00315 (1/K) u(1/T2)=0,00000811 (1/K)
k - 1,38054 · 10-23 JK-1
Eg=91999,90·10-23
Uc(Eg)=91999,90·10-23 ·
-23
= 7,36 · 10-23 J
Uc(Eg)=
eV
Eg=0,57 eV
uc(Eg)=4,59·10-4 eV
WNIOSKI:
Na podstawie przeprowadzonych obliczeń i wykonanego wykresu zależności lnR i odwrotności temperatury 1/T, otrzymaliśmy wynik energii aktywacji, która w przypadku danego termistora wynosi 0,57 eV
±4,59·10-4 [eV] . Wyniki doświadczenia umożliwiły nam wykonanie wykresu zależności wielkości oporu półprzewodnika od wzrostu jego temperatury. Wraz ze wzrostem temperatury opór malał, więc jest to termistor typu NTC.
~ 1 ~