2.3. Teoria błędu. Błąd systematyczny i przypadkowy
Rozróżnia się dwa typy modeli niedokładności: model deterministyczny i model losowy. Modele te omówimy jako modele niedokładności pomiaru, a będziemy je formułować w kategoriach błędów bezwzględnych, łatwo jednak można je przenieść na błędy względne. Prawidłowa interpretacja istoty obu modeli niedokładności wymaga hipotetycznego powtarzania pomiaru. Pomiar może być powtarzany w warunkach powtarzalności lub odtwarzalności.
Warunki powtarzalności zakładają wykonywanie pomiarów tej samej wartości prawdziwej w jednakowych warunkach pomiaru, tj.:
przez tego samego eksperymentatora,
stosując te same przyrządy pomiarowe,
zachowując te same warunki pracy przyrządów,
stosując tę samą metodę pomiarową,
wykonując pomiary w tym samym miejscu,
wykonując pomiary w krótkich odstępach czasu.
Warunki odtwarzalności zakładają wykonywanie pomiarów tej samej wartości prawdziwej w różnych warunkach pomiaru, przy czym zmiana może dotyczyć jednego lub więcej warunków wymienionych wyżej. Warunki odtwarzalności interpretuje się często jako pomiary wykonywane w różnych laboratoriach przyrządami o tej samej niedokładności (tym samym granicznym błędzie), tą samą metodą, ale przez różnego eksperymentatora, w różnych miejscach i w różnym czasie.
Model deterministyczny niedokładności pomiaru zakłada, że prawdziwa wartość jest nieznana, ale wiadomo o niej, że leży wewnątrz przedziału niepewności, co zapisujemy formułą (2.5). Model deterministyczny zakłada, że prawdziwy błąd pomiaru , nieznany co do wartości, spełnia warunek
|| ≤ max (2.14)
gdzie max jest granicznym błędem estymaty .
Dla pomiarów powtarzanych w warunkach powtarzalności zakłada się, że
estymata jest niezmienna,
błąd prawdziwy jest niezmienny (ale pozostaje nieznany),
błąd graniczny max jest niezmienny,
przedział niepewności wyniku pomiaru jest niezmienny.
Dla pomiarów powtarzanych w warunkach odtwarzalności, wraz ze zmianą warunków pomiaru może zmienić się:
estymata ,
błąd prawdziwy (ale pozostaje nieznany),
błąd graniczny max,
przedział niepewności, ale wszystkie przedziały niepewności mają podprzedział wspólny, w którym leży .
Powtarzanie pomiaru ma charakter hipotetyczny, faktycznie wykonuje się jeden pomiar, hipotetyczne powtarzanie służy jedynie do interpretacji.
Przyjmując deterministyczny model niedokładności, wynik pomiaru wyraża się w postaci przedziału niepewności wokół estymaty wartości prawdziwej
∈ [ max; max] (2.15)
Głównym elementem opracowania wyniku pomiaru, którego niedokładność opisano modelem deterministycznym jest wyznaczenie granicznego błędu pomiaru max. Wyznacza się go na podstawie danych o strukturze systemu pomiarowego i danych (modeli) niedokładności stosowanych przyrządów pomiarowych. Niekiedy może zajść potrzeba wykonania pewnych dodatkowych czynności metrologicznych - wzorcowania przyrządów czy nawet całego systemu pomiarowego poprzez odniesienie do wzorców miar (międzynarodowych, państwowych lub innych wzorców odniesienia), i pomiarów wielkości wpływających.
Model deterministyczny niedokładności pomiaru przyjmujemy, gdy powtarzanie pomiarów w warunkach powtarzalności prowadzi do wszystkich wyników identycznych lub prawie identycznych. Za wyniki prawie identyczne uznajemy takie, dla których moduły wszystkich różnic między poszczególnymi wynikami są znacznie mniejsze od granicznego błędu pomiaru obliczonego przy założeniu modelu deterministycznego. Recepta ta jest jednak niedoskonała, gdyż rzadko kiedy można zapewnić warunki powtarzalności (szczególnie stałość wartości prawdziwej tego, co jest mierzone), trudno jest ustalić liczbę powtórzeń, często nawet nie ma praktycznych możliwości powtarzania pomiaru (np. dla pomiarów ruchowych i pomiarów niszczących lub trwale zniekształcających obiekt mierzony). Pozostaje wówczas tylko wiedza mierzącego o obiekcie mierzonym, wsparta doświadczeniem i intuicją.
Model losowy niedokładności pomiaru zakłada, że hipotetyczne powtarzanie pomiaru prowadzi do randomizacji estymaty (staje się ona zmienną losową ), co pociąga za sobą (na ogół) randomizację błędów granicznych max. Przedział niepewności Y() staje się przedziałem ufności na poziomie ufności p, co zapisujemy formułą (2.6). Model losowy niedokładności pomiaru przyjmujemy, gdy powtarzanie pomiarów w warunkach powtarzalności prowadzi do wyraźnie różniących się wyników.
Losowy model niedokładności omówimy szerzej odnosząc go do pomiaru prostego zwanego także bezpośrednim, tj. pomiaru, w którym wartość wielkości mierzonej jest bezpośrednio dana przez miernik. Niech seria N operacji wyznaczania wartości wielkości, operacje te nazwiemy pomiarami elementarnymi czyli obserwacjami, powtarzanych w warunkach powtarzalności daje wyniki, nazywane także obserwacjami
{ y(1), y(2),..., y(N) } = { y(n) | n = 1,2,...,N } (2.16)
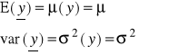
Pomiarem (w sensie kompletności procesu) jest seria powtórzonych pomiarów elementarnych wraz ze wszystkimi operacjami obliczeniowymi prowadzącymi do otrzymania estymaty wartości prawdziwej wielkości mierzonej i miary niedokładności tej estymaty. Obserwacje { x(n) | n = 1,2,...,N } traktujemy jako wybrane losowo wartości czyli realizacje zmiennej losowej y. Niech wartość oczekiwana i wariancja tej zmiennej wynoszą

(2.17)
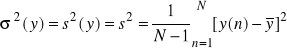
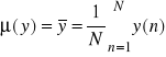
Estymatami wartości oczekiwanej i wariancji (zwanymi także wartością oczekiwaną eksperymentalną i wariancją eksperymentalną) są

(2.18)

(2.19)
Wartość
![]()
(2.20)
nazywa się liczbą stopni swobody estymaty wariancji.
Błąd prawdziwy n-tej pojedynczej obserwacji wynosi
x(n) = x(n) (2.21)
i jest wartością zmiennej losowej modelującej prawdziwy błąd obserwacji
x = x (2.22)
Błąd prawdziwy x dzieli się na dwie składowe: prawdziwy błąd systematyczny i prawdziwy błąd przypadkowy. Dla wygody będziemy dalej pomijali w nazwach błędów przymiotnik prawdziwy, błąd systematyczny (przypadkowy) znaczyć więc będzie prawdziwy błąd systematyczny (przypadkowy). Klasyczne definicje obu błędów podaje [VIM]
"błąd systematyczny - średnia, która byłaby rezultatem nieskończonej liczby pomiarów tej samej wielkości mierzonej wykonanych w warunkach powtarzalności, minus wartość prawdziwa wielkości mierzone,"
"błąd przypadkowy - wynik pomiaru minus średnia, która byłaby rezultatem nieskończonej liczby pomiarów tej samej wielkości mierzonej wykonanych w warunkach powtarzalności."
Definicje te unikają pojęć statystycznych. Przyjmiemy definicje:
błąd systematyczny Sx - wartość oczekiwaną zmiennej losowej x modelującej prawdziwy błąd pomiaru powtarzanego w warunkach powtarzalności
błąd przypadkowy Rx - centrowana zmienna losowa x modelująca prawdziwy błąd pomiaru powtarzanego w warunkach powtarzalności.
Powyższe zapisujemy w postaci wzorów określających: błąd systematyczny
Sx E(x) E(x) (2.23)
błąd przypadkowy
Rx x E(x) x Sx x (2.24)
błąd całkowity
x Sx Rx (2.25)
i zmienną losową modelującą pojedynczą obserwację
x Sx Rx (2.26)
Zmienne losowe x, x i Rx modelujące obserwację, błąd całkowity obserwacji i błąd przypadkowy obserwacji mają wartości oczekiwane
|
E(x) (x) Sx E(x) Sx E(Rx) 0 |
|
(2.27) |
i jednakową wariancję
var (x) var (x) var (Rx) ![]()
(2.28)
2.4. Teoria błędu. Błąd graniczny
Estymatą wartości prawdziwej wielkości mierzonej y jest średnia arytmetyczna obliczona na podstawie serii N jej losowo wybranych wartości zmierzonych y(n). Średnia ta jest obarczona błędami i wynosi
= R + S (2.29)
gdzie błędy średniej, systematyczny i przypadkowy obliczamy jako

(2.30)
Błąd systematyczny średniej S jest równy błędowi systematycznemu pojedynczej obserwacji Sy. Dokonamy teraz zabiegu randomizacji średniej arytmetycznej hipotetycznie powtarzając pomiar tj. serie obserwacji i związane z nimi operacje obliczeniowe. Każdy powtórzony pomiar ma swoją średnią arytmetyczną , swój błąd przypadkowy R i swój błąd systematyczny Sy, będą one na ogół różne, będą więc realizacjami zmiennych losowych , R i Sy, niezmienna jest natomiast dla każdego pomiaru wartość prawdziwa wielkości mierzonej. Właściwości tych zmiennych zależą od warunków powtarzania. Ponieważ powtarzanie jest hipotetyczne, istnieje swoboda ustalania warunków powtarzania.
Metoda powtarzania błędu systematycznego (w skrócie metoda PBS) zakłada hipotetyczne powtarzanie pomiaru w warunkach powtarzalności, takie powtarzanie zapewnia niezmienność błędu systematycznego i niezmienność charakterystyk probabilistycznych błędów przypadkowych we wszystkich powtórzonych pomiarach. Randomizowana estymata wartości prawdziwej będzie zmienną losową
= = + R + Sy (2.31)
o wartości oczekiwanej i wariancji
|
E() = = Sy var() = σ2() = σ2(y)/N = σ2/N |
|
(2.32) |
a błąd przypadkowy średniej arytmetycznej zmienną o wartości oczekiwanej i wariancji

(2.33)
Niech R będzie zmienną losową modelującą błąd przypadkowy (elementarnego pomiaru czyli obserwacji lub średniej arytmetycznej serii pomiarów), zdefiniujemy
graniczny błąd przypadkowy Rmax na poziomie ufności p - połowa szerokości przedziału obejmująca p rozkładu zmiennej losowej R modelującej błąd przypadkowy, pozostawiająca z lewej i prawej strony tego przedziału równe części rozkładu R.
Matematycznie
|
Pr { | R | ≤ Rmax } = p Pr { R > Rmax } = (1 - p)/2 |
|
(2.34) |
Graniczny błąd przypadkowy Rmax liczy się jako krotność odchylenia standardowego σ(R), a jeżeli jest ono nieznane, jako krotność estymaty odchylenia standardowego s(R). Współczynnik krotności kp [(przez który należy mnożyć σ(R) lub s(R)] nazywa się współczynnikiem rozszerzenia odpowiadającym poziomowi ufności p. Jego wartość zależy m.in. od rozkładu błędu R.
Często zakłada się normalny rozkład błędu przypadkowego R ∈ N [0, σ 2(R)]. Hipoteza ta jest na ogół słuszna dla błędu przypadkowego pojedynczego pomiaru i prawie zawsze słuszna dla błędu średniej arytmetycznej. Współczynniki rozszerzenia kp stają się wówczas równe wartościom krytycznym Zp zmiennej losowej standaryzowanej o rozkładzie normalnym z ∈ N (0, 1). Niektóre graniczne błędy przypadkowe mają swoje nazwy, zestawiono je w Tabl. 2.4. Jeżeli zamiast odchylenia stadardowego σ(R) dana jest estymata odchylenia standardowego s(R), to współczynnik rozszerzenia kp jest równy wartości krytycznej Tp() rozkładu t-Studenta o = N - 1 stopniach swobody. Najczęściej używanymi poziomami ufności są p = 0,95 i p = 0,99. Wartości krytyczne rozkładu t-Studenta można znaleźć w każdych tablicach statystycznych i w każdym podręczniku traktującym o rachunku prawdopodobieństwa (patrz np. [Korn'83]).
Tablica 2.4. Graniczne błędy przypadkowe |
||
Nazwa błędu granicznego |
p |
kp = Zp (rozkład normalny) |
prawdopodobny (50 % -owy) |
0,5 |
0,674 |
standardowy (jednosigmowy) |
0,6827 |
1 |
95 % - owy |
0,95 |
1,96 |
dwusigmowy |
0,9545 |
2 |
99 % - owy |
0,99 |
2,56 |
trójsigmowy |
0,9973 |
3 |
Graniczny błąd przypadkowy średniej arytmetycznej wynosi więc

(2.35)
gdzie: ![]()
i ![]()
- wariancja i estymata wariancji elementarnego pomiaru,
![]()
i ![]()
- wariancja i estymata wariancji średniej arytmetycznej,
N - liczba powtórzonych elementarnych pomiarów.
Estymatę wariancji elementarnego pomiaru oblicza się ze wzoru (2.19).
Odpowiednio do błędu granicznego przypadkowego zdefiniujemy
błąd graniczny systematyczny Smaxy - połowa szerokości przedziału, najwęższego spośród przedziałów możliwych do określenia, w którym leży nieznana wartość błędu prawdziwego systematycznego Sy.
Graniczny błąd systematyczny wyznacza się na podstawie danych o niedokładności przyrządów pomiarowych i o strukturze systemu pomiarowego.
Przyjmując losowy model niedokładności i metodę PBS hipotetycznego powtarzania pomiaru, kompletny wynik pomiaru wyrażamy w postaci przedziału niepewności na poziomie ufności nie mniejszym niż p wyznaczonym wokół estymaty wartości prawdziwej
|
Pr { ∈ [ max; max]} ≥ p |
|
(2.36) |
a błąd graniczny max estymaty liczy się jako sumę granicznego błędu przypadkowego i granicznego błędu systematycznego
|
max Rmax + Smaxy |
(2.37) |
czyli
|
max kp s() + D |
(2.38) |
gdzie D Smaxy jest granicznym błędem systematycznym. Poziom ufności przedziału niepewności estymaty jest nie mniejszy niż poziom ufności granicznego błędu przypadkowego średniej.
Często rezygnuje się ze stosowania rozkładu t-Studenta przy obliczaniu granicznego błędu przypadkowego i przyjmuje standardowe wartości współczynnika rozszerzenia kp 2, rzadziej kp 3, i odpowiadające im poziomy ufności p ≈ 0,95 i p ≈ 0,99. Taki sposób postępowania zawęża przedział niepewności pomiaru i jest dopuszczalny dla dłuższych serii powtarzanych obserwacji (N ≥ 7) i niewielkiego udziału błędów przypadkowych w błędzie przypadkowym (![]()
)
Przyjmując standardową wartość współczynnika rozszerzenia kp 2, graniczny błąd pomiaru bezpośredniego na poziomie ufności p ≈ 0,95 liczymy metodą PBS jako
|
max 2 s() + D |
(2.39) |
Takie postępowanie jest dopuszczalne dla N ≥ 5 i ![]()
; N ≥ 7 i ![]()
oraz dla N ≥ 10 i dowolnego stosunku![]()
.
Metoda randomizacji i centryzacji błędu systematycznego (w skrócie metoda RiCBS) zakłada hipotetyczne powtarzanie pomiaru w warunkach zachowujących niezmienność charakterystyk probabilistycznych błędów przypadkowych we wszystkich powtórzonych pomiarach ale zmieniających błędy systematyczne w poszczególnych pomiarach tak, aby stawały się one realizacjami zmiennej losowej centrowanej. Tak randomizowany błąd systematyczny, oznaczymy go symbolem , ma zerową wartość oczekiwaną i wariancję

(2.40)
Randomizowana estymata wartości prawdziwej będzie teraz zmienną losową
= = + R + (2.41)
o wartości oczekiwanej i wariancji
|
E() = + E(R) + E() var() = σ2() = σ2(R) + σ2() |
|
(2.42) |
czyli
|
E() = σ2() = σ2() + σ2() |
|
(2.43) |
Zwykle przyjmuje się, że randomizowany błąd systematyczny ma rozkład prostokątny w przedziale [- D; D], gdzie D Smaxx jest granicznym błędem systematycznym. Wariancja takiego rozkładu wynosi
![]()
(2.44)
Ponieważ znana jest tylko estymata s2() wariancji σ2(), to wariancję σ2() zastępuje się jej estymatą
s2() = s2() + σ 2() (2.45)
i błąd graniczny pomiaru liczy się metodą RiCBS z zależności
|
max = kp s2()= kp |
(2.46) |
Zwykle przyjmuje się standardowe wartości współczynnika rozszerzenia kp 2, rzadziej kp 3, i odpowiadające im poziomy ufności p ≈ 0,95 i p ≈ 0,99.
Przyjmując standardową wartość współczynnika rozszerzenia kp 2 i zakładając prostokątny rozkład błędu systematycznego , graniczny błąd pomiaru na poziomie ufności p ≈ 0,95 policzymy metodą RiCBS jako
|
max 2 |
(2.47) |
Porównajmy wzory (2.46) i (2.48) z wzorami (2.38) i (2.39).
Nasuwa się oczywiście pytanie:
który model niedokładności należy stosować do wykonywanego pomiaru?
Pytanie to nie ma jednoznacznej odpowiedzi. Obydwa modele są poprawne w obrębie przyjętych założeń hipotetycznego powtarzania pomiaru, model PBS przy założeniu powtarzania pomiaru w warunkach powtarzalności, kiedy spełnione jest E() = + Sy, i model RiCBS przy założeniu randomizacji i centryzacji błędu systematycznego, kiedy spełnione jest E() = . Wartości błędów granicznych policzone obydwoma metodami różnią się, trzeba jednak pamiętać, że błędy graniczne są liczbami przybliżonymi, a błędy błędów są duże, rzędu dziesiątków procent, różnice między wartościami błędów mieszczą się w ich niedokładnościach. Praktycznie więc obydwie metody mają więc jednakową wartość. Na postawione wyżej pytanie należy więc odpowiedzieć - należy liczyć metodą, która jest zalecana przez międzynarodowe organizacje metrologiczne, a metodą zalecaną jest metoda RiCBS, stosująca swoistą terminologię i stąd zwana dalej teorią niepewności.
Zapis x ∈ N (, σ2) oznacza, że zmienna losowa x ma rozkład normalny o wartości oczekiwanej i wariancji σ2.
Wynika z zależności: wartość oczekiwana i wariancja sumy zmiennych losowych niezależnych są równe sumom wartości oczekiwanych i wariancji zmiennych sumowanych, wartość oczekiwana stałej jest równa tej stałej, a wariancja stałej jest równa zeru.
Janusz M. Jaworski |
METROLOGIA ELEKTRYCZNA |
Wykład 2 |
Str. 13 |